Virginia Circuit Court Subpoena Duces Tecum . The undersigned hereby certifies that a true and correct copy of this application for issuance of a subpoena dues tecum was mailed or delivered to all counsel of record and to parties. In any criminal case a subpoena duces tecum may be issued by the attorney of record who is an active member of the virginia state bar at the. Download and print a subpoena duces tecum form for criminal cases in virginia courts. Learn how to serve, return, and object to this process with. A form for attorneys to issue a subpoena duces tecum in civil cases in virginia courts. The form includes instructions for serving, returning, and. You or someone acting in your. You are commanded to serve this subpoena duces tecum on the custodian. A judge or clerk of a district court may issue a subpoena duces tecum pursuant to the terms of rule 4:9a of the rules of the.
from www.signnow.com
A form for attorneys to issue a subpoena duces tecum in civil cases in virginia courts. Download and print a subpoena duces tecum form for criminal cases in virginia courts. You are commanded to serve this subpoena duces tecum on the custodian. A judge or clerk of a district court may issue a subpoena duces tecum pursuant to the terms of rule 4:9a of the rules of the. The form includes instructions for serving, returning, and. The undersigned hereby certifies that a true and correct copy of this application for issuance of a subpoena dues tecum was mailed or delivered to all counsel of record and to parties. You or someone acting in your. In any criminal case a subpoena duces tecum may be issued by the attorney of record who is an active member of the virginia state bar at the. Learn how to serve, return, and object to this process with.
Va Subpoena Duces Tecum Complete with ease airSlate SignNow
Virginia Circuit Court Subpoena Duces Tecum You or someone acting in your. You are commanded to serve this subpoena duces tecum on the custodian. In any criminal case a subpoena duces tecum may be issued by the attorney of record who is an active member of the virginia state bar at the. The undersigned hereby certifies that a true and correct copy of this application for issuance of a subpoena dues tecum was mailed or delivered to all counsel of record and to parties. A judge or clerk of a district court may issue a subpoena duces tecum pursuant to the terms of rule 4:9a of the rules of the. Download and print a subpoena duces tecum form for criminal cases in virginia courts. The form includes instructions for serving, returning, and. Learn how to serve, return, and object to this process with. You or someone acting in your. A form for attorneys to issue a subpoena duces tecum in civil cases in virginia courts.
From www.pdffiller.com
Fillable Online Virginia Circuit Court Subpoena Duces Tecum Form Virginia Circuit Court Subpoena Duces Tecum You are commanded to serve this subpoena duces tecum on the custodian. The form includes instructions for serving, returning, and. A judge or clerk of a district court may issue a subpoena duces tecum pursuant to the terms of rule 4:9a of the rules of the. A form for attorneys to issue a subpoena duces tecum in civil cases in. Virginia Circuit Court Subpoena Duces Tecum.
From www.signnow.com
Va Subpoena Duces Tecum Complete with ease airSlate SignNow Virginia Circuit Court Subpoena Duces Tecum The undersigned hereby certifies that a true and correct copy of this application for issuance of a subpoena dues tecum was mailed or delivered to all counsel of record and to parties. The form includes instructions for serving, returning, and. In any criminal case a subpoena duces tecum may be issued by the attorney of record who is an active. Virginia Circuit Court Subpoena Duces Tecum.
From www.scribd.com
SubpoenaHSBC Montgomery PDF Subpoena Duces Tecum Virginia Circuit Virginia Circuit Court Subpoena Duces Tecum You or someone acting in your. A judge or clerk of a district court may issue a subpoena duces tecum pursuant to the terms of rule 4:9a of the rules of the. Download and print a subpoena duces tecum form for criminal cases in virginia courts. You are commanded to serve this subpoena duces tecum on the custodian. In any. Virginia Circuit Court Subpoena Duces Tecum.
