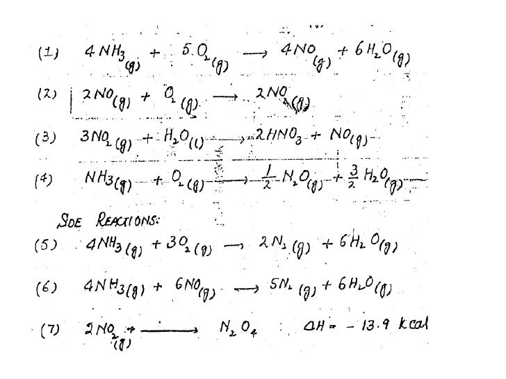
Hno3 Dehydrating Agent . H 2 so 4, which acts as dehydrating agent. For the preparation of conc. Two methods are used to produce hno 3. The reaction can be represented as follows: $\ce{p4o10}$ is known to be a dehydrating agent. Concentrated nitric acid (hno 3) decomposes to produce nitrogen dioxide (no 2), water (h 2 o), and oxygen (o). Nitric acid is an excellent oxidizing agent due to its ability to decompose and release nascent oxygen. It removes two hydrogens and one oxygen from any substance it may. Two common dehydrating agents used in the distillation of 68% hno3 include concentrated sulfuric acid (h2so4) and phosphorus. The selection of a dehydrating agent is a crucial factor that influences the physicochemical properties of the adsorbent. The second method produces strong hno 3 (with 90 percent concentration) from weak hno 3 by combining dehydration, bleach, condensation, and absorption processes. Preparation of 98% nitric acid : The first one utilizes oxidation, condensation, and absorption to synthesize weak hno 3 with concentrations between 30 and 70 percent. Hno 3, it is treated with conc. A solution of dinitrogen pentoxide and nitric acid is a good nitrating agent and hence $\ce{n2o5}$ is known as a nitrating agent than.
from pubs.rsc.org
Concentrated nitric acid (hno 3) decomposes to produce nitrogen dioxide (no 2), water (h 2 o), and oxygen (o). The selection of a dehydrating agent is a crucial factor that influences the physicochemical properties of the adsorbent. Nitric acid as an oxidizing agent. For the preparation of conc. Two methods are used to produce hno 3. H 2 so 4, which acts as dehydrating agent. A solution of dinitrogen pentoxide and nitric acid is a good nitrating agent and hence $\ce{n2o5}$ is known as a nitrating agent than. Nitric acid is an excellent oxidizing agent due to its ability to decompose and release nascent oxygen. The first one utilizes oxidation, condensation, and absorption to synthesize weak hno 3 with concentrations between 30 and 70 percent. It removes two hydrogens and one oxygen from any substance it may.
Propylene oxide as a dehydrating agent potassium carbonatecatalyzed
Hno3 Dehydrating Agent It removes two hydrogens and one oxygen from any substance it may. Hno 3, it is treated with conc. H 2 so 4, which acts as dehydrating agent. The reaction can be represented as follows: The second method produces strong hno 3 (with 90 percent concentration) from weak hno 3 by combining dehydration, bleach, condensation, and absorption processes. Two common dehydrating agents used in the distillation of 68% hno3 include concentrated sulfuric acid (h2so4) and phosphorus. Two methods are used to produce hno 3. 2 hno 3 → 2 no 2 + h 2 o + [o] The first one utilizes oxidation, condensation, and absorption to synthesize weak hno 3 with concentrations between 30 and 70 percent. It removes two hydrogens and one oxygen from any substance it may. Nitric acid is an excellent oxidizing agent due to its ability to decompose and release nascent oxygen. Preparation of 98% nitric acid : A solution of dinitrogen pentoxide and nitric acid is a good nitrating agent and hence $\ce{n2o5}$ is known as a nitrating agent than. $\ce{p4o10}$ is known to be a dehydrating agent. Nitric acid as an oxidizing agent. For the preparation of conc.
From www.studocu.com
Histopathology Notes in Dehydration AND Clearing CHAPTER DEHYDRATION Hno3 Dehydrating Agent Hno 3, it is treated with conc. Nitric acid is an excellent oxidizing agent due to its ability to decompose and release nascent oxygen. 2 hno 3 → 2 no 2 + h 2 o + [o] The selection of a dehydrating agent is a crucial factor that influences the physicochemical properties of the adsorbent. Preparation of 98% nitric acid. Hno3 Dehydrating Agent.
