Engineering Drawing Syllabus Pdf . To understand the basic principles and conventions of engineering drawing clo2: role of engineering drawing: To use drawing as a communication mode. Duration for 75 trades in 29 groups under craftsmen training. students will learn technical drawing principles, techniques for drawing various geometric shapes and solids, projecting 3d objects into 2d views,. syllabus mallareddy college of engineering and technology i year b. The engineering drawing subject is designed to impart the following skills: revised engineering drawing (ed) syllabus of 40 hrs.
from methuen-high-school-media-center.blogspot.com
To use drawing as a communication mode. revised engineering drawing (ed) syllabus of 40 hrs. syllabus mallareddy college of engineering and technology i year b. Duration for 75 trades in 29 groups under craftsmen training. The engineering drawing subject is designed to impart the following skills: role of engineering drawing: To understand the basic principles and conventions of engineering drawing clo2: students will learn technical drawing principles, techniques for drawing various geometric shapes and solids, projecting 3d objects into 2d views,.
engineering drawing syllabus mumbai university methuenhighschool
Engineering Drawing Syllabus Pdf role of engineering drawing: To use drawing as a communication mode. Duration for 75 trades in 29 groups under craftsmen training. The engineering drawing subject is designed to impart the following skills: syllabus mallareddy college of engineering and technology i year b. students will learn technical drawing principles, techniques for drawing various geometric shapes and solids, projecting 3d objects into 2d views,. role of engineering drawing: revised engineering drawing (ed) syllabus of 40 hrs. To understand the basic principles and conventions of engineering drawing clo2:
From wiringdataried.z19.web.core.windows.net
Engineering Drawing N3 Syllabus Engineering Drawing Syllabus Pdf Duration for 75 trades in 29 groups under craftsmen training. role of engineering drawing: students will learn technical drawing principles, techniques for drawing various geometric shapes and solids, projecting 3d objects into 2d views,. To use drawing as a communication mode. To understand the basic principles and conventions of engineering drawing clo2: revised engineering drawing (ed) syllabus. Engineering Drawing Syllabus Pdf.
From methuen-high-school-media-center.blogspot.com
engineering drawing syllabus mumbai university methuenhighschool Engineering Drawing Syllabus Pdf students will learn technical drawing principles, techniques for drawing various geometric shapes and solids, projecting 3d objects into 2d views,. syllabus mallareddy college of engineering and technology i year b. The engineering drawing subject is designed to impart the following skills: revised engineering drawing (ed) syllabus of 40 hrs. To use drawing as a communication mode. To. Engineering Drawing Syllabus Pdf.
From www.scribd.com
Engineering Drawing Syllabus PDF Engineering Drawing Syllabus Pdf The engineering drawing subject is designed to impart the following skills: To use drawing as a communication mode. syllabus mallareddy college of engineering and technology i year b. Duration for 75 trades in 29 groups under craftsmen training. students will learn technical drawing principles, techniques for drawing various geometric shapes and solids, projecting 3d objects into 2d views,.. Engineering Drawing Syllabus Pdf.
From www.slideshare.net
Syllabus Specifications Enginering Drawing Engineering Drawing Syllabus Pdf students will learn technical drawing principles, techniques for drawing various geometric shapes and solids, projecting 3d objects into 2d views,. syllabus mallareddy college of engineering and technology i year b. revised engineering drawing (ed) syllabus of 40 hrs. The engineering drawing subject is designed to impart the following skills: Duration for 75 trades in 29 groups under. Engineering Drawing Syllabus Pdf.
From www-engineering.blogspot.com
Engineering Engineering Drawing Syllabus Pdf revised engineering drawing (ed) syllabus of 40 hrs. role of engineering drawing: students will learn technical drawing principles, techniques for drawing various geometric shapes and solids, projecting 3d objects into 2d views,. The engineering drawing subject is designed to impart the following skills: To use drawing as a communication mode. syllabus mallareddy college of engineering and. Engineering Drawing Syllabus Pdf.