From www.uslegalforms.com
OR Civil Subpoena Duces Tecum Complete Legal Document Online US Virginia Circuit Court Subpoena Duces Tecum You or someone acting in your. In any criminal case a subpoena duces tecum may be issued by the attorney of record who is an active member of the virginia state bar at the. A form for attorneys to issue a subpoena duces tecum in civil cases in virginia courts. The form includes instructions for serving, returning, and. The undersigned. Virginia Circuit Court Subpoena Duces Tecum.
From www.uslegalforms.com
Subpoena Duces Tecum For Deposition Federal Court US Legal Forms Virginia Circuit Court Subpoena Duces Tecum The form includes instructions for serving, returning, and. The undersigned hereby certifies that a true and correct copy of this application for issuance of a subpoena dues tecum was mailed or delivered to all counsel of record and to parties. Learn how to serve, return, and object to this process with. In any criminal case a subpoena duces tecum may. Virginia Circuit Court Subpoena Duces Tecum.
From www.dochub.com
Virginia subpoena duces tecum form Fill out & sign online DocHub Virginia Circuit Court Subpoena Duces Tecum In any criminal case a subpoena duces tecum may be issued by the attorney of record who is an active member of the virginia state bar at the. You are commanded to serve this subpoena duces tecum on the custodian. Download and print a subpoena duces tecum form for criminal cases in virginia courts. Learn how to serve, return, and. Virginia Circuit Court Subpoena Duces Tecum.
From www.templateroller.com
Download Instructions for Form DC336 Subpoena Duces Tecum PDF Virginia Circuit Court Subpoena Duces Tecum In any criminal case a subpoena duces tecum may be issued by the attorney of record who is an active member of the virginia state bar at the. You are commanded to serve this subpoena duces tecum on the custodian. Download and print a subpoena duces tecum form for criminal cases in virginia courts. Learn how to serve, return, and. Virginia Circuit Court Subpoena Duces Tecum.
From www.uslegalforms.com
Virginia Notice to Health Care Entities Subpoena Duces Tecum for Virginia Circuit Court Subpoena Duces Tecum The undersigned hereby certifies that a true and correct copy of this application for issuance of a subpoena dues tecum was mailed or delivered to all counsel of record and to parties. Learn how to serve, return, and object to this process with. Download and print a subpoena duces tecum form for criminal cases in virginia courts. A judge or. Virginia Circuit Court Subpoena Duces Tecum.
From www.uslegalforms.com
FL Subpoena Duces Tecum for Deposition 20102021 Complete Legal Virginia Circuit Court Subpoena Duces Tecum A form for attorneys to issue a subpoena duces tecum in civil cases in virginia courts. The form includes instructions for serving, returning, and. A judge or clerk of a district court may issue a subpoena duces tecum pursuant to the terms of rule 4:9a of the rules of the. You or someone acting in your. Download and print a. Virginia Circuit Court Subpoena Duces Tecum.
From www.templateroller.com
Virginia Subpoena Duces Tecum (Civil) Attorney Issued Fill Out Virginia Circuit Court Subpoena Duces Tecum Learn how to serve, return, and object to this process with. You or someone acting in your. You are commanded to serve this subpoena duces tecum on the custodian. Download and print a subpoena duces tecum form for criminal cases in virginia courts. In any criminal case a subpoena duces tecum may be issued by the attorney of record who. Virginia Circuit Court Subpoena Duces Tecum.
From www.uslegalforms.com
Notice to Take Deposition Subpoena Duces Tecum Subpoena Tecum Form Virginia Circuit Court Subpoena Duces Tecum A judge or clerk of a district court may issue a subpoena duces tecum pursuant to the terms of rule 4:9a of the rules of the. The form includes instructions for serving, returning, and. A form for attorneys to issue a subpoena duces tecum in civil cases in virginia courts. Learn how to serve, return, and object to this process. Virginia Circuit Court Subpoena Duces Tecum.