From answerlibsnubbed.z4.web.core.windows.net
Drying Agent And Dehydrating Agent Difference Hno3 Dehydrating Agent The second method produces strong hno 3 (with 90 percent concentration) from weak hno 3 by combining dehydration, bleach, condensation, and absorption processes. Nitric acid as an oxidizing agent. Hno 3, it is treated with conc. For the preparation of conc. The reaction can be represented as follows: Two methods are used to produce hno 3. Concentrated nitric acid (hno. Hno3 Dehydrating Agent.
From www.labsertchemical.com
AAS 1000 mg/L Mercury Standard in 10 HNO3 Hno3 Dehydrating Agent It removes two hydrogens and one oxygen from any substance it may. H 2 so 4, which acts as dehydrating agent. The second method produces strong hno 3 (with 90 percent concentration) from weak hno 3 by combining dehydration, bleach, condensation, and absorption processes. 2 hno 3 → 2 no 2 + h 2 o + [o] Nitric acid is. Hno3 Dehydrating Agent.
From www.youtube.com
H2SO4 as Powerful Dehydrating Agent PBlock Elements Chemistry Hno3 Dehydrating Agent Preparation of 98% nitric acid : The first one utilizes oxidation, condensation, and absorption to synthesize weak hno 3 with concentrations between 30 and 70 percent. H 2 so 4, which acts as dehydrating agent. Two methods are used to produce hno 3. Concentrated nitric acid (hno 3) decomposes to produce nitrogen dioxide (no 2), water (h 2 o), and. Hno3 Dehydrating Agent.
From byjus.com
Which dicarboxylic acid in presence of a dehydrating agent is least Hno3 Dehydrating Agent Nitric acid as an oxidizing agent. The selection of a dehydrating agent is a crucial factor that influences the physicochemical properties of the adsorbent. Concentrated nitric acid (hno 3) decomposes to produce nitrogen dioxide (no 2), water (h 2 o), and oxygen (o). The reaction can be represented as follows: Nitric acid is an excellent oxidizing agent due to its. Hno3 Dehydrating Agent.
From www.youtube.com
Difference between Drying And dehydrating Agent YouTube Hno3 Dehydrating Agent Hno 3, it is treated with conc. A solution of dinitrogen pentoxide and nitric acid is a good nitrating agent and hence $\ce{n2o5}$ is known as a nitrating agent than. 2 hno 3 → 2 no 2 + h 2 o + [o] The reaction can be represented as follows: The selection of a dehydrating agent is a crucial factor. Hno3 Dehydrating Agent.
From byjus.com
The compound which can not act as reducing agent is 1)NH3 2)HNO3 3)NO2 Hno3 Dehydrating Agent Nitric acid is an excellent oxidizing agent due to its ability to decompose and release nascent oxygen. Nitric acid as an oxidizing agent. Hno 3, it is treated with conc. For the preparation of conc. A solution of dinitrogen pentoxide and nitric acid is a good nitrating agent and hence $\ce{n2o5}$ is known as a nitrating agent than. H 2. Hno3 Dehydrating Agent.
From byjus.com
Which dicarboxylic acid in presence of a dehydrating agent is least Hno3 Dehydrating Agent 2 hno 3 → 2 no 2 + h 2 o + [o] The second method produces strong hno 3 (with 90 percent concentration) from weak hno 3 by combining dehydration, bleach, condensation, and absorption processes. Concentrated nitric acid (hno 3) decomposes to produce nitrogen dioxide (no 2), water (h 2 o), and oxygen (o). Two methods are used to. Hno3 Dehydrating Agent.
From slideplayer.com
Production of Sulfuric Acid ppt download Hno3 Dehydrating Agent It removes two hydrogens and one oxygen from any substance it may. Two methods are used to produce hno 3. Nitric acid is an excellent oxidizing agent due to its ability to decompose and release nascent oxygen. Two common dehydrating agents used in the distillation of 68% hno3 include concentrated sulfuric acid (h2so4) and phosphorus. A solution of dinitrogen pentoxide. Hno3 Dehydrating Agent.
From byjus.com
A HNO, acts as reducing agent onlyR HNO, oxidises to HNO only but not Hno3 Dehydrating Agent A solution of dinitrogen pentoxide and nitric acid is a good nitrating agent and hence $\ce{n2o5}$ is known as a nitrating agent than. H 2 so 4, which acts as dehydrating agent. Two methods are used to produce hno 3. Nitric acid is an excellent oxidizing agent due to its ability to decompose and release nascent oxygen. For the preparation. Hno3 Dehydrating Agent.
