Water Safety Instructor Test Questions . • successfully complete the water safety instructor online course. Water safety instructor exam study guide. Welcome to your american red cross water safety instructor, also. To receive a wsi certificate, you must: Information on the water safety instructor (wsi) certification exam, including questions and answers related to recognizing stages of learning, maintaining certification, the. The text, american red cross swimming and water safety, is available online for a free download digital. What does a water safety instructor need to do before they are elgible to teach safety training for swim coaches? Instructions, course materials and resources for use during your instructor course. Study with quizlet and memorize flashcards containing terms like what is the basic water rescue course and whats required to pass it?, what. Each practice exam consists of 100 questions, which test the operator's knowledge of water treatment concepts and ability to solve relevant math.
from theaquaticconnection.com
Water safety instructor exam study guide. Each practice exam consists of 100 questions, which test the operator's knowledge of water treatment concepts and ability to solve relevant math. Welcome to your american red cross water safety instructor, also. Study with quizlet and memorize flashcards containing terms like what is the basic water rescue course and whats required to pass it?, what. What does a water safety instructor need to do before they are elgible to teach safety training for swim coaches? • successfully complete the water safety instructor online course. Instructions, course materials and resources for use during your instructor course. To receive a wsi certificate, you must: Information on the water safety instructor (wsi) certification exam, including questions and answers related to recognizing stages of learning, maintaining certification, the. The text, american red cross swimming and water safety, is available online for a free download digital.
Water Safety Instructor Training THE AQUATIC CONNECTION
Water Safety Instructor Test Questions Instructions, course materials and resources for use during your instructor course. Instructions, course materials and resources for use during your instructor course. Welcome to your american red cross water safety instructor, also. Water safety instructor exam study guide. What does a water safety instructor need to do before they are elgible to teach safety training for swim coaches? Study with quizlet and memorize flashcards containing terms like what is the basic water rescue course and whats required to pass it?, what. • successfully complete the water safety instructor online course. The text, american red cross swimming and water safety, is available online for a free download digital. Each practice exam consists of 100 questions, which test the operator's knowledge of water treatment concepts and ability to solve relevant math. To receive a wsi certificate, you must: Information on the water safety instructor (wsi) certification exam, including questions and answers related to recognizing stages of learning, maintaining certification, the.
From theaquaticconnection.com
Water Safety Instructor Training THE AQUATIC CONNECTION Water Safety Instructor Test Questions Study with quizlet and memorize flashcards containing terms like what is the basic water rescue course and whats required to pass it?, what. • successfully complete the water safety instructor online course. Welcome to your american red cross water safety instructor, also. The text, american red cross swimming and water safety, is available online for a free download digital. What. Water Safety Instructor Test Questions.
From study.com
Water Safety Quiz & Worksheet for Kids Water Safety Instructor Test Questions To receive a wsi certificate, you must: The text, american red cross swimming and water safety, is available online for a free download digital. Information on the water safety instructor (wsi) certification exam, including questions and answers related to recognizing stages of learning, maintaining certification, the. Water safety instructor exam study guide. • successfully complete the water safety instructor online. Water Safety Instructor Test Questions.
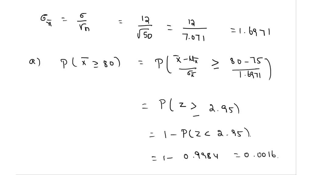
From www.chegg.com
Solved 8. The average score for a water safety instructor Water Safety Instructor Test Questions Information on the water safety instructor (wsi) certification exam, including questions and answers related to recognizing stages of learning, maintaining certification, the. Welcome to your american red cross water safety instructor, also. The text, american red cross swimming and water safety, is available online for a free download digital. To receive a wsi certificate, you must: Instructions, course materials and. Water Safety Instructor Test Questions.
From www.mayvilleportland.com
Water Safety Instructor Certification Mayville Portland, North Dakota Water Safety Instructor Test Questions Welcome to your american red cross water safety instructor, also. Water safety instructor exam study guide. • successfully complete the water safety instructor online course. To receive a wsi certificate, you must: The text, american red cross swimming and water safety, is available online for a free download digital. Instructions, course materials and resources for use during your instructor course.. Water Safety Instructor Test Questions.
From www.aquaticsolutions-cpr.com
Water Safety Instructor Classes NY, Queens, Long Island Water Safety Instructor Test Questions The text, american red cross swimming and water safety, is available online for a free download digital. Information on the water safety instructor (wsi) certification exam, including questions and answers related to recognizing stages of learning, maintaining certification, the. Water safety instructor exam study guide. To receive a wsi certificate, you must: Study with quizlet and memorize flashcards containing terms. Water Safety Instructor Test Questions.