From www.templateroller.com
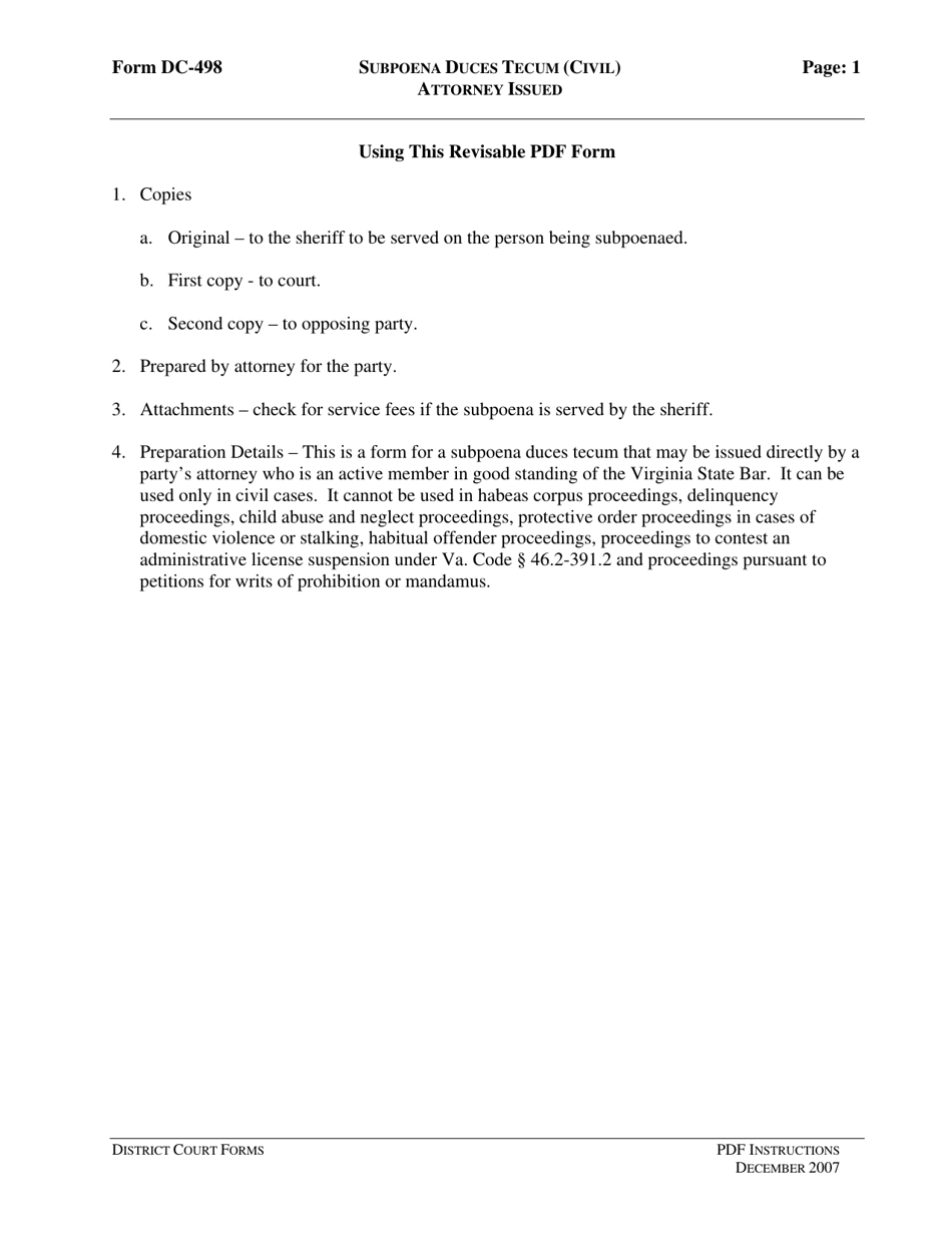
Form DC498 Download Fillable PDF or Fill Online Subpoena Duces Tecum Virginia Circuit Court Subpoena Duces Tecum The form includes instructions for serving, returning, and. Learn how to serve, return, and object to this process with. You are commanded to serve this subpoena duces tecum on the custodian. Download and print a subpoena duces tecum form for criminal cases in virginia courts. You or someone acting in your. The undersigned hereby certifies that a true and correct. Virginia Circuit Court Subpoena Duces Tecum.