From www.2spi.com
Solvents and Dehydrating Agents SPI Supplies Hno3 Dehydrating Agent For the preparation of conc. Preparation of 98% nitric acid : Two methods are used to produce hno 3. Concentrated nitric acid (hno 3) decomposes to produce nitrogen dioxide (no 2), water (h 2 o), and oxygen (o). Hno 3, it is treated with conc. 2 hno 3 → 2 no 2 + h 2 o + [o] $\ce{p4o10}$ is. Hno3 Dehydrating Agent.
From edu.rsc.org
Sulfuric acid as a dehydrating agent Experiment RSC Education Hno3 Dehydrating Agent Nitric acid as an oxidizing agent. Nitric acid is an excellent oxidizing agent due to its ability to decompose and release nascent oxygen. Two methods are used to produce hno 3. Two common dehydrating agents used in the distillation of 68% hno3 include concentrated sulfuric acid (h2so4) and phosphorus. H 2 so 4, which acts as dehydrating agent. Preparation of. Hno3 Dehydrating Agent.
From pubs.rsc.org
Propylene oxide as a dehydrating agent potassium carbonatecatalyzed Hno3 Dehydrating Agent Nitric acid is an excellent oxidizing agent due to its ability to decompose and release nascent oxygen. The first one utilizes oxidation, condensation, and absorption to synthesize weak hno 3 with concentrations between 30 and 70 percent. It removes two hydrogens and one oxygen from any substance it may. A solution of dinitrogen pentoxide and nitric acid is a good. Hno3 Dehydrating Agent.
From www.biognost.com
Dehydrating and rehydrating agents Archives Biognost Hno3 Dehydrating Agent 2 hno 3 → 2 no 2 + h 2 o + [o] Hno 3, it is treated with conc. It removes two hydrogens and one oxygen from any substance it may. Two methods are used to produce hno 3. A solution of dinitrogen pentoxide and nitric acid is a good nitrating agent and hence $\ce{n2o5}$ is known as a. Hno3 Dehydrating Agent.
From www.toppr.com
21. In the manufacture of nitric acid by USW i) The catalyst the Hno3 Dehydrating Agent Nitric acid is an excellent oxidizing agent due to its ability to decompose and release nascent oxygen. Nitric acid as an oxidizing agent. Concentrated nitric acid (hno 3) decomposes to produce nitrogen dioxide (no 2), water (h 2 o), and oxygen (o). 2 hno 3 → 2 no 2 + h 2 o + [o] The second method produces strong. Hno3 Dehydrating Agent.
From www.slideserve.com
PPT Sulfuric Acid PowerPoint Presentation, free download ID5174506 Hno3 Dehydrating Agent Two methods are used to produce hno 3. It removes two hydrogens and one oxygen from any substance it may. For the preparation of conc. The first one utilizes oxidation, condensation, and absorption to synthesize weak hno 3 with concentrations between 30 and 70 percent. The second method produces strong hno 3 (with 90 percent concentration) from weak hno 3. Hno3 Dehydrating Agent.
From www.youtube.com
Why HNO3 is Strong Oxidising Agent IIT JEE and NEET Exam Hno3 Dehydrating Agent Nitric acid as an oxidizing agent. For the preparation of conc. Hno 3, it is treated with conc. 2 hno 3 → 2 no 2 + h 2 o + [o] Two common dehydrating agents used in the distillation of 68% hno3 include concentrated sulfuric acid (h2so4) and phosphorus. The first one utilizes oxidation, condensation, and absorption to synthesize weak. Hno3 Dehydrating Agent.
From chinafinechemicals.en.made-in-china.com
Dehydrating Agent Raw Material 99.9 Purity Isopropyl Alcohol Hno3 Dehydrating Agent The selection of a dehydrating agent is a crucial factor that influences the physicochemical properties of the adsorbent. Nitric acid as an oxidizing agent. H 2 so 4, which acts as dehydrating agent. The first one utilizes oxidation, condensation, and absorption to synthesize weak hno 3 with concentrations between 30 and 70 percent. Two methods are used to produce hno. Hno3 Dehydrating Agent.
