Advantages Of Using Intercooler . Assuming equivalent efficiency levels, an air. let's look at a few benefits of having an intercooler in your vehicle: what are the primary benefits of intercoolers? Intercoolers cool down the compressed intake air, leading to increased air density and. boost your car's performance with our ultimate guide to intercoolers. a good aftermarket intercooler should be easy to get a hold of and aftermarket versions can be even better. these intercoolers essentially increase the density of the air entering the cylinders, creating more power as the. Learn how intercoolers can increase the power and efficiency.
from www.dieseltechmag.com
let's look at a few benefits of having an intercooler in your vehicle: boost your car's performance with our ultimate guide to intercoolers. a good aftermarket intercooler should be easy to get a hold of and aftermarket versions can be even better. these intercoolers essentially increase the density of the air entering the cylinders, creating more power as the. what are the primary benefits of intercoolers? Learn how intercoolers can increase the power and efficiency. Assuming equivalent efficiency levels, an air. Intercoolers cool down the compressed intake air, leading to increased air density and.
The Benefit Of An Intercooler DT Roundup Diesel Tech Magazine
Advantages Of Using Intercooler a good aftermarket intercooler should be easy to get a hold of and aftermarket versions can be even better. these intercoolers essentially increase the density of the air entering the cylinders, creating more power as the. Learn how intercoolers can increase the power and efficiency. boost your car's performance with our ultimate guide to intercoolers. a good aftermarket intercooler should be easy to get a hold of and aftermarket versions can be even better. let's look at a few benefits of having an intercooler in your vehicle: Intercoolers cool down the compressed intake air, leading to increased air density and. what are the primary benefits of intercoolers? Assuming equivalent efficiency levels, an air.
From dxocqsmix.blob.core.windows.net
Upgraded Intercooler Benefits at Elizabeth Estrada blog Advantages Of Using Intercooler Assuming equivalent efficiency levels, an air. let's look at a few benefits of having an intercooler in your vehicle: Learn how intercoolers can increase the power and efficiency. what are the primary benefits of intercoolers? Intercoolers cool down the compressed intake air, leading to increased air density and. a good aftermarket intercooler should be easy to get. Advantages Of Using Intercooler.
From www.dragzine.com
The Differences Between AirToAir and AirToWater Intercoolers Advantages Of Using Intercooler these intercoolers essentially increase the density of the air entering the cylinders, creating more power as the. what are the primary benefits of intercoolers? Assuming equivalent efficiency levels, an air. Learn how intercoolers can increase the power and efficiency. let's look at a few benefits of having an intercooler in your vehicle: a good aftermarket intercooler. Advantages Of Using Intercooler.
From www.youtube.com
How Does An Intercooler Work?? How Does It Generate Power? YouTube Advantages Of Using Intercooler Assuming equivalent efficiency levels, an air. let's look at a few benefits of having an intercooler in your vehicle: these intercoolers essentially increase the density of the air entering the cylinders, creating more power as the. a good aftermarket intercooler should be easy to get a hold of and aftermarket versions can be even better. what. Advantages Of Using Intercooler.
From www.drivingline.com
Intercoolers 101 A Turbocharged Engine’s Best Supporting Actor Advantages Of Using Intercooler Assuming equivalent efficiency levels, an air. Learn how intercoolers can increase the power and efficiency. a good aftermarket intercooler should be easy to get a hold of and aftermarket versions can be even better. these intercoolers essentially increase the density of the air entering the cylinders, creating more power as the. Intercoolers cool down the compressed intake air,. Advantages Of Using Intercooler.
From www.mrsheattransfer.com
Benefits of hiring a professional team to repair your vehicle’s Advantages Of Using Intercooler a good aftermarket intercooler should be easy to get a hold of and aftermarket versions can be even better. these intercoolers essentially increase the density of the air entering the cylinders, creating more power as the. Intercoolers cool down the compressed intake air, leading to increased air density and. boost your car's performance with our ultimate guide. Advantages Of Using Intercooler.
From www.tffn.net
How Does an Intercooler Work? Exploring the Benefits of Improved Advantages Of Using Intercooler Assuming equivalent efficiency levels, an air. boost your car's performance with our ultimate guide to intercoolers. let's look at a few benefits of having an intercooler in your vehicle: Intercoolers cool down the compressed intake air, leading to increased air density and. these intercoolers essentially increase the density of the air entering the cylinders, creating more power. Advantages Of Using Intercooler.
From www.electronicrepairegypt.com
The Ultimate Guide to Intercoolers Types Sizes Advantages ELECTRONIC Advantages Of Using Intercooler what are the primary benefits of intercoolers? let's look at a few benefits of having an intercooler in your vehicle: Assuming equivalent efficiency levels, an air. boost your car's performance with our ultimate guide to intercoolers. Learn how intercoolers can increase the power and efficiency. a good aftermarket intercooler should be easy to get a hold. Advantages Of Using Intercooler.