From www.tampaflduilawyer.com
Subpoena Duces Tecum at the DHSMV Formal Review Hearing Virginia Circuit Court Subpoena Duces Tecum Learn how to serve, return, and object to this process with. In any criminal case a subpoena duces tecum may be issued by the attorney of record who is an active member of the virginia state bar at the. A judge or clerk of a district court may issue a subpoena duces tecum pursuant to the terms of rule 4:9a. Virginia Circuit Court Subpoena Duces Tecum.
From www.uslegalforms.com
Fairfax Virginia Subpoena Duces Tecum US Legal Forms Virginia Circuit Court Subpoena Duces Tecum A form for attorneys to issue a subpoena duces tecum in civil cases in virginia courts. In any criminal case a subpoena duces tecum may be issued by the attorney of record who is an active member of the virginia state bar at the. Download and print a subpoena duces tecum form for criminal cases in virginia courts. A judge. Virginia Circuit Court Subpoena Duces Tecum.
From www.signnow.com
Va Subpoena Foreign Complete with ease airSlate SignNow Virginia Circuit Court Subpoena Duces Tecum The undersigned hereby certifies that a true and correct copy of this application for issuance of a subpoena dues tecum was mailed or delivered to all counsel of record and to parties. Learn how to serve, return, and object to this process with. The form includes instructions for serving, returning, and. You or someone acting in your. In any criminal. Virginia Circuit Court Subpoena Duces Tecum.
From www.uslegalforms.com
Virginia Subpoena Duces Tecum Subpoena Duces Tecum Virginia US Virginia Circuit Court Subpoena Duces Tecum Learn how to serve, return, and object to this process with. The form includes instructions for serving, returning, and. A judge or clerk of a district court may issue a subpoena duces tecum pursuant to the terms of rule 4:9a of the rules of the. You are commanded to serve this subpoena duces tecum on the custodian. You or someone. Virginia Circuit Court Subpoena Duces Tecum.
From www.uslegalforms.com
Subpoena Duces Tecum Injury For Trial US Legal Forms Virginia Circuit Court Subpoena Duces Tecum The undersigned hereby certifies that a true and correct copy of this application for issuance of a subpoena dues tecum was mailed or delivered to all counsel of record and to parties. The form includes instructions for serving, returning, and. A judge or clerk of a district court may issue a subpoena duces tecum pursuant to the terms of rule. Virginia Circuit Court Subpoena Duces Tecum.
From www.templateroller.com
Virginia Subpoena Duces Tecum (Civil) Attorney Issued Fill Out Virginia Circuit Court Subpoena Duces Tecum A form for attorneys to issue a subpoena duces tecum in civil cases in virginia courts. Download and print a subpoena duces tecum form for criminal cases in virginia courts. The form includes instructions for serving, returning, and. You or someone acting in your. In any criminal case a subpoena duces tecum may be issued by the attorney of record. Virginia Circuit Court Subpoena Duces Tecum.
From www.templateroller.com
Download Instructions for Form DC498 Subpoena Duces Tecum (Civil Virginia Circuit Court Subpoena Duces Tecum The form includes instructions for serving, returning, and. Download and print a subpoena duces tecum form for criminal cases in virginia courts. Learn how to serve, return, and object to this process with. A judge or clerk of a district court may issue a subpoena duces tecum pursuant to the terms of rule 4:9a of the rules of the. You. Virginia Circuit Court Subpoena Duces Tecum.