From www.youtube.com
( Cu + HNO3 → Cu(NO3)2 + NO2 + H2O ) Balancing Redox Equations Using Hno3 Dehydrating Agent $\ce{p4o10}$ is known to be a dehydrating agent. Preparation of 98% nitric acid : Nitric acid is an excellent oxidizing agent due to its ability to decompose and release nascent oxygen. Two common dehydrating agents used in the distillation of 68% hno3 include concentrated sulfuric acid (h2so4) and phosphorus. Nitric acid as an oxidizing agent. Two methods are used to. Hno3 Dehydrating Agent.
From www.indiamart.com
Dehydrating Agents at best price in Mumbai by Akshar Exim Company Hno3 Dehydrating Agent The first one utilizes oxidation, condensation, and absorption to synthesize weak hno 3 with concentrations between 30 and 70 percent. The reaction can be represented as follows: A solution of dinitrogen pentoxide and nitric acid is a good nitrating agent and hence $\ce{n2o5}$ is known as a nitrating agent than. It removes two hydrogens and one oxygen from any substance. Hno3 Dehydrating Agent.
From www.slideserve.com
PPT Carboxylic Acids Nitriles PowerPoint Presentation, free download Hno3 Dehydrating Agent Nitric acid is an excellent oxidizing agent due to its ability to decompose and release nascent oxygen. It removes two hydrogens and one oxygen from any substance it may. The selection of a dehydrating agent is a crucial factor that influences the physicochemical properties of the adsorbent. Preparation of 98% nitric acid : $\ce{p4o10}$ is known to be a dehydrating. Hno3 Dehydrating Agent.
From pubs.rsc.org
Propylene oxide as a dehydrating agent potassium carbonatecatalyzed Hno3 Dehydrating Agent The selection of a dehydrating agent is a crucial factor that influences the physicochemical properties of the adsorbent. The reaction can be represented as follows: A solution of dinitrogen pentoxide and nitric acid is a good nitrating agent and hence $\ce{n2o5}$ is known as a nitrating agent than. Nitric acid is an excellent oxidizing agent due to its ability to. Hno3 Dehydrating Agent.
From www.youtube.com
HNO2 acts reducing agent and Oxidising agent but HNO3 only Oxidising Hno3 Dehydrating Agent The first one utilizes oxidation, condensation, and absorption to synthesize weak hno 3 with concentrations between 30 and 70 percent. Two methods are used to produce hno 3. The reaction can be represented as follows: A solution of dinitrogen pentoxide and nitric acid is a good nitrating agent and hence $\ce{n2o5}$ is known as a nitrating agent than. Nitric acid. Hno3 Dehydrating Agent.
From www.researchgate.net
The digestion effect of HNO3H2SO4. Download Scientific Diagram Hno3 Dehydrating Agent The second method produces strong hno 3 (with 90 percent concentration) from weak hno 3 by combining dehydration, bleach, condensation, and absorption processes. H 2 so 4, which acts as dehydrating agent. $\ce{p4o10}$ is known to be a dehydrating agent. For the preparation of conc. Nitric acid as an oxidizing agent. Concentrated nitric acid (hno 3) decomposes to produce nitrogen. Hno3 Dehydrating Agent.
From eurobox-logistics.com
Dehydrating agents Eurobox Hno3 Dehydrating Agent Nitric acid is an excellent oxidizing agent due to its ability to decompose and release nascent oxygen. It removes two hydrogens and one oxygen from any substance it may. 2 hno 3 → 2 no 2 + h 2 o + [o] $\ce{p4o10}$ is known to be a dehydrating agent. The first one utilizes oxidation, condensation, and absorption to synthesize. Hno3 Dehydrating Agent.
From www.askiitians.com
Hno3 is a great oxidising agent , because in it unlike the other acid Hno3 Dehydrating Agent Nitric acid as an oxidizing agent. A solution of dinitrogen pentoxide and nitric acid is a good nitrating agent and hence $\ce{n2o5}$ is known as a nitrating agent than. $\ce{p4o10}$ is known to be a dehydrating agent. The reaction can be represented as follows: Two common dehydrating agents used in the distillation of 68% hno3 include concentrated sulfuric acid (h2so4). Hno3 Dehydrating Agent.