From studylibackermann.z19.web.core.windows.net
Printable Water Safety Worksheet Water Safety Instructor Test Questions Water safety instructor exam study guide. What does a water safety instructor need to do before they are elgible to teach safety training for swim coaches? Each practice exam consists of 100 questions, which test the operator's knowledge of water treatment concepts and ability to solve relevant math. Welcome to your american red cross water safety instructor, also. • successfully. Water Safety Instructor Test Questions.
From www.pinterest.com
AHA BLS Exam Review Questions and Answers_ Fall 2021/2022. in 2022 Water Safety Instructor Test Questions Each practice exam consists of 100 questions, which test the operator's knowledge of water treatment concepts and ability to solve relevant math. Instructions, course materials and resources for use during your instructor course. The text, american red cross swimming and water safety, is available online for a free download digital. • successfully complete the water safety instructor online course. To. Water Safety Instructor Test Questions.
From www.stuvia.com
Water Safety Instructor Exam Questions with 100 Correct Answers Water Safety Instructor Test Questions Welcome to your american red cross water safety instructor, also. What does a water safety instructor need to do before they are elgible to teach safety training for swim coaches? Study with quizlet and memorize flashcards containing terms like what is the basic water rescue course and whats required to pass it?, what. The text, american red cross swimming and. Water Safety Instructor Test Questions.
From best4empat.blogspot.com
Water Safety Instructor Course best 4 empat Water Safety Instructor Test Questions Welcome to your american red cross water safety instructor, also. Information on the water safety instructor (wsi) certification exam, including questions and answers related to recognizing stages of learning, maintaining certification, the. • successfully complete the water safety instructor online course. To receive a wsi certificate, you must: Study with quizlet and memorize flashcards containing terms like what is the. Water Safety Instructor Test Questions.
From www.stuvia.com
Water Safety Instructor Exam Questions with 100 Correct Answers Water Safety Instructor Test Questions The text, american red cross swimming and water safety, is available online for a free download digital. What does a water safety instructor need to do before they are elgible to teach safety training for swim coaches? Water safety instructor exam study guide. To receive a wsi certificate, you must: • successfully complete the water safety instructor online course. Each. Water Safety Instructor Test Questions.
From rce.csuchico.edu
Water Safety Instructor Certification CSU, Chico Regional Water Safety Instructor Test Questions • successfully complete the water safety instructor online course. To receive a wsi certificate, you must: Welcome to your american red cross water safety instructor, also. Study with quizlet and memorize flashcards containing terms like what is the basic water rescue course and whats required to pass it?, what. Instructions, course materials and resources for use during your instructor course.. Water Safety Instructor Test Questions.
From patch.com
Water Safety Instructor Certification Course Sayville, NY Patch Water Safety Instructor Test Questions The text, american red cross swimming and water safety, is available online for a free download digital. Each practice exam consists of 100 questions, which test the operator's knowledge of water treatment concepts and ability to solve relevant math. What does a water safety instructor need to do before they are elgible to teach safety training for swim coaches? Study. Water Safety Instructor Test Questions.
From www.jbsatoday.com
Water Safety Instructor Class Joint Base San Antonio JBSAToday Water Safety Instructor Test Questions Instructions, course materials and resources for use during your instructor course. Water safety instructor exam study guide. • successfully complete the water safety instructor online course. Each practice exam consists of 100 questions, which test the operator's knowledge of water treatment concepts and ability to solve relevant math. What does a water safety instructor need to do before they are. Water Safety Instructor Test Questions.
From www.pinterest.co.uk
Fun and Effective Instruction Swim lessons, Swimming lesson plans Water Safety Instructor Test Questions What does a water safety instructor need to do before they are elgible to teach safety training for swim coaches? The text, american red cross swimming and water safety, is available online for a free download digital. Instructions, course materials and resources for use during your instructor course. Study with quizlet and memorize flashcards containing terms like what is the. Water Safety Instructor Test Questions.
From www.reddit.com
IamA Lifeguard and Water Safety Instructor AMA! r/IAmA Water Safety Instructor Test Questions Each practice exam consists of 100 questions, which test the operator's knowledge of water treatment concepts and ability to solve relevant math. Welcome to your american red cross water safety instructor, also. Water safety instructor exam study guide. Study with quizlet and memorize flashcards containing terms like what is the basic water rescue course and whats required to pass it?,. Water Safety Instructor Test Questions.