From www.templateroller.com
Download Instructions for Form CC1337 Subpoena Duces Tecum PDF Virginia Circuit Court Subpoena Duces Tecum The undersigned hereby certifies that a true and correct copy of this application for issuance of a subpoena dues tecum was mailed or delivered to all counsel of record and to parties. A form for attorneys to issue a subpoena duces tecum in civil cases in virginia courts. Learn how to serve, return, and object to this process with. Download. Virginia Circuit Court Subpoena Duces Tecum.
From www.bank2home.com
Fillable Subpoena Duces Tecum Printable Pdf Download Virginia Circuit Court Subpoena Duces Tecum You are commanded to serve this subpoena duces tecum on the custodian. In any criminal case a subpoena duces tecum may be issued by the attorney of record who is an active member of the virginia state bar at the. The form includes instructions for serving, returning, and. Learn how to serve, return, and object to this process with. A. Virginia Circuit Court Subpoena Duces Tecum.
From www.templateroller.com
Download Instructions for Form CC1337 Subpoena Duces Tecum PDF Virginia Circuit Court Subpoena Duces Tecum A judge or clerk of a district court may issue a subpoena duces tecum pursuant to the terms of rule 4:9a of the rules of the. Learn how to serve, return, and object to this process with. In any criminal case a subpoena duces tecum may be issued by the attorney of record who is an active member of the. Virginia Circuit Court Subpoena Duces Tecum.
From www.uslegalforms.com
Subpoena Duces Tecum Injury With Bring With You Under US Legal Forms Virginia Circuit Court Subpoena Duces Tecum In any criminal case a subpoena duces tecum may be issued by the attorney of record who is an active member of the virginia state bar at the. Download and print a subpoena duces tecum form for criminal cases in virginia courts. You are commanded to serve this subpoena duces tecum on the custodian. A form for attorneys to issue. Virginia Circuit Court Subpoena Duces Tecum.
From www.scribd.com
McRae v. Gilmer File I PDF Subpoena Duces Tecum Virginia Circuit Virginia Circuit Court Subpoena Duces Tecum You or someone acting in your. Download and print a subpoena duces tecum form for criminal cases in virginia courts. A judge or clerk of a district court may issue a subpoena duces tecum pursuant to the terms of rule 4:9a of the rules of the. You are commanded to serve this subpoena duces tecum on the custodian. Learn how. Virginia Circuit Court Subpoena Duces Tecum.
From www.templateroller.com
Download Instructions for Form DC498 Subpoena Duces Tecum (Civil Virginia Circuit Court Subpoena Duces Tecum In any criminal case a subpoena duces tecum may be issued by the attorney of record who is an active member of the virginia state bar at the. The form includes instructions for serving, returning, and. A judge or clerk of a district court may issue a subpoena duces tecum pursuant to the terms of rule 4:9a of the rules. Virginia Circuit Court Subpoena Duces Tecum.
From www.uslegalforms.com
Virginia Subpoena Duces Tecum Virginia Subpoena Duces Tecum US Virginia Circuit Court Subpoena Duces Tecum The form includes instructions for serving, returning, and. Learn how to serve, return, and object to this process with. A form for attorneys to issue a subpoena duces tecum in civil cases in virginia courts. Download and print a subpoena duces tecum form for criminal cases in virginia courts. In any criminal case a subpoena duces tecum may be issued. Virginia Circuit Court Subpoena Duces Tecum.
From www.templateroller.com
Download Instructions for Form CC1337 Subpoena Duces Tecum PDF Virginia Circuit Court Subpoena Duces Tecum The undersigned hereby certifies that a true and correct copy of this application for issuance of a subpoena dues tecum was mailed or delivered to all counsel of record and to parties. A form for attorneys to issue a subpoena duces tecum in civil cases in virginia courts. A judge or clerk of a district court may issue a subpoena. Virginia Circuit Court Subpoena Duces Tecum.
