What Is The Fear Questionnaire Used For . — introduction the brief standard fear questionnaire (fq) developed by marks and mathews (1979) yields. it was found that the discriminant validity of the fq was greatest for clinical groups experiencing phobic anxiety. — the fear questionnaire (fq) has been widely used both nationally and internationally in the anxiety disorder. — the fear questionnaire (fq) is a valuable tool designed to assess and understand the presence and impact of fears or phobias that. although the fear questionnaire (fq) has been widely used, its psychometric properties for anxiety disorder patients are.
from www.scribd.com
it was found that the discriminant validity of the fq was greatest for clinical groups experiencing phobic anxiety. — the fear questionnaire (fq) is a valuable tool designed to assess and understand the presence and impact of fears or phobias that. although the fear questionnaire (fq) has been widely used, its psychometric properties for anxiety disorder patients are. — the fear questionnaire (fq) has been widely used both nationally and internationally in the anxiety disorder. — introduction the brief standard fear questionnaire (fq) developed by marks and mathews (1979) yields.
Fear Questionnaire Phobia Psychological Concepts
What Is The Fear Questionnaire Used For — the fear questionnaire (fq) has been widely used both nationally and internationally in the anxiety disorder. although the fear questionnaire (fq) has been widely used, its psychometric properties for anxiety disorder patients are. it was found that the discriminant validity of the fq was greatest for clinical groups experiencing phobic anxiety. — the fear questionnaire (fq) is a valuable tool designed to assess and understand the presence and impact of fears or phobias that. — the fear questionnaire (fq) has been widely used both nationally and internationally in the anxiety disorder. — introduction the brief standard fear questionnaire (fq) developed by marks and mathews (1979) yields.
From www.researchgate.net
Survey questions related to fear and their responses Download Scientific Diagram What Is The Fear Questionnaire Used For — introduction the brief standard fear questionnaire (fq) developed by marks and mathews (1979) yields. — the fear questionnaire (fq) is a valuable tool designed to assess and understand the presence and impact of fears or phobias that. although the fear questionnaire (fq) has been widely used, its psychometric properties for anxiety disorder patients are. —. What Is The Fear Questionnaire Used For.
From romankallum.blogspot.com
15+ Fear Avoidance Beliefs Questionnaire Pdf RomanKallum What Is The Fear Questionnaire Used For it was found that the discriminant validity of the fq was greatest for clinical groups experiencing phobic anxiety. — introduction the brief standard fear questionnaire (fq) developed by marks and mathews (1979) yields. although the fear questionnaire (fq) has been widely used, its psychometric properties for anxiety disorder patients are. — the fear questionnaire (fq) has. What Is The Fear Questionnaire Used For.
From link.springer.com
Psychometric Properties and Clinical Utility of the Specific Phobia Questionnaire in an Anxiety What Is The Fear Questionnaire Used For — the fear questionnaire (fq) has been widely used both nationally and internationally in the anxiety disorder. — introduction the brief standard fear questionnaire (fq) developed by marks and mathews (1979) yields. it was found that the discriminant validity of the fq was greatest for clinical groups experiencing phobic anxiety. — the fear questionnaire (fq) is. What Is The Fear Questionnaire Used For.
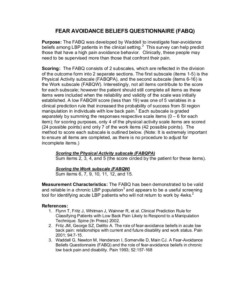
From chiro.org
Acknowledgements What Is The Fear Questionnaire Used For — the fear questionnaire (fq) has been widely used both nationally and internationally in the anxiety disorder. — the fear questionnaire (fq) is a valuable tool designed to assess and understand the presence and impact of fears or phobias that. — introduction the brief standard fear questionnaire (fq) developed by marks and mathews (1979) yields. although. What Is The Fear Questionnaire Used For.
From link.springer.com
Psychometric Properties and Clinical Utility of the Specific Phobia Questionnaire in an Anxiety What Is The Fear Questionnaire Used For — introduction the brief standard fear questionnaire (fq) developed by marks and mathews (1979) yields. it was found that the discriminant validity of the fq was greatest for clinical groups experiencing phobic anxiety. — the fear questionnaire (fq) is a valuable tool designed to assess and understand the presence and impact of fears or phobias that. . What Is The Fear Questionnaire Used For.
From ananda.ai
Phobia SelfEvaluation Questionnaire Take this selfevaluation to know whether you suffer from What Is The Fear Questionnaire Used For — introduction the brief standard fear questionnaire (fq) developed by marks and mathews (1979) yields. although the fear questionnaire (fq) has been widely used, its psychometric properties for anxiety disorder patients are. — the fear questionnaire (fq) is a valuable tool designed to assess and understand the presence and impact of fears or phobias that. it. What Is The Fear Questionnaire Used For.