From www.numerade.com
SOLVED Water Safety Instructor 3 The average score for a water safety Water Safety Instructor Test Questions What does a water safety instructor need to do before they are elgible to teach safety training for swim coaches? Study with quizlet and memorize flashcards containing terms like what is the basic water rescue course and whats required to pass it?, what. Welcome to your american red cross water safety instructor, also. Water safety instructor exam study guide. Instructions,. Water Safety Instructor Test Questions.
From studylib.net
Water Operator Safety Questions Water Safety Instructor Test Questions Information on the water safety instructor (wsi) certification exam, including questions and answers related to recognizing stages of learning, maintaining certification, the. • successfully complete the water safety instructor online course. Welcome to your american red cross water safety instructor, also. Each practice exam consists of 100 questions, which test the operator's knowledge of water treatment concepts and ability to. Water Safety Instructor Test Questions.
From www.teachingexpertise.com
19 Wonderful Water Safety Activities For Little Learners Teaching Water Safety Instructor Test Questions • successfully complete the water safety instructor online course. Water safety instructor exam study guide. Welcome to your american red cross water safety instructor, also. To receive a wsi certificate, you must: Instructions, course materials and resources for use during your instructor course. Each practice exam consists of 100 questions, which test the operator's knowledge of water treatment concepts and. Water Safety Instructor Test Questions.
From theaquaticconnection.com
Water Safety Instructor Training THE AQUATIC CONNECTION Water Safety Instructor Test Questions Study with quizlet and memorize flashcards containing terms like what is the basic water rescue course and whats required to pass it?, what. Instructions, course materials and resources for use during your instructor course. • successfully complete the water safety instructor online course. Each practice exam consists of 100 questions, which test the operator's knowledge of water treatment concepts and. Water Safety Instructor Test Questions.
From www.docsity.com
Water Safety Instructor Exam 2024 Questions and Answers (Graded A Water Safety Instructor Test Questions The text, american red cross swimming and water safety, is available online for a free download digital. Instructions, course materials and resources for use during your instructor course. To receive a wsi certificate, you must: Information on the water safety instructor (wsi) certification exam, including questions and answers related to recognizing stages of learning, maintaining certification, the. Water safety instructor. Water Safety Instructor Test Questions.
From view.publitas.com
My publications Water Safety Instructor Course Information Page 1 Water Safety Instructor Test Questions Welcome to your american red cross water safety instructor, also. Instructions, course materials and resources for use during your instructor course. Each practice exam consists of 100 questions, which test the operator's knowledge of water treatment concepts and ability to solve relevant math. Information on the water safety instructor (wsi) certification exam, including questions and answers related to recognizing stages. Water Safety Instructor Test Questions.
From www.slideserve.com
PPT AWSI Course (Assistant Water Safety Instructor Course) Learn to Water Safety Instructor Test Questions Each practice exam consists of 100 questions, which test the operator's knowledge of water treatment concepts and ability to solve relevant math. Instructions, course materials and resources for use during your instructor course. What does a water safety instructor need to do before they are elgible to teach safety training for swim coaches? Study with quizlet and memorize flashcards containing. Water Safety Instructor Test Questions.
From www.stuvia.com
Water Safety Instructor Study Guide with Complete Solutions Water Water Safety Instructor Test Questions Welcome to your american red cross water safety instructor, also. • successfully complete the water safety instructor online course. Information on the water safety instructor (wsi) certification exam, including questions and answers related to recognizing stages of learning, maintaining certification, the. What does a water safety instructor need to do before they are elgible to teach safety training for swim. Water Safety Instructor Test Questions.
From www.stuvia.com
Red Cross W.S.I (Water Safety Instructor) Test Review Latest 2023 / Water Safety Instructor Test Questions What does a water safety instructor need to do before they are elgible to teach safety training for swim coaches? • successfully complete the water safety instructor online course. Welcome to your american red cross water safety instructor, also. To receive a wsi certificate, you must: Instructions, course materials and resources for use during your instructor course. Water safety instructor. Water Safety Instructor Test Questions.
From www.youtube.com
5 Common Questions on Water Treatment Operator Certification Exam YouTube Water Safety Instructor Test Questions The text, american red cross swimming and water safety, is available online for a free download digital. Each practice exam consists of 100 questions, which test the operator's knowledge of water treatment concepts and ability to solve relevant math. • successfully complete the water safety instructor online course. Information on the water safety instructor (wsi) certification exam, including questions and. Water Safety Instructor Test Questions.
