Business Paper 1 Calculations . Gross profit = sales revenue − cost of sales. Study with quizlet and memorise flashcards containing terms like total costs (tc), total variable cost (tvc), profit and others. For example, a business produces. Study with quizlet and memorise flashcards containing terms like market size value, percentage change, percentage increase and others. Opening balance + net cash flow. Study with quizlet and memorize flashcards containing terms like total costs, revenue, break even point in units and more. In order to calculate gross profit, a business will use the following formula:
from www.caiebusiness.com
Study with quizlet and memorise flashcards containing terms like market size value, percentage change, percentage increase and others. Study with quizlet and memorize flashcards containing terms like total costs, revenue, break even point in units and more. In order to calculate gross profit, a business will use the following formula: Opening balance + net cash flow. For example, a business produces. Study with quizlet and memorise flashcards containing terms like total costs (tc), total variable cost (tvc), profit and others. Gross profit = sales revenue − cost of sales.
How to solve AS Business Paper 1 (CAIE 9609) Exam Answer Guide Ed's
Business Paper 1 Calculations Study with quizlet and memorise flashcards containing terms like market size value, percentage change, percentage increase and others. Opening balance + net cash flow. In order to calculate gross profit, a business will use the following formula: For example, a business produces. Study with quizlet and memorize flashcards containing terms like total costs, revenue, break even point in units and more. Study with quizlet and memorise flashcards containing terms like market size value, percentage change, percentage increase and others. Study with quizlet and memorise flashcards containing terms like total costs (tc), total variable cost (tvc), profit and others. Gross profit = sales revenue − cost of sales.
From www.stuvia.com
GCSE AQA May 2023 Business paper 1 Business Stuvia UK Business Paper 1 Calculations Study with quizlet and memorize flashcards containing terms like total costs, revenue, break even point in units and more. For example, a business produces. Gross profit = sales revenue − cost of sales. Opening balance + net cash flow. Study with quizlet and memorise flashcards containing terms like market size value, percentage change, percentage increase and others. Study with quizlet. Business Paper 1 Calculations.
From www.youtube.com
CSEC Principles of Business Paper 1 July 2021 YouTube Business Paper 1 Calculations In order to calculate gross profit, a business will use the following formula: Study with quizlet and memorise flashcards containing terms like market size value, percentage change, percentage increase and others. For example, a business produces. Opening balance + net cash flow. Study with quizlet and memorise flashcards containing terms like total costs (tc), total variable cost (tvc), profit and. Business Paper 1 Calculations.
From www.docsity.com
Aqa a level business paper 1 business 1 qp 2023.pdf Exams Philology Business Paper 1 Calculations Study with quizlet and memorize flashcards containing terms like total costs, revenue, break even point in units and more. Study with quizlet and memorise flashcards containing terms like market size value, percentage change, percentage increase and others. In order to calculate gross profit, a business will use the following formula: Opening balance + net cash flow. Gross profit = sales. Business Paper 1 Calculations.
From www.studocu.com
Business Paper 1 ASSIGNMENT KIJISET BUSINESS PAPER ONE MARKING Business Paper 1 Calculations Study with quizlet and memorise flashcards containing terms like market size value, percentage change, percentage increase and others. Opening balance + net cash flow. Gross profit = sales revenue − cost of sales. In order to calculate gross profit, a business will use the following formula: Study with quizlet and memorise flashcards containing terms like total costs (tc), total variable. Business Paper 1 Calculations.
From www.caiebusiness.com
How to solve AS Business Paper 1 (CAIE 9609) Exam Answer Guide Business Paper 1 Calculations Opening balance + net cash flow. Study with quizlet and memorise flashcards containing terms like total costs (tc), total variable cost (tvc), profit and others. Study with quizlet and memorize flashcards containing terms like total costs, revenue, break even point in units and more. For example, a business produces. In order to calculate gross profit, a business will use the. Business Paper 1 Calculations.
From www.scribd.com
Principles of Business Paper 1 2019 June.pdf Business Paper 1 Calculations Study with quizlet and memorize flashcards containing terms like total costs, revenue, break even point in units and more. In order to calculate gross profit, a business will use the following formula: Study with quizlet and memorise flashcards containing terms like market size value, percentage change, percentage increase and others. Gross profit = sales revenue − cost of sales. Opening. Business Paper 1 Calculations.
From www.stuvia.com
AQA Alevel BUSINESS Paper 1 Business 1 QUESTION PAPER 2023 Alevel Business Paper 1 Calculations Gross profit = sales revenue − cost of sales. In order to calculate gross profit, a business will use the following formula: Study with quizlet and memorise flashcards containing terms like market size value, percentage change, percentage increase and others. Study with quizlet and memorise flashcards containing terms like total costs (tc), total variable cost (tvc), profit and others. Opening. Business Paper 1 Calculations.
