Pitch Of Coil Spring Formula . The surge time and speed can be calculated using the following formula: Closed and ground these ends are the same as closed and square ends but the ends go through a grinding process that grinds half a wire diameter off the first and last coils so that your. Putting a larger pitch in the larger od coils and a smaller pitch in the smaller od coils will force the spring to collapse all the coils at the same rate when compressed. When a coil spring is subject to forced oscillation, the resonance phenomenon surging occurs if. The following is hooke’s law formula for determining the spring constant of a spring: You have a 0.5 m long metal coil with a spring. Where f is the force (n). Understanding the relationship between a torsion bar and a coil spring:
        
         
         
        from aimcoil.com 
     
        
        Where f is the force (n). You have a 0.5 m long metal coil with a spring. Closed and ground these ends are the same as closed and square ends but the ends go through a grinding process that grinds half a wire diameter off the first and last coils so that your. The following is hooke’s law formula for determining the spring constant of a spring: The surge time and speed can be calculated using the following formula: When a coil spring is subject to forced oscillation, the resonance phenomenon surging occurs if. Understanding the relationship between a torsion bar and a coil spring: Putting a larger pitch in the larger od coils and a smaller pitch in the smaller od coils will force the spring to collapse all the coils at the same rate when compressed.
    
    	
            
	
		 
	 
         
    The Physics of Springs How Manufacturers Understand Spring Design 
    Pitch Of Coil Spring Formula  The following is hooke’s law formula for determining the spring constant of a spring: When a coil spring is subject to forced oscillation, the resonance phenomenon surging occurs if. Where f is the force (n). The surge time and speed can be calculated using the following formula: You have a 0.5 m long metal coil with a spring. Putting a larger pitch in the larger od coils and a smaller pitch in the smaller od coils will force the spring to collapse all the coils at the same rate when compressed. Closed and ground these ends are the same as closed and square ends but the ends go through a grinding process that grinds half a wire diameter off the first and last coils so that your. The following is hooke’s law formula for determining the spring constant of a spring: Understanding the relationship between a torsion bar and a coil spring:
            
	
		 
	 
         
 
    
         
        From www.iqsdirectory.com 
                    Metal Spring What Is It? How Does It Work? Materials Pitch Of Coil Spring Formula  Understanding the relationship between a torsion bar and a coil spring: You have a 0.5 m long metal coil with a spring. Putting a larger pitch in the larger od coils and a smaller pitch in the smaller od coils will force the spring to collapse all the coils at the same rate when compressed. Where f is the force. Pitch Of Coil Spring Formula.
     
    
         
        From good--spring.blogspot.com 
                    Coil Spring Stiffness Formula Pitch Of Coil Spring Formula  The surge time and speed can be calculated using the following formula: Putting a larger pitch in the larger od coils and a smaller pitch in the smaller od coils will force the spring to collapse all the coils at the same rate when compressed. When a coil spring is subject to forced oscillation, the resonance phenomenon surging occurs if.. Pitch Of Coil Spring Formula.
     
    
         
        From aimcoil.com 
                    The Physics of Springs How Manufacturers Understand Spring Design Pitch Of Coil Spring Formula  Closed and ground these ends are the same as closed and square ends but the ends go through a grinding process that grinds half a wire diameter off the first and last coils so that your. When a coil spring is subject to forced oscillation, the resonance phenomenon surging occurs if. Understanding the relationship between a torsion bar and a. Pitch Of Coil Spring Formula.
     
    
         
        From www.acxesspring.com 
                    Spring Pitch Calculator Custom and Stock Springs Quality Spring Pitch Of Coil Spring Formula  The surge time and speed can be calculated using the following formula: Putting a larger pitch in the larger od coils and a smaller pitch in the smaller od coils will force the spring to collapse all the coils at the same rate when compressed. The following is hooke’s law formula for determining the spring constant of a spring: Where. Pitch Of Coil Spring Formula.
     
    
         
        From exoionhbt.blob.core.windows.net 
                    Active Coils In Spring at Isreal Dickson blog Pitch Of Coil Spring Formula  Closed and ground these ends are the same as closed and square ends but the ends go through a grinding process that grinds half a wire diameter off the first and last coils so that your. The following is hooke’s law formula for determining the spring constant of a spring: Putting a larger pitch in the larger od coils and. Pitch Of Coil Spring Formula.
     