From www.wot.lu
WOT News Understanding the importance of the intercooler and its Advantages Of Using Intercooler let's look at a few benefits of having an intercooler in your vehicle: Learn how intercoolers can increase the power and efficiency. Intercoolers cool down the compressed intake air, leading to increased air density and. Assuming equivalent efficiency levels, an air. these intercoolers essentially increase the density of the air entering the cylinders, creating more power as the.. Advantages Of Using Intercooler.
From exozqmoed.blob.core.windows.net
Types Of Intercooler at Casey Williams blog Advantages Of Using Intercooler boost your car's performance with our ultimate guide to intercoolers. these intercoolers essentially increase the density of the air entering the cylinders, creating more power as the. Intercoolers cool down the compressed intake air, leading to increased air density and. what are the primary benefits of intercoolers? let's look at a few benefits of having an. Advantages Of Using Intercooler.
From www.drivingline.com
Intercoolers 101 A Turbocharged Engine’s Best Supporting Actor Advantages Of Using Intercooler these intercoolers essentially increase the density of the air entering the cylinders, creating more power as the. Intercoolers cool down the compressed intake air, leading to increased air density and. what are the primary benefits of intercoolers? boost your car's performance with our ultimate guide to intercoolers. Assuming equivalent efficiency levels, an air. let's look at. Advantages Of Using Intercooler.
From www.shopdap.com
Upgrading your Intercooler Articles Advantages Of Using Intercooler Intercoolers cool down the compressed intake air, leading to increased air density and. Assuming equivalent efficiency levels, an air. these intercoolers essentially increase the density of the air entering the cylinders, creating more power as the. what are the primary benefits of intercoolers? a good aftermarket intercooler should be easy to get a hold of and aftermarket. Advantages Of Using Intercooler.
From www.sekizsilindir.com
Intercooler nedir? Ne işe yarar? Turbo motorda nasıl çalışır? Advantages Of Using Intercooler what are the primary benefits of intercoolers? Learn how intercoolers can increase the power and efficiency. boost your car's performance with our ultimate guide to intercoolers. Assuming equivalent efficiency levels, an air. a good aftermarket intercooler should be easy to get a hold of and aftermarket versions can be even better. let's look at a few. Advantages Of Using Intercooler.
From landroverbar.com
Cooler and Faster The Benefits of Performance Intercoolers Sail & Joy Advantages Of Using Intercooler a good aftermarket intercooler should be easy to get a hold of and aftermarket versions can be even better. let's look at a few benefits of having an intercooler in your vehicle: what are the primary benefits of intercoolers? Learn how intercoolers can increase the power and efficiency. Intercoolers cool down the compressed intake air, leading to. Advantages Of Using Intercooler.
From dxocqsmix.blob.core.windows.net
Upgraded Intercooler Benefits at Elizabeth Estrada blog Advantages Of Using Intercooler what are the primary benefits of intercoolers? Intercoolers cool down the compressed intake air, leading to increased air density and. let's look at a few benefits of having an intercooler in your vehicle: boost your car's performance with our ultimate guide to intercoolers. Assuming equivalent efficiency levels, an air. Learn how intercoolers can increase the power and. Advantages Of Using Intercooler.
From dxooptxks.blob.core.windows.net
Intercooler Benefits at Adelina Hatchett blog Advantages Of Using Intercooler Learn how intercoolers can increase the power and efficiency. what are the primary benefits of intercoolers? boost your car's performance with our ultimate guide to intercoolers. Assuming equivalent efficiency levels, an air. Intercoolers cool down the compressed intake air, leading to increased air density and. let's look at a few benefits of having an intercooler in your. Advantages Of Using Intercooler.
From www.dragzine.com
SEMA 2015 C&R Intercoolers Unlock ColdAir Potential Advantages Of Using Intercooler Assuming equivalent efficiency levels, an air. Intercoolers cool down the compressed intake air, leading to increased air density and. what are the primary benefits of intercoolers? boost your car's performance with our ultimate guide to intercoolers. these intercoolers essentially increase the density of the air entering the cylinders, creating more power as the. a good aftermarket. Advantages Of Using Intercooler.
From www.e-konomista.pt
Intercooler o que é, para que serve e como funciona este componente? Advantages Of Using Intercooler Intercoolers cool down the compressed intake air, leading to increased air density and. these intercoolers essentially increase the density of the air entering the cylinders, creating more power as the. what are the primary benefits of intercoolers? Learn how intercoolers can increase the power and efficiency. boost your car's performance with our ultimate guide to intercoolers. . Advantages Of Using Intercooler.