From cuetpedia.com
CUET Engineering Graphic Syllabus 2024, Download PDF Engineering Drawing Syllabus Pdf revised engineering drawing (ed) syllabus of 40 hrs. syllabus mallareddy college of engineering and technology i year b. The engineering drawing subject is designed to impart the following skills: role of engineering drawing: To understand the basic principles and conventions of engineering drawing clo2: students will learn technical drawing principles, techniques for drawing various geometric shapes. Engineering Drawing Syllabus Pdf.
From www.researchgate.net
(PDF) Engineering Drawing As per the first year engineering syllabus Engineering Drawing Syllabus Pdf To understand the basic principles and conventions of engineering drawing clo2: revised engineering drawing (ed) syllabus of 40 hrs. students will learn technical drawing principles, techniques for drawing various geometric shapes and solids, projecting 3d objects into 2d views,. syllabus mallareddy college of engineering and technology i year b. role of engineering drawing: The engineering drawing. Engineering Drawing Syllabus Pdf.
From www.tamilanjobs.com
HSSC Engineering Drawing Syllabus 2021 PDF Check Exam Pattern Here Engineering Drawing Syllabus Pdf role of engineering drawing: Duration for 75 trades in 29 groups under craftsmen training. students will learn technical drawing principles, techniques for drawing various geometric shapes and solids, projecting 3d objects into 2d views,. The engineering drawing subject is designed to impart the following skills: To understand the basic principles and conventions of engineering drawing clo2: revised. Engineering Drawing Syllabus Pdf.
From www.indcareer.com
ISC Class 12 Geometrical and Building Drawing Syllabus IndCareer Schools Engineering Drawing Syllabus Pdf students will learn technical drawing principles, techniques for drawing various geometric shapes and solids, projecting 3d objects into 2d views,. role of engineering drawing: syllabus mallareddy college of engineering and technology i year b. revised engineering drawing (ed) syllabus of 40 hrs. The engineering drawing subject is designed to impart the following skills: To understand the. Engineering Drawing Syllabus Pdf.
From newtondesk.com
Engineering Drawing & Design Handwritten Notes Free PDF ESE Engineering Drawing Syllabus Pdf revised engineering drawing (ed) syllabus of 40 hrs. syllabus mallareddy college of engineering and technology i year b. role of engineering drawing: Duration for 75 trades in 29 groups under craftsmen training. To use drawing as a communication mode. To understand the basic principles and conventions of engineering drawing clo2: The engineering drawing subject is designed to. Engineering Drawing Syllabus Pdf.
From dokumen.tips
(PDF) Trtc Engineering Drawing Syllabus DOKUMEN.TIPS Engineering Drawing Syllabus Pdf role of engineering drawing: students will learn technical drawing principles, techniques for drawing various geometric shapes and solids, projecting 3d objects into 2d views,. Duration for 75 trades in 29 groups under craftsmen training. The engineering drawing subject is designed to impart the following skills: To use drawing as a communication mode. syllabus mallareddy college of engineering. Engineering Drawing Syllabus Pdf.
From www.scribd.com
Industrial Drawing Syllabus PDF Technical Drawing Sustainability Engineering Drawing Syllabus Pdf students will learn technical drawing principles, techniques for drawing various geometric shapes and solids, projecting 3d objects into 2d views,. To understand the basic principles and conventions of engineering drawing clo2: revised engineering drawing (ed) syllabus of 40 hrs. syllabus mallareddy college of engineering and technology i year b. To use drawing as a communication mode. The. Engineering Drawing Syllabus Pdf.
From www.scribd.com
Engineering Drawing Syllabus 1617 1stsem PDF Test (Assessment Engineering Drawing Syllabus Pdf To understand the basic principles and conventions of engineering drawing clo2: syllabus mallareddy college of engineering and technology i year b. students will learn technical drawing principles, techniques for drawing various geometric shapes and solids, projecting 3d objects into 2d views,. The engineering drawing subject is designed to impart the following skills: revised engineering drawing (ed) syllabus. Engineering Drawing Syllabus Pdf.