From sharkfins.nova.edu
Register for the Water Safety Instructor Course NSU SharkFINS Water Safety Instructor Test Questions The text, american red cross swimming and water safety, is available online for a free download digital. • successfully complete the water safety instructor online course. Information on the water safety instructor (wsi) certification exam, including questions and answers related to recognizing stages of learning, maintaining certification, the. To receive a wsi certificate, you must: Instructions, course materials and resources. Water Safety Instructor Test Questions.
From printablestrenuo87.z22.web.core.windows.net
Servsafe Manager Study Guide Printable Water Safety Instructor Test Questions Instructions, course materials and resources for use during your instructor course. What does a water safety instructor need to do before they are elgible to teach safety training for swim coaches? Study with quizlet and memorize flashcards containing terms like what is the basic water rescue course and whats required to pass it?, what. Each practice exam consists of 100. Water Safety Instructor Test Questions.
From studylib.net
practicetestwater Water Safety Instructor Test Questions What does a water safety instructor need to do before they are elgible to teach safety training for swim coaches? Study with quizlet and memorize flashcards containing terms like what is the basic water rescue course and whats required to pass it?, what. Each practice exam consists of 100 questions, which test the operator's knowledge of water treatment concepts and. Water Safety Instructor Test Questions.
From www.youtube.com
Water Safety Planning (WSP) Auditing training Day 2 YouTube Water Safety Instructor Test Questions Welcome to your american red cross water safety instructor, also. To receive a wsi certificate, you must: The text, american red cross swimming and water safety, is available online for a free download digital. What does a water safety instructor need to do before they are elgible to teach safety training for swim coaches? Instructions, course materials and resources for. Water Safety Instructor Test Questions.
From www.studypool.com
SOLUTION Ssi open water final exam questions and answers 100 Studypool Water Safety Instructor Test Questions What does a water safety instructor need to do before they are elgible to teach safety training for swim coaches? Information on the water safety instructor (wsi) certification exam, including questions and answers related to recognizing stages of learning, maintaining certification, the. Welcome to your american red cross water safety instructor, also. • successfully complete the water safety instructor online. Water Safety Instructor Test Questions.
From www.stuvia.com
Water Safety Instructor 60 Questions with 100 Correct Answers Water Safety Instructor Test Questions • successfully complete the water safety instructor online course. The text, american red cross swimming and water safety, is available online for a free download digital. What does a water safety instructor need to do before they are elgible to teach safety training for swim coaches? Information on the water safety instructor (wsi) certification exam, including questions and answers related. Water Safety Instructor Test Questions.
From www.etsy.com
Swim Lesson Checklist Lesson Plan Beginner Level 1 Swimming 5 and up Water Safety Instructor Test Questions Water safety instructor exam study guide. • successfully complete the water safety instructor online course. Welcome to your american red cross water safety instructor, also. Study with quizlet and memorize flashcards containing terms like what is the basic water rescue course and whats required to pass it?, what. To receive a wsi certificate, you must: Information on the water safety. Water Safety Instructor Test Questions.
From practicetestgeeks.com
WSIWaterSafetyInstructorTest Practice Test Geeks Water Safety Instructor Test Questions Instructions, course materials and resources for use during your instructor course. Information on the water safety instructor (wsi) certification exam, including questions and answers related to recognizing stages of learning, maintaining certification, the. What does a water safety instructor need to do before they are elgible to teach safety training for swim coaches? Welcome to your american red cross water. Water Safety Instructor Test Questions.
From www.stjames.k12.mn.us
Water Safety Instructor Training Northside Elementary School Water Safety Instructor Test Questions Study with quizlet and memorize flashcards containing terms like what is the basic water rescue course and whats required to pass it?, what. • successfully complete the water safety instructor online course. What does a water safety instructor need to do before they are elgible to teach safety training for swim coaches? The text, american red cross swimming and water. Water Safety Instructor Test Questions.
From patch.com
Water Safety Instructor Certification Course Patchogue, NY Patch Water Safety Instructor Test Questions What does a water safety instructor need to do before they are elgible to teach safety training for swim coaches? • successfully complete the water safety instructor online course. Instructions, course materials and resources for use during your instructor course. Water safety instructor exam study guide. Information on the water safety instructor (wsi) certification exam, including questions and answers related. Water Safety Instructor Test Questions.