From www.drivingline.com
Intercoolers 101 A Turbocharged Engine’s Best Supporting Actor Advantages Of Using Intercooler boost your car's performance with our ultimate guide to intercoolers. Assuming equivalent efficiency levels, an air. a good aftermarket intercooler should be easy to get a hold of and aftermarket versions can be even better. Intercoolers cool down the compressed intake air, leading to increased air density and. Learn how intercoolers can increase the power and efficiency. . Advantages Of Using Intercooler.
From www.youtube.com
How To Fit A Intercooler YouTube Advantages Of Using Intercooler these intercoolers essentially increase the density of the air entering the cylinders, creating more power as the. boost your car's performance with our ultimate guide to intercoolers. Learn how intercoolers can increase the power and efficiency. let's look at a few benefits of having an intercooler in your vehicle: a good aftermarket intercooler should be easy. Advantages Of Using Intercooler.
From www.tffn.net
How Does an Intercooler Work? Exploring the Benefits of Improved Advantages Of Using Intercooler Learn how intercoolers can increase the power and efficiency. a good aftermarket intercooler should be easy to get a hold of and aftermarket versions can be even better. Intercoolers cool down the compressed intake air, leading to increased air density and. let's look at a few benefits of having an intercooler in your vehicle: these intercoolers essentially. Advantages Of Using Intercooler.
From www.performancedieselintercoolers.com.au
Custom Front Mounted Intercoolers PDI Advantages Of Using Intercooler let's look at a few benefits of having an intercooler in your vehicle: these intercoolers essentially increase the density of the air entering the cylinders, creating more power as the. a good aftermarket intercooler should be easy to get a hold of and aftermarket versions can be even better. Intercoolers cool down the compressed intake air, leading. Advantages Of Using Intercooler.
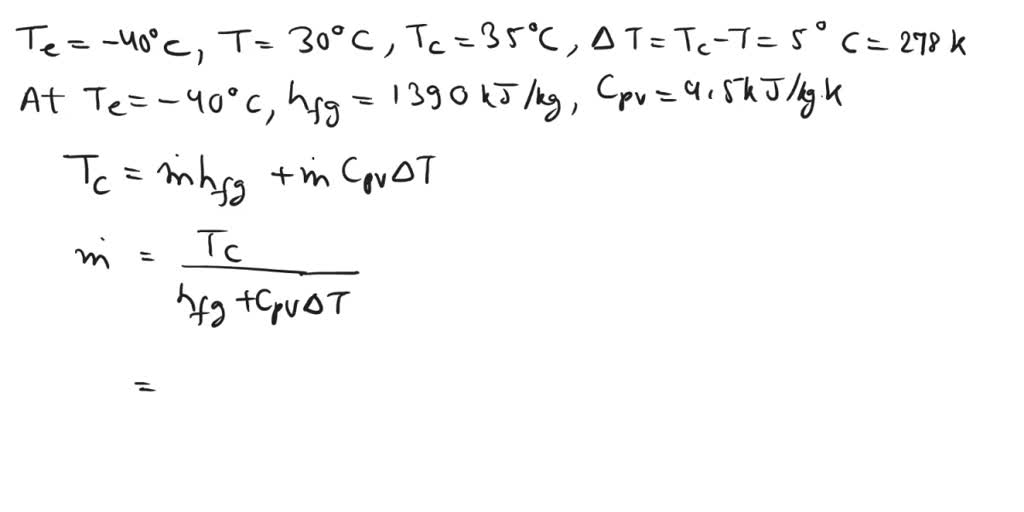
From www.numerade.com
SOLVED A twostage low temperature NH3 refrigeration plant with shell Advantages Of Using Intercooler these intercoolers essentially increase the density of the air entering the cylinders, creating more power as the. Assuming equivalent efficiency levels, an air. Intercoolers cool down the compressed intake air, leading to increased air density and. boost your car's performance with our ultimate guide to intercoolers. what are the primary benefits of intercoolers? a good aftermarket. Advantages Of Using Intercooler.
From www.hiwowsport.com
Intercooler Advantages Of Using Intercooler let's look at a few benefits of having an intercooler in your vehicle: a good aftermarket intercooler should be easy to get a hold of and aftermarket versions can be even better. what are the primary benefits of intercoolers? these intercoolers essentially increase the density of the air entering the cylinders, creating more power as the.. Advantages Of Using Intercooler.
From www.britpart.com
Performance intercooler Britpart Advantages Of Using Intercooler a good aftermarket intercooler should be easy to get a hold of and aftermarket versions can be even better. let's look at a few benefits of having an intercooler in your vehicle: Learn how intercoolers can increase the power and efficiency. Assuming equivalent efficiency levels, an air. Intercoolers cool down the compressed intake air, leading to increased air. Advantages Of Using Intercooler.