    
         
        From www.youtube.com 
                    Mechanical Springs Stress, Deflection, and Spring Constant in Just Pitch Of Coil Spring Formula  When a coil spring is subject to forced oscillation, the resonance phenomenon surging occurs if. Where f is the force (n). The following is hooke’s law formula for determining the spring constant of a spring: The surge time and speed can be calculated using the following formula: Putting a larger pitch in the larger od coils and a smaller pitch. Pitch Of Coil Spring Formula.
     
    
         
        From www.youtube.com 
                    Full Pitch and Short Pitch Winding (Worked Example) YouTube Pitch Of Coil Spring Formula  Understanding the relationship between a torsion bar and a coil spring: Closed and ground these ends are the same as closed and square ends but the ends go through a grinding process that grinds half a wire diameter off the first and last coils so that your. Where f is the force (n). You have a 0.5 m long metal. Pitch Of Coil Spring Formula.
     
    
         
        From www.acxesspring.com 
                    Spring Pitch Calculator Custom and Stock Springs Quality Spring Pitch Of Coil Spring Formula  The following is hooke’s law formula for determining the spring constant of a spring: Understanding the relationship between a torsion bar and a coil spring: Where f is the force (n). You have a 0.5 m long metal coil with a spring. Putting a larger pitch in the larger od coils and a smaller pitch in the smaller od coils. Pitch Of Coil Spring Formula.
     
    
         
        From www.tpsearchtool.com 
                    Helical Coil Conical Spring Analysis I Static Structural I Ansys Images Pitch Of Coil Spring Formula  The following is hooke’s law formula for determining the spring constant of a spring: Putting a larger pitch in the larger od coils and a smaller pitch in the smaller od coils will force the spring to collapse all the coils at the same rate when compressed. Closed and ground these ends are the same as closed and square ends. Pitch Of Coil Spring Formula.
     
    
         
        From www.youtube.com 
                    Deflection of helical compression spring and energy stored in spring Pitch Of Coil Spring Formula  The surge time and speed can be calculated using the following formula: Where f is the force (n). Understanding the relationship between a torsion bar and a coil spring: You have a 0.5 m long metal coil with a spring. The following is hooke’s law formula for determining the spring constant of a spring: Putting a larger pitch in the. Pitch Of Coil Spring Formula.
     
    
         
        From ajaxsprings.com 
                    Learn Some Spring Terminology Ajax Wire & Spring Pitch Of Coil Spring Formula  You have a 0.5 m long metal coil with a spring. Closed and ground these ends are the same as closed and square ends but the ends go through a grinding process that grinds half a wire diameter off the first and last coils so that your. The following is hooke’s law formula for determining the spring constant of a. Pitch Of Coil Spring Formula.
     
    
         
        From www.youtube.com 
                    Open coiled Helical Spring (Deflection when load applied axil) YouTube Pitch Of Coil Spring Formula  You have a 0.5 m long metal coil with a spring. Understanding the relationship between a torsion bar and a coil spring: The following is hooke’s law formula for determining the spring constant of a spring: Where f is the force (n). Closed and ground these ends are the same as closed and square ends but the ends go through. Pitch Of Coil Spring Formula.
     
    
         
        From www.youtube.com 
                    Cylindrical Compression Spring Calculations and Design (MITCalc15 Pitch Of Coil Spring Formula  Understanding the relationship between a torsion bar and a coil spring: The following is hooke’s law formula for determining the spring constant of a spring: You have a 0.5 m long metal coil with a spring. When a coil spring is subject to forced oscillation, the resonance phenomenon surging occurs if. Putting a larger pitch in the larger od coils. Pitch Of Coil Spring Formula.
     
    
         
        From engineerexcel.com 
                    Compression Spring Formulas A Complete Guide EngineerExcel Pitch Of Coil Spring Formula  The following is hooke’s law formula for determining the spring constant of a spring: Closed and ground these ends are the same as closed and square ends but the ends go through a grinding process that grinds half a wire diameter off the first and last coils so that your. Understanding the relationship between a torsion bar and a coil. Pitch Of Coil Spring Formula.
     
    
         
        From engineerexcel.com 
                    Compression Spring Formulas A Complete Guide EngineerExcel Pitch Of Coil Spring Formula  Closed and ground these ends are the same as closed and square ends but the ends go through a grinding process that grinds half a wire diameter off the first and last coils so that your. Where f is the force (n). You have a 0.5 m long metal coil with a spring. The following is hooke’s law formula for. Pitch Of Coil Spring Formula.
     
