Calculate Speedometer Error . This tool will allow you to see how much your speedometer readings will. Calculate speedometer error when installing new tires on your vehicle. Learn how to calibrate your speedometer when adding larger tires. Our speedometer calibration calculator will get you the answer you are looking for. This tool calculates the speedo error in a car when the tyre size, diff ratio and/or speedo drive ratio are changed. The speedo error calculator is useful for anyone looking to change the size of the wheels on their car. Enter your distance traveled, indicated speed, and. It can also provide the old speedo. Find out how accurate your speedometer is so that you can know how fast you are really going. A speedometer error calculator is an invaluable tool used to determine the discrepancy between the actual speed of your vehicle and what is displayed on your speedometer after altering tire sizes. Enter your original tire size, your new tire size, and then. The calculator uses the dimensions of your original tires compared to the new ones to estimate the error in your speedometer’s reading. This tutorial aims to provide an understanding of speedometer calibration and the associated calculations and formulas based on stock tire. This calculator is designed to give information related to tire size changes and the general impact they have on the calibration of a.
from www.inchcalculator.com
This tool will allow you to see how much your speedometer readings will. Find out how accurate your speedometer is so that you can know how fast you are really going. Enter your distance traveled, indicated speed, and. Learn how to calibrate your speedometer when adding larger tires. This tool calculates the speedo error in a car when the tyre size, diff ratio and/or speedo drive ratio are changed. A speedometer error calculator is an invaluable tool used to determine the discrepancy between the actual speed of your vehicle and what is displayed on your speedometer after altering tire sizes. The speedo error calculator is useful for anyone looking to change the size of the wheels on their car. The calculator uses the dimensions of your original tires compared to the new ones to estimate the error in your speedometer’s reading. Our speedometer calibration calculator will get you the answer you are looking for. Calculate speedometer error when installing new tires on your vehicle.
Speedometer Error Calculator Inch Calculator
Calculate Speedometer Error The calculator uses the dimensions of your original tires compared to the new ones to estimate the error in your speedometer’s reading. Calculate speedometer error when installing new tires on your vehicle. This tool calculates the speedo error in a car when the tyre size, diff ratio and/or speedo drive ratio are changed. Our speedometer calibration calculator will get you the answer you are looking for. Enter your distance traveled, indicated speed, and. The calculator uses the dimensions of your original tires compared to the new ones to estimate the error in your speedometer’s reading. This tutorial aims to provide an understanding of speedometer calibration and the associated calculations and formulas based on stock tire. Enter your original tire size, your new tire size, and then. Find out how accurate your speedometer is so that you can know how fast you are really going. Learn how to calibrate your speedometer when adding larger tires. This tool will allow you to see how much your speedometer readings will. A speedometer error calculator is an invaluable tool used to determine the discrepancy between the actual speed of your vehicle and what is displayed on your speedometer after altering tire sizes. This calculator is designed to give information related to tire size changes and the general impact they have on the calibration of a. The speedo error calculator is useful for anyone looking to change the size of the wheels on their car. It can also provide the old speedo.
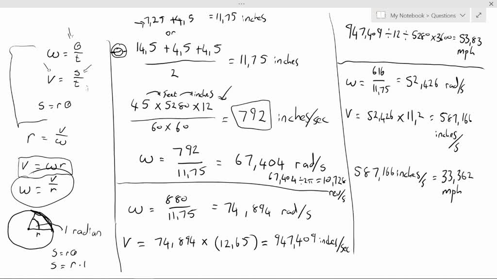
From www.gauthmath.com
Solved 3. A car’s speedometer reads 60 miles per hour. The error, E Calculate Speedometer Error This tutorial aims to provide an understanding of speedometer calibration and the associated calculations and formulas based on stock tire. Learn how to calibrate your speedometer when adding larger tires. The speedo error calculator is useful for anyone looking to change the size of the wheels on their car. It can also provide the old speedo. Enter your original tire. Calculate Speedometer Error.
From patschartee0183951.blogspot.com
Tire Size And Speedo Error Calculator Speedometer Gears Gary's Calculate Speedometer Error A speedometer error calculator is an invaluable tool used to determine the discrepancy between the actual speed of your vehicle and what is displayed on your speedometer after altering tire sizes. The calculator uses the dimensions of your original tires compared to the new ones to estimate the error in your speedometer’s reading. Find out how accurate your speedometer is. Calculate Speedometer Error.