From psychologyroots.com
Fear And Avoidance Questionnaire Psychology Roots What Is The Fear Questionnaire Used For although the fear questionnaire (fq) has been widely used, its psychometric properties for anxiety disorder patients are. it was found that the discriminant validity of the fq was greatest for clinical groups experiencing phobic anxiety. — the fear questionnaire (fq) is a valuable tool designed to assess and understand the presence and impact of fears or phobias. What Is The Fear Questionnaire Used For.
From www.researchgate.net
(PDF) Confirmatory Factor Analysis of the Fear Questionnaire in Panic Disorder With Agoraphobia What Is The Fear Questionnaire Used For although the fear questionnaire (fq) has been widely used, its psychometric properties for anxiety disorder patients are. — the fear questionnaire (fq) is a valuable tool designed to assess and understand the presence and impact of fears or phobias that. — introduction the brief standard fear questionnaire (fq) developed by marks and mathews (1979) yields. —. What Is The Fear Questionnaire Used For.
From www.scribd.com
Survey Questionnaire For Fear PDF What Is The Fear Questionnaire Used For — the fear questionnaire (fq) is a valuable tool designed to assess and understand the presence and impact of fears or phobias that. it was found that the discriminant validity of the fq was greatest for clinical groups experiencing phobic anxiety. although the fear questionnaire (fq) has been widely used, its psychometric properties for anxiety disorder patients. What Is The Fear Questionnaire Used For.
From eslvault.com
25 fears conversation questions ESL Vault What Is The Fear Questionnaire Used For although the fear questionnaire (fq) has been widely used, its psychometric properties for anxiety disorder patients are. — the fear questionnaire (fq) has been widely used both nationally and internationally in the anxiety disorder. — introduction the brief standard fear questionnaire (fq) developed by marks and mathews (1979) yields. it was found that the discriminant validity. What Is The Fear Questionnaire Used For.
From www.pdffiller.com
Fillable Online SVHformfearfreequestionnairerd1 Fax Email Print pdfFiller What Is The Fear Questionnaire Used For — the fear questionnaire (fq) has been widely used both nationally and internationally in the anxiety disorder. it was found that the discriminant validity of the fq was greatest for clinical groups experiencing phobic anxiety. although the fear questionnaire (fq) has been widely used, its psychometric properties for anxiety disorder patients are. — the fear questionnaire. What Is The Fear Questionnaire Used For.
From www.researchgate.net
Surgical fear questionnaire. Distribution of the responses of the... Download Scientific Diagram What Is The Fear Questionnaire Used For — introduction the brief standard fear questionnaire (fq) developed by marks and mathews (1979) yields. although the fear questionnaire (fq) has been widely used, its psychometric properties for anxiety disorder patients are. — the fear questionnaire (fq) has been widely used both nationally and internationally in the anxiety disorder. it was found that the discriminant validity. What Is The Fear Questionnaire Used For.
From www.researchgate.net
Facial Image Scale (FIS) and the questionnaire used to assess dental... Download Scientific What Is The Fear Questionnaire Used For it was found that the discriminant validity of the fq was greatest for clinical groups experiencing phobic anxiety. — the fear questionnaire (fq) has been widely used both nationally and internationally in the anxiety disorder. — the fear questionnaire (fq) is a valuable tool designed to assess and understand the presence and impact of fears or phobias. What Is The Fear Questionnaire Used For.
From www.researchgate.net
Graphical results to the Fear Questionnaire. Download Scientific Diagram What Is The Fear Questionnaire Used For although the fear questionnaire (fq) has been widely used, its psychometric properties for anxiety disorder patients are. — introduction the brief standard fear questionnaire (fq) developed by marks and mathews (1979) yields. — the fear questionnaire (fq) has been widely used both nationally and internationally in the anxiety disorder. it was found that the discriminant validity. What Is The Fear Questionnaire Used For.
From fearfreepets.com
Fear, Anxiety, and Stress Assessment (5 pack laminated) Fear Free Pets What Is The Fear Questionnaire Used For — introduction the brief standard fear questionnaire (fq) developed by marks and mathews (1979) yields. — the fear questionnaire (fq) has been widely used both nationally and internationally in the anxiety disorder. although the fear questionnaire (fq) has been widely used, its psychometric properties for anxiety disorder patients are. — the fear questionnaire (fq) is a. What Is The Fear Questionnaire Used For.