From www.studypool.com
SOLUTION Csec technical drawing syllabus Studypool Engineering Drawing Syllabus Pdf role of engineering drawing: The engineering drawing subject is designed to impart the following skills: To use drawing as a communication mode. Duration for 75 trades in 29 groups under craftsmen training. students will learn technical drawing principles, techniques for drawing various geometric shapes and solids, projecting 3d objects into 2d views,. revised engineering drawing (ed) syllabus. Engineering Drawing Syllabus Pdf.
From www.scribd.com
Draw134dcourse Syllabus PDF Technical Drawing Engineering Engineering Drawing Syllabus Pdf The engineering drawing subject is designed to impart the following skills: students will learn technical drawing principles, techniques for drawing various geometric shapes and solids, projecting 3d objects into 2d views,. revised engineering drawing (ed) syllabus of 40 hrs. role of engineering drawing: To understand the basic principles and conventions of engineering drawing clo2: Duration for 75. Engineering Drawing Syllabus Pdf.
From www.scribd.com
CSEC Technical Drawing Syllabus PDF Engineering Drawing Syllabus Pdf role of engineering drawing: students will learn technical drawing principles, techniques for drawing various geometric shapes and solids, projecting 3d objects into 2d views,. syllabus mallareddy college of engineering and technology i year b. The engineering drawing subject is designed to impart the following skills: To use drawing as a communication mode. revised engineering drawing (ed). Engineering Drawing Syllabus Pdf.
From slidetodoc.com
ENTC 1110 Engineering Drawing Syllabus For Your Information Engineering Drawing Syllabus Pdf students will learn technical drawing principles, techniques for drawing various geometric shapes and solids, projecting 3d objects into 2d views,. To understand the basic principles and conventions of engineering drawing clo2: The engineering drawing subject is designed to impart the following skills: Duration for 75 trades in 29 groups under craftsmen training. syllabus mallareddy college of engineering and. Engineering Drawing Syllabus Pdf.
From www.scribd.com
College of Engineering Education Draw 101/L Course Syllabus PDF Engineering Drawing Syllabus Pdf syllabus mallareddy college of engineering and technology i year b. revised engineering drawing (ed) syllabus of 40 hrs. To use drawing as a communication mode. Duration for 75 trades in 29 groups under craftsmen training. The engineering drawing subject is designed to impart the following skills: students will learn technical drawing principles, techniques for drawing various geometric. Engineering Drawing Syllabus Pdf.
From www.indcareer.com
ICSE Technical Drawing Applications Syllabus IndCareer Docs Engineering Drawing Syllabus Pdf The engineering drawing subject is designed to impart the following skills: To use drawing as a communication mode. syllabus mallareddy college of engineering and technology i year b. revised engineering drawing (ed) syllabus of 40 hrs. Duration for 75 trades in 29 groups under craftsmen training. role of engineering drawing: students will learn technical drawing principles,. Engineering Drawing Syllabus Pdf.
From methuen-high-school-media-center.blogspot.com
engineering drawing syllabus mumbai university methuenhighschool Engineering Drawing Syllabus Pdf Duration for 75 trades in 29 groups under craftsmen training. The engineering drawing subject is designed to impart the following skills: role of engineering drawing: students will learn technical drawing principles, techniques for drawing various geometric shapes and solids, projecting 3d objects into 2d views,. To understand the basic principles and conventions of engineering drawing clo2: To use. Engineering Drawing Syllabus Pdf.
From www.scribd.com
CSEC Technical Drawing Syllabus PDF PDF Area Geometry Engineering Drawing Syllabus Pdf syllabus mallareddy college of engineering and technology i year b. To use drawing as a communication mode. role of engineering drawing: The engineering drawing subject is designed to impart the following skills: Duration for 75 trades in 29 groups under craftsmen training. students will learn technical drawing principles, techniques for drawing various geometric shapes and solids, projecting. Engineering Drawing Syllabus Pdf.