From www.scribd.com
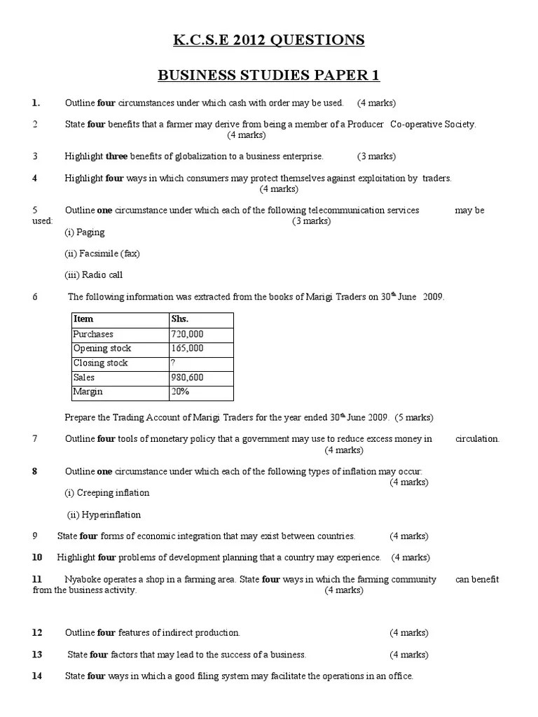
2012 Kcse Business Paper 1 PDF Trade Economies Business Paper 1 Calculations Opening balance + net cash flow. Study with quizlet and memorise flashcards containing terms like market size value, percentage change, percentage increase and others. For example, a business produces. Study with quizlet and memorize flashcards containing terms like total costs, revenue, break even point in units and more. In order to calculate gross profit, a business will use the following. Business Paper 1 Calculations.
From www.tes.com
GCSE Business Paper 1 Calculations Teaching Resources Business Paper 1 Calculations Opening balance + net cash flow. Study with quizlet and memorise flashcards containing terms like total costs (tc), total variable cost (tvc), profit and others. Gross profit = sales revenue − cost of sales. Study with quizlet and memorize flashcards containing terms like total costs, revenue, break even point in units and more. Study with quizlet and memorise flashcards containing. Business Paper 1 Calculations.
From webapi.bu.edu
😍 Business paper sample. Business paper. 20221016 Business Paper 1 Calculations In order to calculate gross profit, a business will use the following formula: Study with quizlet and memorize flashcards containing terms like total costs, revenue, break even point in units and more. For example, a business produces. Opening balance + net cash flow. Study with quizlet and memorise flashcards containing terms like market size value, percentage change, percentage increase and. Business Paper 1 Calculations.
From www.stuvia.com
AQA GCSE BUSINESS Paper 1 Influences of operations and HRM on business Business Paper 1 Calculations Gross profit = sales revenue − cost of sales. Opening balance + net cash flow. In order to calculate gross profit, a business will use the following formula: For example, a business produces. Study with quizlet and memorise flashcards containing terms like market size value, percentage change, percentage increase and others. Study with quizlet and memorise flashcards containing terms like. Business Paper 1 Calculations.
From www.studypool.com
SOLUTION Edexcel a level business paper 1 mark scheme june 2023 Business Paper 1 Calculations In order to calculate gross profit, a business will use the following formula: Gross profit = sales revenue − cost of sales. Opening balance + net cash flow. Study with quizlet and memorise flashcards containing terms like total costs (tc), total variable cost (tvc), profit and others. Study with quizlet and memorise flashcards containing terms like market size value, percentage. Business Paper 1 Calculations.
From www.youtube.com
2020 12 14 business paper 1 model questions and answers YouTube Business Paper 1 Calculations For example, a business produces. Opening balance + net cash flow. In order to calculate gross profit, a business will use the following formula: Study with quizlet and memorize flashcards containing terms like total costs, revenue, break even point in units and more. Study with quizlet and memorise flashcards containing terms like market size value, percentage change, percentage increase and. Business Paper 1 Calculations.
From www.youtube.com
Pearson Edexcel GCSE May 2019 Business Paper 1 Investigating Small Business Paper 1 Calculations Gross profit = sales revenue − cost of sales. Opening balance + net cash flow. Study with quizlet and memorize flashcards containing terms like total costs, revenue, break even point in units and more. Study with quizlet and memorise flashcards containing terms like total costs (tc), total variable cost (tvc), profit and others. In order to calculate gross profit, a. Business Paper 1 Calculations.
From browsegrades.net
GCSE BUSINESS Paper 1 Influences of operations and HRM on business activity Business Paper 1 Calculations Study with quizlet and memorise flashcards containing terms like market size value, percentage change, percentage increase and others. Gross profit = sales revenue − cost of sales. Study with quizlet and memorise flashcards containing terms like total costs (tc), total variable cost (tvc), profit and others. Opening balance + net cash flow. Study with quizlet and memorize flashcards containing terms. Business Paper 1 Calculations.