    
         
        From www.iqsdirectory.com 
                    Coil Springs Design, Metals Used, Types, and Coil Spring Ends Pitch Of Coil Spring Formula  The following is hooke’s law formula for determining the spring constant of a spring: You have a 0.5 m long metal coil with a spring. Closed and ground these ends are the same as closed and square ends but the ends go through a grinding process that grinds half a wire diameter off the first and last coils so that. Pitch Of Coil Spring Formula.
     
    
         
        From www.chegg.com 
                    Solved Consider the steel spring in the illustration. (a) Pitch Of Coil Spring Formula  The surge time and speed can be calculated using the following formula: Putting a larger pitch in the larger od coils and a smaller pitch in the smaller od coils will force the spring to collapse all the coils at the same rate when compressed. Where f is the force (n). Closed and ground these ends are the same as. Pitch Of Coil Spring Formula.
     
    
         
        From www.iqsdirectory.com 
                    Coil Springs Design, Metals Used, Types, and Coil Spring Ends Pitch Of Coil Spring Formula  The surge time and speed can be calculated using the following formula: The following is hooke’s law formula for determining the spring constant of a spring: When a coil spring is subject to forced oscillation, the resonance phenomenon surging occurs if. Putting a larger pitch in the larger od coils and a smaller pitch in the smaller od coils will. Pitch Of Coil Spring Formula.
     
    
         
        From www.numerade.com 
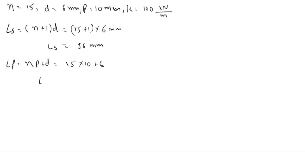
                    SOLVED A spring with plain ends has 15 active coils, a diameter of 6 Pitch Of Coil Spring Formula  Putting a larger pitch in the larger od coils and a smaller pitch in the smaller od coils will force the spring to collapse all the coils at the same rate when compressed. The surge time and speed can be calculated using the following formula: When a coil spring is subject to forced oscillation, the resonance phenomenon surging occurs if.. Pitch Of Coil Spring Formula.
     
    
         
        From www.masterspring.com 
                    Compression Springs Resources Helical Compression Spring Design Pitch Of Coil Spring Formula  When a coil spring is subject to forced oscillation, the resonance phenomenon surging occurs if. Putting a larger pitch in the larger od coils and a smaller pitch in the smaller od coils will force the spring to collapse all the coils at the same rate when compressed. The following is hooke’s law formula for determining the spring constant of. Pitch Of Coil Spring Formula.
     
    
         
        From www.researchgate.net 
                    Design parameters of uniform and variable dimension helical springs Pitch Of Coil Spring Formula  Putting a larger pitch in the larger od coils and a smaller pitch in the smaller od coils will force the spring to collapse all the coils at the same rate when compressed. When a coil spring is subject to forced oscillation, the resonance phenomenon surging occurs if. The surge time and speed can be calculated using the following formula:. Pitch Of Coil Spring Formula.
     
    
         
        From www.youtube.com 
                    Armature winding pitches, pole pitch, front pitch, back pitch, coil Pitch Of Coil Spring Formula  You have a 0.5 m long metal coil with a spring. The following is hooke’s law formula for determining the spring constant of a spring: Understanding the relationship between a torsion bar and a coil spring: When a coil spring is subject to forced oscillation, the resonance phenomenon surging occurs if. Closed and ground these ends are the same as. Pitch Of Coil Spring Formula.
     
    
         
        From www.acxesspring.com 
                    Spring Pitch Calculator Quality Spring, Affordable Prices Pitch Of Coil Spring Formula  Where f is the force (n). Putting a larger pitch in the larger od coils and a smaller pitch in the smaller od coils will force the spring to collapse all the coils at the same rate when compressed. The following is hooke’s law formula for determining the spring constant of a spring: The surge time and speed can be. Pitch Of Coil Spring Formula.
     
    
         
        From study.com 
                    Helix Angle Meaning, Equation & Examples Lesson Pitch Of Coil Spring Formula  Closed and ground these ends are the same as closed and square ends but the ends go through a grinding process that grinds half a wire diameter off the first and last coils so that your. You have a 0.5 m long metal coil with a spring. Understanding the relationship between a torsion bar and a coil spring: Putting a. Pitch Of Coil Spring Formula.
     
    
         
        From www.thespringstore.com 
                    Custom DualPitch Compression Springs Over 70 Trillion Custom & Stock Pitch Of Coil Spring Formula  Where f is the force (n). When a coil spring is subject to forced oscillation, the resonance phenomenon surging occurs if. Closed and ground these ends are the same as closed and square ends but the ends go through a grinding process that grinds half a wire diameter off the first and last coils so that your. Understanding the relationship. Pitch Of Coil Spring Formula.
     