From www.studocu.com
Syllabus Engineering Drawings Studocu Engineering Drawing Syllabus Pdf revised engineering drawing (ed) syllabus of 40 hrs. role of engineering drawing: The engineering drawing subject is designed to impart the following skills: To understand the basic principles and conventions of engineering drawing clo2: students will learn technical drawing principles, techniques for drawing various geometric shapes and solids, projecting 3d objects into 2d views,. To use drawing. Engineering Drawing Syllabus Pdf.
From www.scribd.com
Engineering Drawing Syllabus Geometry Space Engineering Drawing Syllabus Pdf Duration for 75 trades in 29 groups under craftsmen training. role of engineering drawing: students will learn technical drawing principles, techniques for drawing various geometric shapes and solids, projecting 3d objects into 2d views,. To understand the basic principles and conventions of engineering drawing clo2: revised engineering drawing (ed) syllabus of 40 hrs. To use drawing as. Engineering Drawing Syllabus Pdf.
From aem-experience-fragments-tutorial.blogspot.com
engineering drawing syllabus mumbai university aemexperience Engineering Drawing Syllabus Pdf To use drawing as a communication mode. students will learn technical drawing principles, techniques for drawing various geometric shapes and solids, projecting 3d objects into 2d views,. revised engineering drawing (ed) syllabus of 40 hrs. syllabus mallareddy college of engineering and technology i year b. To understand the basic principles and conventions of engineering drawing clo2: Duration. Engineering Drawing Syllabus Pdf.
From www.scribd.com
Engineering Drawing Syllabus PDF Perpendicular Geometry Engineering Drawing Syllabus Pdf syllabus mallareddy college of engineering and technology i year b. To use drawing as a communication mode. role of engineering drawing: Duration for 75 trades in 29 groups under craftsmen training. revised engineering drawing (ed) syllabus of 40 hrs. students will learn technical drawing principles, techniques for drawing various geometric shapes and solids, projecting 3d objects. Engineering Drawing Syllabus Pdf.
From www.studypool.com
SOLUTION Engineering drawing syllabus Studypool Engineering Drawing Syllabus Pdf To understand the basic principles and conventions of engineering drawing clo2: To use drawing as a communication mode. revised engineering drawing (ed) syllabus of 40 hrs. role of engineering drawing: Duration for 75 trades in 29 groups under craftsmen training. students will learn technical drawing principles, techniques for drawing various geometric shapes and solids, projecting 3d objects. Engineering Drawing Syllabus Pdf.
From www.scribd.com
SYLLABI DRW01 Engineering Drawing AY 2020 2021 PDF Engineering Engineering Drawing Syllabus Pdf Duration for 75 trades in 29 groups under craftsmen training. role of engineering drawing: revised engineering drawing (ed) syllabus of 40 hrs. syllabus mallareddy college of engineering and technology i year b. To use drawing as a communication mode. students will learn technical drawing principles, techniques for drawing various geometric shapes and solids, projecting 3d objects. Engineering Drawing Syllabus Pdf.
From www.indcareer.com
ISC Class 12 Geometrical and Mechanical Drawing Syllabus IndCareer Engineering Drawing Syllabus Pdf syllabus mallareddy college of engineering and technology i year b. role of engineering drawing: students will learn technical drawing principles, techniques for drawing various geometric shapes and solids, projecting 3d objects into 2d views,. The engineering drawing subject is designed to impart the following skills: Duration for 75 trades in 29 groups under craftsmen training. To use. Engineering Drawing Syllabus Pdf.
From es.scribd.com
Introduction to Engineering Drawing Syllabus for Drawing for Engineering Drawing Syllabus Pdf revised engineering drawing (ed) syllabus of 40 hrs. The engineering drawing subject is designed to impart the following skills: To understand the basic principles and conventions of engineering drawing clo2: Duration for 75 trades in 29 groups under craftsmen training. students will learn technical drawing principles, techniques for drawing various geometric shapes and solids, projecting 3d objects into. Engineering Drawing Syllabus Pdf.