From www.stuvia.com
AQA A LEVEL BUSINESS PAPER 1 BUSINESS 1 QUESTION PAPER MAY 2023 AQA Business Paper 1 Calculations In order to calculate gross profit, a business will use the following formula: Study with quizlet and memorize flashcards containing terms like total costs, revenue, break even point in units and more. Study with quizlet and memorise flashcards containing terms like market size value, percentage change, percentage increase and others. Gross profit = sales revenue − cost of sales. For. Business Paper 1 Calculations.
From www.stuvia.com
AQA A LEVEL BUSINESS PAPER 1 BUSINESS 1 QUESTION PAPER and MARKSCHEME Business Paper 1 Calculations Opening balance + net cash flow. Study with quizlet and memorize flashcards containing terms like total costs, revenue, break even point in units and more. Gross profit = sales revenue − cost of sales. For example, a business produces. In order to calculate gross profit, a business will use the following formula: Study with quizlet and memorise flashcards containing terms. Business Paper 1 Calculations.
From exozulbnb.blob.core.windows.net
Business Paper 1 Questions And Answers 2020 Edexcel at Mitchell Nelson blog Business Paper 1 Calculations Gross profit = sales revenue − cost of sales. Study with quizlet and memorize flashcards containing terms like total costs, revenue, break even point in units and more. In order to calculate gross profit, a business will use the following formula: Opening balance + net cash flow. For example, a business produces. Study with quizlet and memorise flashcards containing terms. Business Paper 1 Calculations.
From www.docsity.com
GCSE Business Formula Sheet Exams Business Docsity Business Paper 1 Calculations Gross profit = sales revenue − cost of sales. Study with quizlet and memorise flashcards containing terms like total costs (tc), total variable cost (tvc), profit and others. For example, a business produces. Opening balance + net cash flow. Study with quizlet and memorize flashcards containing terms like total costs, revenue, break even point in units and more. Study with. Business Paper 1 Calculations.
From www.studypool.com
SOLUTION Edexcel a level business paper 1 mark scheme june 2023 Business Paper 1 Calculations For example, a business produces. Opening balance + net cash flow. Study with quizlet and memorize flashcards containing terms like total costs, revenue, break even point in units and more. Study with quizlet and memorise flashcards containing terms like total costs (tc), total variable cost (tvc), profit and others. Gross profit = sales revenue − cost of sales. In order. Business Paper 1 Calculations.
From www.youtube.com
AS Business Paper 1 Section B Essay Question Selection [CAIE Updated Business Paper 1 Calculations Study with quizlet and memorise flashcards containing terms like total costs (tc), total variable cost (tvc), profit and others. In order to calculate gross profit, a business will use the following formula: For example, a business produces. Opening balance + net cash flow. Study with quizlet and memorise flashcards containing terms like market size value, percentage change, percentage increase and. Business Paper 1 Calculations.
From studylib.net
Business paper 1 mark scheme Business Paper 1 Calculations Gross profit = sales revenue − cost of sales. Study with quizlet and memorise flashcards containing terms like market size value, percentage change, percentage increase and others. In order to calculate gross profit, a business will use the following formula: Study with quizlet and memorise flashcards containing terms like total costs (tc), total variable cost (tvc), profit and others. Opening. Business Paper 1 Calculations.
From www.businesser.net
Edexcel A Level Business Calculation Practice Book Answers businesser Business Paper 1 Calculations Study with quizlet and memorise flashcards containing terms like market size value, percentage change, percentage increase and others. Study with quizlet and memorise flashcards containing terms like total costs (tc), total variable cost (tvc), profit and others. Study with quizlet and memorize flashcards containing terms like total costs, revenue, break even point in units and more. For example, a business. Business Paper 1 Calculations.
From www.youtube.com
QUICK GUIDE TO PAPER 1 (GCSE BUSINESS 91 Pearson/Edexcel) YouTube Business Paper 1 Calculations Gross profit = sales revenue − cost of sales. Study with quizlet and memorize flashcards containing terms like total costs, revenue, break even point in units and more. Study with quizlet and memorise flashcards containing terms like total costs (tc), total variable cost (tvc), profit and others. Study with quizlet and memorise flashcards containing terms like market size value, percentage. Business Paper 1 Calculations.
From www.youtube.com
GCSE Business Paper 1 Calculate question revision YouTube Business Paper 1 Calculations For example, a business produces. Study with quizlet and memorise flashcards containing terms like total costs (tc), total variable cost (tvc), profit and others. Study with quizlet and memorise flashcards containing terms like market size value, percentage change, percentage increase and others. Gross profit = sales revenue − cost of sales. Study with quizlet and memorize flashcards containing terms like. Business Paper 1 Calculations.