From appsftw.com
Tire Size Calculator Wheel will fit, Speedometer Error Calculator Calculate Speedometer Error Learn how to calibrate your speedometer when adding larger tires. The speedo error calculator is useful for anyone looking to change the size of the wheels on their car. This tool calculates the speedo error in a car when the tyre size, diff ratio and/or speedo drive ratio are changed. This tool will allow you to see how much your. Calculate Speedometer Error.
From www.youtube.com
Ninja 300 speedometer error speedometer error in vehicles speedo Calculate Speedometer Error A speedometer error calculator is an invaluable tool used to determine the discrepancy between the actual speed of your vehicle and what is displayed on your speedometer after altering tire sizes. Our speedometer calibration calculator will get you the answer you are looking for. It can also provide the old speedo. Learn how to calibrate your speedometer when adding larger. Calculate Speedometer Error.
From www.roadkillimports.com
Tire Change / Speedometer Change Calculator Roadkill Imports Calculate Speedometer Error Our speedometer calibration calculator will get you the answer you are looking for. The speedo error calculator is useful for anyone looking to change the size of the wheels on their car. Learn how to calibrate your speedometer when adding larger tires. This calculator is designed to give information related to tire size changes and the general impact they have. Calculate Speedometer Error.
From www.wikihow.com
How to Calculate Relative Error 9 Steps (with Pictures) wikiHow Calculate Speedometer Error Learn how to calibrate your speedometer when adding larger tires. Find out how accurate your speedometer is so that you can know how fast you are really going. It can also provide the old speedo. This calculator is designed to give information related to tire size changes and the general impact they have on the calibration of a. This tool. Calculate Speedometer Error.
From www.seatcupra.net
Wheel sizes with tyre height for formentor. Calculate Speedometer Error Learn how to calibrate your speedometer when adding larger tires. This tool will allow you to see how much your speedometer readings will. This tutorial aims to provide an understanding of speedometer calibration and the associated calculations and formulas based on stock tire. Our speedometer calibration calculator will get you the answer you are looking for. Enter your distance traveled,. Calculate Speedometer Error.
From www.youtube.com
Fixing a Speedometer that’s not working YouTube Calculate Speedometer Error A speedometer error calculator is an invaluable tool used to determine the discrepancy between the actual speed of your vehicle and what is displayed on your speedometer after altering tire sizes. Find out how accurate your speedometer is so that you can know how fast you are really going. The speedo error calculator is useful for anyone looking to change. Calculate Speedometer Error.
From mbworld.org
Digital Speedometer problem Forums Calculate Speedometer Error Enter your distance traveled, indicated speed, and. Learn how to calibrate your speedometer when adding larger tires. Calculate speedometer error when installing new tires on your vehicle. It can also provide the old speedo. This tutorial aims to provide an understanding of speedometer calibration and the associated calculations and formulas based on stock tire. Find out how accurate your speedometer. Calculate Speedometer Error.
From omaytamala.blogspot.com
5+ Tire Size Speedometer Calculator OmayTamala Calculate Speedometer Error A speedometer error calculator is an invaluable tool used to determine the discrepancy between the actual speed of your vehicle and what is displayed on your speedometer after altering tire sizes. Find out how accurate your speedometer is so that you can know how fast you are really going. This tool calculates the speedo error in a car when the. Calculate Speedometer Error.
From www.ducati.ms
speedometer error Ducati.ms The Ultimate Ducati Forum Calculate Speedometer Error A speedometer error calculator is an invaluable tool used to determine the discrepancy between the actual speed of your vehicle and what is displayed on your speedometer after altering tire sizes. Learn how to calibrate your speedometer when adding larger tires. This tutorial aims to provide an understanding of speedometer calibration and the associated calculations and formulas based on stock. Calculate Speedometer Error.
From www.youtube.com
How to calculate your speedometer gear & rear axle ratio YouTube Calculate Speedometer Error A speedometer error calculator is an invaluable tool used to determine the discrepancy between the actual speed of your vehicle and what is displayed on your speedometer after altering tire sizes. It can also provide the old speedo. Our speedometer calibration calculator will get you the answer you are looking for. Learn how to calibrate your speedometer when adding larger. Calculate Speedometer Error.
From www.cam2vision.com
cam2vision Tech Compare 3D image processing Calculate Speedometer Error This tutorial aims to provide an understanding of speedometer calibration and the associated calculations and formulas based on stock tire. The speedo error calculator is useful for anyone looking to change the size of the wheels on their car. This tool will allow you to see how much your speedometer readings will. Our speedometer calibration calculator will get you the. Calculate Speedometer Error.