From www.semanticscholar.org
Table 1 from Development and initial validation of an abbreviated Spider Phobia Questionnaire What Is The Fear Questionnaire Used For — introduction the brief standard fear questionnaire (fq) developed by marks and mathews (1979) yields. it was found that the discriminant validity of the fq was greatest for clinical groups experiencing phobic anxiety. although the fear questionnaire (fq) has been widely used, its psychometric properties for anxiety disorder patients are. — the fear questionnaire (fq) has. What Is The Fear Questionnaire Used For.
From www.carepatron.com
Fear Questionnaire (FQ) & Example Free PDF Download What Is The Fear Questionnaire Used For — the fear questionnaire (fq) has been widely used both nationally and internationally in the anxiety disorder. although the fear questionnaire (fq) has been widely used, its psychometric properties for anxiety disorder patients are. it was found that the discriminant validity of the fq was greatest for clinical groups experiencing phobic anxiety. — introduction the brief. What Is The Fear Questionnaire Used For.
From www.scribd.com
Fear Avoidance Questionnaire[1] Pain Medicine What Is The Fear Questionnaire Used For although the fear questionnaire (fq) has been widely used, its psychometric properties for anxiety disorder patients are. — the fear questionnaire (fq) has been widely used both nationally and internationally in the anxiety disorder. — introduction the brief standard fear questionnaire (fq) developed by marks and mathews (1979) yields. it was found that the discriminant validity. What Is The Fear Questionnaire Used For.
From www.semanticscholar.org
Figure 2 from Development of a fearavoidance questionnaire for athletes Semantic Scholar What Is The Fear Questionnaire Used For — the fear questionnaire (fq) has been widely used both nationally and internationally in the anxiety disorder. although the fear questionnaire (fq) has been widely used, its psychometric properties for anxiety disorder patients are. it was found that the discriminant validity of the fq was greatest for clinical groups experiencing phobic anxiety. — the fear questionnaire. What Is The Fear Questionnaire Used For.
From www.researchgate.net
Questionnaire about steroid phobia (n=126) Download Table What Is The Fear Questionnaire Used For although the fear questionnaire (fq) has been widely used, its psychometric properties for anxiety disorder patients are. — introduction the brief standard fear questionnaire (fq) developed by marks and mathews (1979) yields. — the fear questionnaire (fq) is a valuable tool designed to assess and understand the presence and impact of fears or phobias that. —. What Is The Fear Questionnaire Used For.
From www.scribd.com
Fear Questionnaire PDF Phobia Psychology What Is The Fear Questionnaire Used For — introduction the brief standard fear questionnaire (fq) developed by marks and mathews (1979) yields. although the fear questionnaire (fq) has been widely used, its psychometric properties for anxiety disorder patients are. — the fear questionnaire (fq) has been widely used both nationally and internationally in the anxiety disorder. it was found that the discriminant validity. What Is The Fear Questionnaire Used For.
From www.semanticscholar.org
[PDF] What is the Revised Fear Survey Schedule for Children measuring? Semantic Scholar What Is The Fear Questionnaire Used For it was found that the discriminant validity of the fq was greatest for clinical groups experiencing phobic anxiety. — the fear questionnaire (fq) has been widely used both nationally and internationally in the anxiety disorder. — introduction the brief standard fear questionnaire (fq) developed by marks and mathews (1979) yields. — the fear questionnaire (fq) is. What Is The Fear Questionnaire Used For.
From www.scribd.com
Questionnaire Phobia Behavioural Sciences Free 30day Trial Scribd What Is The Fear Questionnaire Used For although the fear questionnaire (fq) has been widely used, its psychometric properties for anxiety disorder patients are. — the fear questionnaire (fq) has been widely used both nationally and internationally in the anxiety disorder. — introduction the brief standard fear questionnaire (fq) developed by marks and mathews (1979) yields. it was found that the discriminant validity. What Is The Fear Questionnaire Used For.
From romankallum.blogspot.com
15+ Fear Avoidance Beliefs Questionnaire Pdf RomanKallum What Is The Fear Questionnaire Used For — the fear questionnaire (fq) is a valuable tool designed to assess and understand the presence and impact of fears or phobias that. although the fear questionnaire (fq) has been widely used, its psychometric properties for anxiety disorder patients are. it was found that the discriminant validity of the fq was greatest for clinical groups experiencing phobic. What Is The Fear Questionnaire Used For.
From www.carepatron.com
Fear Avoidance Beliefs Questionnaire & Example Free PDF Download What Is The Fear Questionnaire Used For it was found that the discriminant validity of the fq was greatest for clinical groups experiencing phobic anxiety. — the fear questionnaire (fq) is a valuable tool designed to assess and understand the presence and impact of fears or phobias that. — the fear questionnaire (fq) has been widely used both nationally and internationally in the anxiety. What Is The Fear Questionnaire Used For.