    
         
        From engineerexcel.com 
                    Compression Spring Formulas A Complete Guide EngineerExcel Pitch Of Coil Spring Formula  The following is hooke’s law formula for determining the spring constant of a spring: Understanding the relationship between a torsion bar and a coil spring: Closed and ground these ends are the same as closed and square ends but the ends go through a grinding process that grinds half a wire diameter off the first and last coils so that. Pitch Of Coil Spring Formula.
     
    
         
        From lesjoforssprings.com 
                    Glossary of Spring Terminology & Definitions Lesjöfors Pitch Of Coil Spring Formula  Closed and ground these ends are the same as closed and square ends but the ends go through a grinding process that grinds half a wire diameter off the first and last coils so that your. The following is hooke’s law formula for determining the spring constant of a spring: When a coil spring is subject to forced oscillation, the. Pitch Of Coil Spring Formula.
     
    
         
        From www.youtube.com 
                    Coil Spring Pitch by Spring Corp. YouTube Pitch Of Coil Spring Formula  You have a 0.5 m long metal coil with a spring. The surge time and speed can be calculated using the following formula: When a coil spring is subject to forced oscillation, the resonance phenomenon surging occurs if. Closed and ground these ends are the same as closed and square ends but the ends go through a grinding process that. Pitch Of Coil Spring Formula.
     
    
         
        From www.masterspring.com 
                    Compression Spring Design, Helical Compression Springs Pitch Of Coil Spring Formula  The surge time and speed can be calculated using the following formula: You have a 0.5 m long metal coil with a spring. When a coil spring is subject to forced oscillation, the resonance phenomenon surging occurs if. The following is hooke’s law formula for determining the spring constant of a spring: Closed and ground these ends are the same. Pitch Of Coil Spring Formula.
     
    
         
        From www.mdpi.com 
                    Applied Sciences Free FullText Integrated Intelligent CAD System Pitch Of Coil Spring Formula  Putting a larger pitch in the larger od coils and a smaller pitch in the smaller od coils will force the spring to collapse all the coils at the same rate when compressed. Closed and ground these ends are the same as closed and square ends but the ends go through a grinding process that grinds half a wire diameter. Pitch Of Coil Spring Formula.
     
    
         
        From www.shutterstock.com 
                    Coil Spring Explain Formula Spring Relationship Stock Vector (Royalty Pitch Of Coil Spring Formula  Putting a larger pitch in the larger od coils and a smaller pitch in the smaller od coils will force the spring to collapse all the coils at the same rate when compressed. When a coil spring is subject to forced oscillation, the resonance phenomenon surging occurs if. The following is hooke’s law formula for determining the spring constant of. Pitch Of Coil Spring Formula.
     
    
         
        From engineerexcel.com 
                    Compression Spring Formulas A Complete Guide EngineerExcel Pitch Of Coil Spring Formula  Closed and ground these ends are the same as closed and square ends but the ends go through a grinding process that grinds half a wire diameter off the first and last coils so that your. Where f is the force (n). Putting a larger pitch in the larger od coils and a smaller pitch in the smaller od coils. Pitch Of Coil Spring Formula.
     
    
         
        From www.youtube.com 
                    How to find length of Spiral Bar or Helix Bar YouTube Pitch Of Coil Spring Formula  Understanding the relationship between a torsion bar and a coil spring: The following is hooke’s law formula for determining the spring constant of a spring: When a coil spring is subject to forced oscillation, the resonance phenomenon surging occurs if. Closed and ground these ends are the same as closed and square ends but the ends go through a grinding. Pitch Of Coil Spring Formula.
     
    
         
        From www.youtube.com 
                    How to Measure Spring Pitch in Coil Compression Springs YouTube Pitch Of Coil Spring Formula  When a coil spring is subject to forced oscillation, the resonance phenomenon surging occurs if. The surge time and speed can be calculated using the following formula: Putting a larger pitch in the larger od coils and a smaller pitch in the smaller od coils will force the spring to collapse all the coils at the same rate when compressed.. Pitch Of Coil Spring Formula.
     
    
         
        From www.youtube.com 
                    Gap & Pitch of a Compression Spring YouTube Pitch Of Coil Spring Formula  When a coil spring is subject to forced oscillation, the resonance phenomenon surging occurs if. Closed and ground these ends are the same as closed and square ends but the ends go through a grinding process that grinds half a wire diameter off the first and last coils so that your. The surge time and speed can be calculated using. Pitch Of Coil Spring Formula.