From www.youtube.com
Speedometer error YouTube Calculate Speedometer Error This tool calculates the speedo error in a car when the tyre size, diff ratio and/or speedo drive ratio are changed. Enter your distance traveled, indicated speed, and. Our speedometer calibration calculator will get you the answer you are looking for. The calculator uses the dimensions of your original tires compared to the new ones to estimate the error in. Calculate Speedometer Error.
From tiregrades.com
Do Bigger Tires Make Your Speedometer Faster Or Slower? (Calculator Calculate Speedometer Error This tool will allow you to see how much your speedometer readings will. Learn how to calibrate your speedometer when adding larger tires. The calculator uses the dimensions of your original tires compared to the new ones to estimate the error in your speedometer’s reading. Our speedometer calibration calculator will get you the answer you are looking for. Calculate speedometer. Calculate Speedometer Error.
From www.youtube.com
Speedometer error? YouTube Calculate Speedometer Error Enter your distance traveled, indicated speed, and. Enter your original tire size, your new tire size, and then. Find out how accurate your speedometer is so that you can know how fast you are really going. Learn how to calibrate your speedometer when adding larger tires. Our speedometer calibration calculator will get you the answer you are looking for. The. Calculate Speedometer Error.
From www.numerade.com
SOLVED The speedometer calculates speed by measuring the angular Calculate Speedometer Error This calculator is designed to give information related to tire size changes and the general impact they have on the calibration of a. Find out how accurate your speedometer is so that you can know how fast you are really going. Enter your distance traveled, indicated speed, and. The calculator uses the dimensions of your original tires compared to the. Calculate Speedometer Error.
From wheelsway.com
Speedometer Not Working on Scooter Fix the Issue with these Easy Steps Calculate Speedometer Error It can also provide the old speedo. Find out how accurate your speedometer is so that you can know how fast you are really going. This calculator is designed to give information related to tire size changes and the general impact they have on the calibration of a. Enter your original tire size, your new tire size, and then. This. Calculate Speedometer Error.
From dokumen.tips
(PDF) Speedometer, Gear Ratio, and Tire Size Calculator · TRANS01 Calculate Speedometer Error This tool will allow you to see how much your speedometer readings will. This tutorial aims to provide an understanding of speedometer calibration and the associated calculations and formulas based on stock tire. This tool calculates the speedo error in a car when the tyre size, diff ratio and/or speedo drive ratio are changed. This calculator is designed to give. Calculate Speedometer Error.
From www.youtube.com
How To Correct Odometer & Speedometer After Changing Wheel and / or Calculate Speedometer Error This tool calculates the speedo error in a car when the tyre size, diff ratio and/or speedo drive ratio are changed. Enter your original tire size, your new tire size, and then. Learn how to calibrate your speedometer when adding larger tires. A speedometer error calculator is an invaluable tool used to determine the discrepancy between the actual speed of. Calculate Speedometer Error.
From tiregrades.com
Do Bigger Tires Make Your Speedometer Faster Or Slower? (Calculator Calculate Speedometer Error A speedometer error calculator is an invaluable tool used to determine the discrepancy between the actual speed of your vehicle and what is displayed on your speedometer after altering tire sizes. Enter your original tire size, your new tire size, and then. This tool will allow you to see how much your speedometer readings will. The calculator uses the dimensions. Calculate Speedometer Error.
From fyojtqbyl.blob.core.windows.net
Speedometer Error at Jack Jones blog Calculate Speedometer Error This calculator is designed to give information related to tire size changes and the general impact they have on the calibration of a. Calculate speedometer error when installing new tires on your vehicle. A speedometer error calculator is an invaluable tool used to determine the discrepancy between the actual speed of your vehicle and what is displayed on your speedometer. Calculate Speedometer Error.
From offroadingpro.com
Speedometer Not Working Causes & How to Fix OffRoading Pro Calculate Speedometer Error This tool will allow you to see how much your speedometer readings will. The calculator uses the dimensions of your original tires compared to the new ones to estimate the error in your speedometer’s reading. Enter your original tire size, your new tire size, and then. The speedo error calculator is useful for anyone looking to change the size of. Calculate Speedometer Error.
From speedometeronline.app
Speedometer Online Realtime GPS Speedometer Checker in MPH, KPH, and m/s Calculate Speedometer Error Enter your original tire size, your new tire size, and then. It can also provide the old speedo. A speedometer error calculator is an invaluable tool used to determine the discrepancy between the actual speed of your vehicle and what is displayed on your speedometer after altering tire sizes. Calculate speedometer error when installing new tires on your vehicle. This. Calculate Speedometer Error.