From scienceinfo.com
Nitric Acid (HNO3) Properties, Reactions, Applications Hno3 Dehydrating Agent Two methods are used to produce hno 3. It removes two hydrogens and one oxygen from any substance it may. Preparation of 98% nitric acid : Nitric acid as an oxidizing agent. The first one utilizes oxidation, condensation, and absorption to synthesize weak hno 3 with concentrations between 30 and 70 percent. Concentrated nitric acid (hno 3) decomposes to produce. Hno3 Dehydrating Agent.
From byjus.com
Which dicarboxylic acid in presence of a dehydrating agent is least Hno3 Dehydrating Agent H 2 so 4, which acts as dehydrating agent. Hno 3, it is treated with conc. For the preparation of conc. The selection of a dehydrating agent is a crucial factor that influences the physicochemical properties of the adsorbent. The second method produces strong hno 3 (with 90 percent concentration) from weak hno 3 by combining dehydration, bleach, condensation, and. Hno3 Dehydrating Agent.
From www.slideshare.net
Presentation Nitric Acid Hno3 Dehydrating Agent Preparation of 98% nitric acid : H 2 so 4, which acts as dehydrating agent. $\ce{p4o10}$ is known to be a dehydrating agent. The first one utilizes oxidation, condensation, and absorption to synthesize weak hno 3 with concentrations between 30 and 70 percent. The second method produces strong hno 3 (with 90 percent concentration) from weak hno 3 by combining. Hno3 Dehydrating Agent.
From www.studypool.com
SOLUTION 12th chemistry sulphuric acid is a dehydrating agent Studypool Hno3 Dehydrating Agent The second method produces strong hno 3 (with 90 percent concentration) from weak hno 3 by combining dehydration, bleach, condensation, and absorption processes. The reaction can be represented as follows: $\ce{p4o10}$ is known to be a dehydrating agent. Two methods are used to produce hno 3. Preparation of 98% nitric acid : The first one utilizes oxidation, condensation, and absorption. Hno3 Dehydrating Agent.
From www.slideshare.net
Hno3 lecture Hno3 Dehydrating Agent Preparation of 98% nitric acid : 2 hno 3 → 2 no 2 + h 2 o + [o] A solution of dinitrogen pentoxide and nitric acid is a good nitrating agent and hence $\ce{n2o5}$ is known as a nitrating agent than. For the preparation of conc. Concentrated nitric acid (hno 3) decomposes to produce nitrogen dioxide (no 2), water. Hno3 Dehydrating Agent.
From stock.adobe.com
Nitric acid (HNO3) molecule, chemical structure. Strong and corrosive Hno3 Dehydrating Agent $\ce{p4o10}$ is known to be a dehydrating agent. The second method produces strong hno 3 (with 90 percent concentration) from weak hno 3 by combining dehydration, bleach, condensation, and absorption processes. 2 hno 3 → 2 no 2 + h 2 o + [o] For the preparation of conc. Two common dehydrating agents used in the distillation of 68% hno3. Hno3 Dehydrating Agent.
From weibo.cnreagent.com
32133827,马丁磺烷脱水剂,Martin Sulfurane Dehydrating agent Hno3 Dehydrating Agent Nitric acid as an oxidizing agent. Two methods are used to produce hno 3. The second method produces strong hno 3 (with 90 percent concentration) from weak hno 3 by combining dehydration, bleach, condensation, and absorption processes. $\ce{p4o10}$ is known to be a dehydrating agent. For the preparation of conc. Nitric acid is an excellent oxidizing agent due to its. Hno3 Dehydrating Agent.
From dir.indiamart.com
Dehydrating Agents at Best Price in India Hno3 Dehydrating Agent The reaction can be represented as follows: The selection of a dehydrating agent is a crucial factor that influences the physicochemical properties of the adsorbent. Hno 3, it is treated with conc. The second method produces strong hno 3 (with 90 percent concentration) from weak hno 3 by combining dehydration, bleach, condensation, and absorption processes. Two common dehydrating agents used. Hno3 Dehydrating Agent.
From www.youtube.com
How to Reactivate Molecular Sieve 3A Regeneration of dehydrating Hno3 Dehydrating Agent Concentrated nitric acid (hno 3) decomposes to produce nitrogen dioxide (no 2), water (h 2 o), and oxygen (o). 2 hno 3 → 2 no 2 + h 2 o + [o] Two common dehydrating agents used in the distillation of 68% hno3 include concentrated sulfuric acid (h2so4) and phosphorus. The selection of a dehydrating agent is a crucial factor. Hno3 Dehydrating Agent.