From trackdogracing.com
Air to Air Intercooler Kits for Miata MX5 Advantages Of Using Intercooler a good aftermarket intercooler should be easy to get a hold of and aftermarket versions can be even better. let's look at a few benefits of having an intercooler in your vehicle: Intercoolers cool down the compressed intake air, leading to increased air density and. Learn how intercoolers can increase the power and efficiency. boost your car's. Advantages Of Using Intercooler.
From www.youtube.com
The Differences Between AirtoAir and AirtoWater Intercoolers YouTube Advantages Of Using Intercooler Assuming equivalent efficiency levels, an air. a good aftermarket intercooler should be easy to get a hold of and aftermarket versions can be even better. let's look at a few benefits of having an intercooler in your vehicle: Intercoolers cool down the compressed intake air, leading to increased air density and. boost your car's performance with our. Advantages Of Using Intercooler.
From www.tffn.net
How Does an Intercooler Work? Exploring the Benefits of Improved Advantages Of Using Intercooler a good aftermarket intercooler should be easy to get a hold of and aftermarket versions can be even better. Assuming equivalent efficiency levels, an air. these intercoolers essentially increase the density of the air entering the cylinders, creating more power as the. what are the primary benefits of intercoolers? Intercoolers cool down the compressed intake air, leading. Advantages Of Using Intercooler.
From www.enginelabs.com
SEMA 2015 C&R Intercoolers Unlock ColdAir Potential Advantages Of Using Intercooler a good aftermarket intercooler should be easy to get a hold of and aftermarket versions can be even better. these intercoolers essentially increase the density of the air entering the cylinders, creating more power as the. boost your car's performance with our ultimate guide to intercoolers. let's look at a few benefits of having an intercooler. Advantages Of Using Intercooler.
From www.silvertonpinetown.co.za
All the intercooler knowledge you need to know Silverton Radiators Advantages Of Using Intercooler let's look at a few benefits of having an intercooler in your vehicle: a good aftermarket intercooler should be easy to get a hold of and aftermarket versions can be even better. boost your car's performance with our ultimate guide to intercoolers. these intercoolers essentially increase the density of the air entering the cylinders, creating more. Advantages Of Using Intercooler.
From mdmtool.com
Difference Between Intercooler And Aftercooler MDM Tool Supply Advantages Of Using Intercooler Assuming equivalent efficiency levels, an air. Learn how intercoolers can increase the power and efficiency. these intercoolers essentially increase the density of the air entering the cylinders, creating more power as the. a good aftermarket intercooler should be easy to get a hold of and aftermarket versions can be even better. Intercoolers cool down the compressed intake air,. Advantages Of Using Intercooler.
From 2sistersgarlic.com
The Impact of Oil in Intercoolers Benefits, Risks, and Solutions Advantages Of Using Intercooler Learn how intercoolers can increase the power and efficiency. boost your car's performance with our ultimate guide to intercoolers. let's look at a few benefits of having an intercooler in your vehicle: Assuming equivalent efficiency levels, an air. what are the primary benefits of intercoolers? these intercoolers essentially increase the density of the air entering the. Advantages Of Using Intercooler.
From ej-bowman.com
What is an Intercooler and how does it work? EJ Bowman Advantages Of Using Intercooler a good aftermarket intercooler should be easy to get a hold of and aftermarket versions can be even better. Intercoolers cool down the compressed intake air, leading to increased air density and. these intercoolers essentially increase the density of the air entering the cylinders, creating more power as the. Learn how intercoolers can increase the power and efficiency.. Advantages Of Using Intercooler.
From www.drivingline.com
Intercoolers 101 A Turbocharged Engine’s Best Supporting Actor Advantages Of Using Intercooler Assuming equivalent efficiency levels, an air. boost your car's performance with our ultimate guide to intercoolers. what are the primary benefits of intercoolers? Intercoolers cool down the compressed intake air, leading to increased air density and. Learn how intercoolers can increase the power and efficiency. these intercoolers essentially increase the density of the air entering the cylinders,. Advantages Of Using Intercooler.
From www.numerade.com
SOLVED A twostage low temperature NH3 refrigeration plant with shell Advantages Of Using Intercooler let's look at a few benefits of having an intercooler in your vehicle: a good aftermarket intercooler should be easy to get a hold of and aftermarket versions can be even better. boost your car's performance with our ultimate guide to intercoolers. Intercoolers cool down the compressed intake air, leading to increased air density and. Learn how. Advantages Of Using Intercooler.
From www.dieseltechmag.com
The Benefit Of An Intercooler DT Roundup Diesel Tech Magazine Advantages Of Using Intercooler these intercoolers essentially increase the density of the air entering the cylinders, creating more power as the. a good aftermarket intercooler should be easy to get a hold of and aftermarket versions can be even better. Assuming equivalent efficiency levels, an air. Intercoolers cool down the compressed intake air, leading to increased air density and. what are. Advantages Of Using Intercooler.