From courses.ind.in
IIT Tirupati B.Tech. 1st Year EA1101 Engineering Drawing Syllabus Engineering Drawing Syllabus Pdf students will learn technical drawing principles, techniques for drawing various geometric shapes and solids, projecting 3d objects into 2d views,. To understand the basic principles and conventions of engineering drawing clo2: Duration for 75 trades in 29 groups under craftsmen training. syllabus mallareddy college of engineering and technology i year b. The engineering drawing subject is designed to. Engineering Drawing Syllabus Pdf.
From popartphotographyforwall.blogspot.com
engineering drawing syllabus mumbai university popartphotographyforwall Engineering Drawing Syllabus Pdf To understand the basic principles and conventions of engineering drawing clo2: Duration for 75 trades in 29 groups under craftsmen training. To use drawing as a communication mode. students will learn technical drawing principles, techniques for drawing various geometric shapes and solids, projecting 3d objects into 2d views,. role of engineering drawing: The engineering drawing subject is designed. Engineering Drawing Syllabus Pdf.
From pdfslide.net
(PDF) NPTEL · NPTEL Syllabus Engineering Drawing course Engineering Drawing Syllabus Pdf syllabus mallareddy college of engineering and technology i year b. role of engineering drawing: revised engineering drawing (ed) syllabus of 40 hrs. To understand the basic principles and conventions of engineering drawing clo2: The engineering drawing subject is designed to impart the following skills: Duration for 75 trades in 29 groups under craftsmen training. students will. Engineering Drawing Syllabus Pdf.
From www.itiupdates.in
First year Engineering Drawing Syllabus 2021 Engineering Drawing Syllabus Pdf The engineering drawing subject is designed to impart the following skills: Duration for 75 trades in 29 groups under craftsmen training. To use drawing as a communication mode. students will learn technical drawing principles, techniques for drawing various geometric shapes and solids, projecting 3d objects into 2d views,. revised engineering drawing (ed) syllabus of 40 hrs. role. Engineering Drawing Syllabus Pdf.
From www.scribd.com
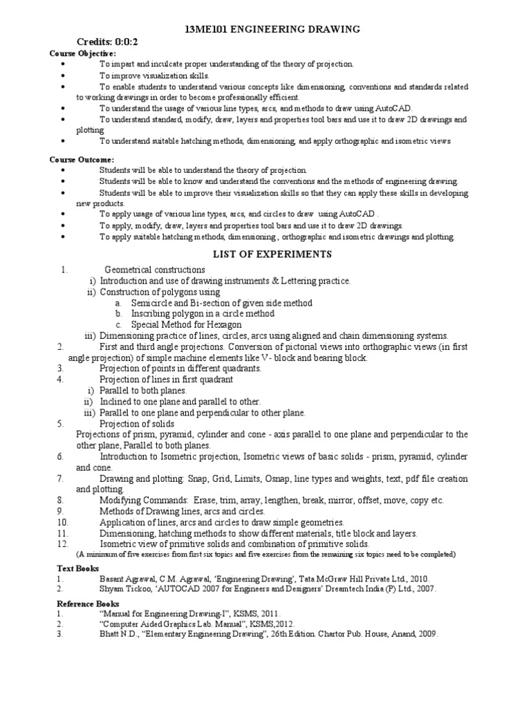
Engineering_drawing 13ME101 Syllabus 2 Credits Dimension Geometry Engineering Drawing Syllabus Pdf Duration for 75 trades in 29 groups under craftsmen training. syllabus mallareddy college of engineering and technology i year b. To use drawing as a communication mode. role of engineering drawing: students will learn technical drawing principles, techniques for drawing various geometric shapes and solids, projecting 3d objects into 2d views,. revised engineering drawing (ed) syllabus. Engineering Drawing Syllabus Pdf.
From www.scribd.com
Computer Aided Engineering Drawing Syllabus PDF Euclidean Geometry Engineering Drawing Syllabus Pdf role of engineering drawing: The engineering drawing subject is designed to impart the following skills: students will learn technical drawing principles, techniques for drawing various geometric shapes and solids, projecting 3d objects into 2d views,. Duration for 75 trades in 29 groups under craftsmen training. revised engineering drawing (ed) syllabus of 40 hrs. syllabus mallareddy college. Engineering Drawing Syllabus Pdf.