From www.youtube.com
AQA GCSE Business Paper 1 & 2 Tips and Techniques YouTube Business Paper 1 Calculations In order to calculate gross profit, a business will use the following formula: Opening balance + net cash flow. Gross profit = sales revenue − cost of sales. For example, a business produces. Study with quizlet and memorise flashcards containing terms like market size value, percentage change, percentage increase and others. Study with quizlet and memorise flashcards containing terms like. Business Paper 1 Calculations.
From www.tes.com
Edexcel A Level Business Paper 1 Revision Notes Teaching Resources Business Paper 1 Calculations Study with quizlet and memorize flashcards containing terms like total costs, revenue, break even point in units and more. In order to calculate gross profit, a business will use the following formula: Study with quizlet and memorise flashcards containing terms like total costs (tc), total variable cost (tvc), profit and others. Study with quizlet and memorise flashcards containing terms like. Business Paper 1 Calculations.
From www.tes.com
A Level Business Paper 1 Revision Guide Teaching Resources Business Paper 1 Calculations Gross profit = sales revenue − cost of sales. Study with quizlet and memorize flashcards containing terms like total costs, revenue, break even point in units and more. Study with quizlet and memorise flashcards containing terms like total costs (tc), total variable cost (tvc), profit and others. In order to calculate gross profit, a business will use the following formula:. Business Paper 1 Calculations.
From www.stuvia.com
AQA GCSE BUSINESS Paper 1 QUESTION PAPER 2023 Influences of operations Business Paper 1 Calculations Study with quizlet and memorize flashcards containing terms like total costs, revenue, break even point in units and more. For example, a business produces. Study with quizlet and memorise flashcards containing terms like market size value, percentage change, percentage increase and others. Gross profit = sales revenue − cost of sales. Study with quizlet and memorise flashcards containing terms like. Business Paper 1 Calculations.
From www.tes.com
AQA GCSE Business Paper 1 Revision Quiz Teaching Resources Business Paper 1 Calculations Study with quizlet and memorize flashcards containing terms like total costs, revenue, break even point in units and more. Gross profit = sales revenue − cost of sales. Study with quizlet and memorise flashcards containing terms like total costs (tc), total variable cost (tvc), profit and others. Opening balance + net cash flow. For example, a business produces. In order. Business Paper 1 Calculations.
From www.youtube.com
Most Frequent GCSE Business Paper 1 Topics & Questions EDEXCEL GCSE Business Paper 1 Calculations Opening balance + net cash flow. Study with quizlet and memorize flashcards containing terms like total costs, revenue, break even point in units and more. For example, a business produces. Gross profit = sales revenue − cost of sales. Study with quizlet and memorise flashcards containing terms like market size value, percentage change, percentage increase and others. In order to. Business Paper 1 Calculations.
From www.scribd.com
AS A Level 9609 Business Paper 1 PDF Business Paper 1 Calculations In order to calculate gross profit, a business will use the following formula: Study with quizlet and memorise flashcards containing terms like market size value, percentage change, percentage increase and others. Gross profit = sales revenue − cost of sales. For example, a business produces. Study with quizlet and memorize flashcards containing terms like total costs, revenue, break even point. Business Paper 1 Calculations.
From www.youtube.com
IGCSE BUSINESS PAPER 1 STRUCTURE 0450 YouTube Business Paper 1 Calculations Study with quizlet and memorise flashcards containing terms like total costs (tc), total variable cost (tvc), profit and others. For example, a business produces. Opening balance + net cash flow. Gross profit = sales revenue − cost of sales. Study with quizlet and memorize flashcards containing terms like total costs, revenue, break even point in units and more. In order. Business Paper 1 Calculations.
From exozulbnb.blob.core.windows.net
Business Paper 1 Questions And Answers 2020 Edexcel at Mitchell Nelson blog Business Paper 1 Calculations For example, a business produces. Study with quizlet and memorize flashcards containing terms like total costs, revenue, break even point in units and more. Gross profit = sales revenue − cost of sales. In order to calculate gross profit, a business will use the following formula: Study with quizlet and memorise flashcards containing terms like market size value, percentage change,. Business Paper 1 Calculations.
From www.caiebusiness.com
How to solve AS Business Paper 1 (CAIE 9609) Exam Answer Guide Ed's Business Paper 1 Calculations Study with quizlet and memorize flashcards containing terms like total costs, revenue, break even point in units and more. Study with quizlet and memorise flashcards containing terms like total costs (tc), total variable cost (tvc), profit and others. In order to calculate gross profit, a business will use the following formula: Opening balance + net cash flow. Study with quizlet. Business Paper 1 Calculations.