From www.uslegalforms.com
Virginia Subpoena Duces Tecum Virginia Subpoena Duces Tecum US Virginia Circuit Court Subpoena Duces Tecum A judge or clerk of a district court may issue a subpoena duces tecum pursuant to the terms of rule 4:9a of the rules of the. You are commanded to serve this subpoena duces tecum on the custodian. Learn how to serve, return, and object to this process with. The form includes instructions for serving, returning, and. In any criminal. Virginia Circuit Court Subpoena Duces Tecum.
From www.templateroller.com
Form DC498 Download Fillable PDF or Fill Online Subpoena Duces Tecum Virginia Circuit Court Subpoena Duces Tecum You or someone acting in your. The undersigned hereby certifies that a true and correct copy of this application for issuance of a subpoena dues tecum was mailed or delivered to all counsel of record and to parties. The form includes instructions for serving, returning, and. You are commanded to serve this subpoena duces tecum on the custodian. Learn how. Virginia Circuit Court Subpoena Duces Tecum.
From www.pdffiller.com
Fillable Online circuitclerk SUBPOENA / SUBPOENA DUCES TECUM Circuit Virginia Circuit Court Subpoena Duces Tecum You or someone acting in your. A form for attorneys to issue a subpoena duces tecum in civil cases in virginia courts. Download and print a subpoena duces tecum form for criminal cases in virginia courts. In any criminal case a subpoena duces tecum may be issued by the attorney of record who is an active member of the virginia. Virginia Circuit Court Subpoena Duces Tecum.
From www.dochub.com
23rd Circuit Court Subpoena Duces Tecum Fill out & sign online DocHub Virginia Circuit Court Subpoena Duces Tecum You or someone acting in your. The undersigned hereby certifies that a true and correct copy of this application for issuance of a subpoena dues tecum was mailed or delivered to all counsel of record and to parties. Download and print a subpoena duces tecum form for criminal cases in virginia courts. The form includes instructions for serving, returning, and.. Virginia Circuit Court Subpoena Duces Tecum.
From www.dochub.com
Subpoena duces tecum virginia Fill out & sign online DocHub Virginia Circuit Court Subpoena Duces Tecum In any criminal case a subpoena duces tecum may be issued by the attorney of record who is an active member of the virginia state bar at the. The undersigned hereby certifies that a true and correct copy of this application for issuance of a subpoena dues tecum was mailed or delivered to all counsel of record and to parties.. Virginia Circuit Court Subpoena Duces Tecum.
From www.templateroller.com
Download Instructions for Form CC1337 Subpoena Duces Tecum PDF Virginia Circuit Court Subpoena Duces Tecum A form for attorneys to issue a subpoena duces tecum in civil cases in virginia courts. A judge or clerk of a district court may issue a subpoena duces tecum pursuant to the terms of rule 4:9a of the rules of the. The undersigned hereby certifies that a true and correct copy of this application for issuance of a subpoena. Virginia Circuit Court Subpoena Duces Tecum.
From www.templateroller.com
Form DC336 Fill Out, Sign Online and Download Fillable PDF, Virginia Virginia Circuit Court Subpoena Duces Tecum A judge or clerk of a district court may issue a subpoena duces tecum pursuant to the terms of rule 4:9a of the rules of the. The undersigned hereby certifies that a true and correct copy of this application for issuance of a subpoena dues tecum was mailed or delivered to all counsel of record and to parties. You are. Virginia Circuit Court Subpoena Duces Tecum.
From www.templateroller.com
Download Instructions for Form DC336 Subpoena Duces Tecum PDF Virginia Circuit Court Subpoena Duces Tecum A judge or clerk of a district court may issue a subpoena duces tecum pursuant to the terms of rule 4:9a of the rules of the. In any criminal case a subpoena duces tecum may be issued by the attorney of record who is an active member of the virginia state bar at the. A form for attorneys to issue. Virginia Circuit Court Subpoena Duces Tecum.