From www.slideshare.net
FearAvoidance Beliefs Questionnaire What Is The Fear Questionnaire Used For although the fear questionnaire (fq) has been widely used, its psychometric properties for anxiety disorder patients are. — introduction the brief standard fear questionnaire (fq) developed by marks and mathews (1979) yields. it was found that the discriminant validity of the fq was greatest for clinical groups experiencing phobic anxiety. — the fear questionnaire (fq) has. What Is The Fear Questionnaire Used For.
From www.researchgate.net
(PDF) DSM5 Phonophobia Severity Scale (Modified DSM5 Specific Phobia Severity Scale) What Is The Fear Questionnaire Used For it was found that the discriminant validity of the fq was greatest for clinical groups experiencing phobic anxiety. although the fear questionnaire (fq) has been widely used, its psychometric properties for anxiety disorder patients are. — the fear questionnaire (fq) has been widely used both nationally and internationally in the anxiety disorder. — the fear questionnaire. What Is The Fear Questionnaire Used For.
From www.researchgate.net
(PDF) Validation of the Surgical Fear Questionnaire in Adult Patients Waiting for Elective Surgery What Is The Fear Questionnaire Used For — introduction the brief standard fear questionnaire (fq) developed by marks and mathews (1979) yields. — the fear questionnaire (fq) is a valuable tool designed to assess and understand the presence and impact of fears or phobias that. — the fear questionnaire (fq) has been widely used both nationally and internationally in the anxiety disorder. although. What Is The Fear Questionnaire Used For.
From aneskey.com
Back Schools and Fear Avoidance Training Anesthesia Key What Is The Fear Questionnaire Used For although the fear questionnaire (fq) has been widely used, its psychometric properties for anxiety disorder patients are. — introduction the brief standard fear questionnaire (fq) developed by marks and mathews (1979) yields. — the fear questionnaire (fq) has been widely used both nationally and internationally in the anxiety disorder. — the fear questionnaire (fq) is a. What Is The Fear Questionnaire Used For.
From chiro.org
Figure 2 What Is The Fear Questionnaire Used For — the fear questionnaire (fq) has been widely used both nationally and internationally in the anxiety disorder. — the fear questionnaire (fq) is a valuable tool designed to assess and understand the presence and impact of fears or phobias that. it was found that the discriminant validity of the fq was greatest for clinical groups experiencing phobic. What Is The Fear Questionnaire Used For.
From www.reneenorriscounselling.co.uk
Anxiety and Depression Questionnaire Renee Norris Counselling What Is The Fear Questionnaire Used For — the fear questionnaire (fq) is a valuable tool designed to assess and understand the presence and impact of fears or phobias that. it was found that the discriminant validity of the fq was greatest for clinical groups experiencing phobic anxiety. although the fear questionnaire (fq) has been widely used, its psychometric properties for anxiety disorder patients. What Is The Fear Questionnaire Used For.
From www.semanticscholar.org
[PDF] Development of a fearavoidance questionnaire for athletes Semantic Scholar What Is The Fear Questionnaire Used For — the fear questionnaire (fq) has been widely used both nationally and internationally in the anxiety disorder. it was found that the discriminant validity of the fq was greatest for clinical groups experiencing phobic anxiety. although the fear questionnaire (fq) has been widely used, its psychometric properties for anxiety disorder patients are. — introduction the brief. What Is The Fear Questionnaire Used For.
From www.researchgate.net
Group mean scores on the fear questionnaire total phobia at the five... Download Scientific What Is The Fear Questionnaire Used For — introduction the brief standard fear questionnaire (fq) developed by marks and mathews (1979) yields. — the fear questionnaire (fq) is a valuable tool designed to assess and understand the presence and impact of fears or phobias that. it was found that the discriminant validity of the fq was greatest for clinical groups experiencing phobic anxiety. . What Is The Fear Questionnaire Used For.
From www.scribd.com
Fear Questionnaire Phobia Psychological Concepts What Is The Fear Questionnaire Used For — introduction the brief standard fear questionnaire (fq) developed by marks and mathews (1979) yields. it was found that the discriminant validity of the fq was greatest for clinical groups experiencing phobic anxiety. — the fear questionnaire (fq) is a valuable tool designed to assess and understand the presence and impact of fears or phobias that. . What Is The Fear Questionnaire Used For.
From www.slideshare.net
FearAvoidance Beliefs Questionnaire What Is The Fear Questionnaire Used For — the fear questionnaire (fq) is a valuable tool designed to assess and understand the presence and impact of fears or phobias that. — the fear questionnaire (fq) has been widely used both nationally and internationally in the anxiety disorder. — introduction the brief standard fear questionnaire (fq) developed by marks and mathews (1979) yields. it. What Is The Fear Questionnaire Used For.