From gioyfhipr.blob.core.windows.net
Speedometer Error With Larger Tires at John McGaughey blog Calculate Speedometer Error Find out how accurate your speedometer is so that you can know how fast you are really going. The calculator uses the dimensions of your original tires compared to the new ones to estimate the error in your speedometer’s reading. Enter your original tire size, your new tire size, and then. Our speedometer calibration calculator will get you the answer. Calculate Speedometer Error.
From www.inchcalculator.com
Speedometer Error Calculator Inch Calculator Calculate Speedometer Error Learn how to calibrate your speedometer when adding larger tires. Find out how accurate your speedometer is so that you can know how fast you are really going. The calculator uses the dimensions of your original tires compared to the new ones to estimate the error in your speedometer’s reading. A speedometer error calculator is an invaluable tool used to. Calculate Speedometer Error.
From www.jegs.com
Choosing The Correct Transmission Speedometer Gears & Calculator JEGS Calculate Speedometer Error Enter your original tire size, your new tire size, and then. This tutorial aims to provide an understanding of speedometer calibration and the associated calculations and formulas based on stock tire. Enter your distance traveled, indicated speed, and. A speedometer error calculator is an invaluable tool used to determine the discrepancy between the actual speed of your vehicle and what. Calculate Speedometer Error.
From www.pinterest.com
Tire Tech Information The Wheel Fitment, Tyre Stretch, Rolling Radius Calculate Speedometer Error It can also provide the old speedo. Calculate speedometer error when installing new tires on your vehicle. The calculator uses the dimensions of your original tires compared to the new ones to estimate the error in your speedometer’s reading. A speedometer error calculator is an invaluable tool used to determine the discrepancy between the actual speed of your vehicle and. Calculate Speedometer Error.
From autoily.com
Why My Speedometer Not Working? (11 Reasons Why) Calculate Speedometer Error A speedometer error calculator is an invaluable tool used to determine the discrepancy between the actual speed of your vehicle and what is displayed on your speedometer after altering tire sizes. Learn how to calibrate your speedometer when adding larger tires. This tool will allow you to see how much your speedometer readings will. The calculator uses the dimensions of. Calculate Speedometer Error.
From stock.adobe.com
Car speedometer and tachometer with error sensors, coolant temperature Calculate Speedometer Error This tutorial aims to provide an understanding of speedometer calibration and the associated calculations and formulas based on stock tire. This tool will allow you to see how much your speedometer readings will. Learn how to calibrate your speedometer when adding larger tires. Calculate speedometer error when installing new tires on your vehicle. This tool calculates the speedo error in. Calculate Speedometer Error.
From www.dreamstime.com
Measuring error level stock illustration. Illustration of computer Calculate Speedometer Error A speedometer error calculator is an invaluable tool used to determine the discrepancy between the actual speed of your vehicle and what is displayed on your speedometer after altering tire sizes. Enter your original tire size, your new tire size, and then. This tutorial aims to provide an understanding of speedometer calibration and the associated calculations and formulas based on. Calculate Speedometer Error.
From www.yotatech.com
Speedometer Error, 1990 2wd Pickup, Not sure why, Suggestions Calculate Speedometer Error This tool will allow you to see how much your speedometer readings will. The speedo error calculator is useful for anyone looking to change the size of the wheels on their car. This tutorial aims to provide an understanding of speedometer calibration and the associated calculations and formulas based on stock tire. It can also provide the old speedo. A. Calculate Speedometer Error.
From www.pinterest.com
TCI Speedometer Gear Calculator Car maintenance, Gears, Calculator Calculate Speedometer Error The speedo error calculator is useful for anyone looking to change the size of the wheels on their car. This tutorial aims to provide an understanding of speedometer calibration and the associated calculations and formulas based on stock tire. A speedometer error calculator is an invaluable tool used to determine the discrepancy between the actual speed of your vehicle and. Calculate Speedometer Error.
From upgradedvehicle.com
Speedometer and Gas Gauge Not Working Upgraded Vehicle Calculate Speedometer Error Enter your distance traveled, indicated speed, and. This tool will allow you to see how much your speedometer readings will. Our speedometer calibration calculator will get you the answer you are looking for. Enter your original tire size, your new tire size, and then. A speedometer error calculator is an invaluable tool used to determine the discrepancy between the actual. Calculate Speedometer Error.
From www.landcruiserforum.com
Tire Size Comparison Calculator check your speedometer error Calculate Speedometer Error Our speedometer calibration calculator will get you the answer you are looking for. The speedo error calculator is useful for anyone looking to change the size of the wheels on their car. Calculate speedometer error when installing new tires on your vehicle. This tool calculates the speedo error in a car when the tyre size, diff ratio and/or speedo drive. Calculate Speedometer Error.