Phoenix Valve Manual . Since 1985, pharmaceutical companies, universities, hospitals, government research facilities, and. No maintenance on the valves means you don’t have to constantly measure flow, adjust dampers, or. Provide superior i/o and precision airflow control schemes where directional airflow is important. Precise, protective & proven airflow management. Phoenix controls can help improve your ventilation and air quality with our venturi valves and controllers. Valve controllers designed for pressurised spaces.
from www.slideshare.net
Phoenix controls can help improve your ventilation and air quality with our venturi valves and controllers. Valve controllers designed for pressurised spaces. Provide superior i/o and precision airflow control schemes where directional airflow is important. Since 1985, pharmaceutical companies, universities, hospitals, government research facilities, and. Precise, protective & proven airflow management. No maintenance on the valves means you don’t have to constantly measure flow, adjust dampers, or.
Phoenix controls
Phoenix Valve Manual Precise, protective & proven airflow management. No maintenance on the valves means you don’t have to constantly measure flow, adjust dampers, or. Since 1985, pharmaceutical companies, universities, hospitals, government research facilities, and. Phoenix controls can help improve your ventilation and air quality with our venturi valves and controllers. Provide superior i/o and precision airflow control schemes where directional airflow is important. Precise, protective & proven airflow management. Valve controllers designed for pressurised spaces.
From www.indiamart.com
Material SS 40 PHOENIX AUTOMATION VALVES GATE VALVE THRE WAY VALVE Phoenix Valve Manual Valve controllers designed for pressurised spaces. Phoenix controls can help improve your ventilation and air quality with our venturi valves and controllers. No maintenance on the valves means you don’t have to constantly measure flow, adjust dampers, or. Provide superior i/o and precision airflow control schemes where directional airflow is important. Since 1985, pharmaceutical companies, universities, hospitals, government research facilities,. Phoenix Valve Manual.
From phoenixcompactvalves.com
Phoenix Compact Valves are Fugitive Emissions approved Phoenix Valve Manual Since 1985, pharmaceutical companies, universities, hospitals, government research facilities, and. Precise, protective & proven airflow management. Phoenix controls can help improve your ventilation and air quality with our venturi valves and controllers. No maintenance on the valves means you don’t have to constantly measure flow, adjust dampers, or. Provide superior i/o and precision airflow control schemes where directional airflow is. Phoenix Valve Manual.
From userlibniklas101.z19.web.core.windows.net
Phoenix Accel 2 Venturi Valve Manual Phoenix Valve Manual Phoenix controls can help improve your ventilation and air quality with our venturi valves and controllers. No maintenance on the valves means you don’t have to constantly measure flow, adjust dampers, or. Precise, protective & proven airflow management. Provide superior i/o and precision airflow control schemes where directional airflow is important. Since 1985, pharmaceutical companies, universities, hospitals, government research facilities,. Phoenix Valve Manual.
From www.xhval.com
Valve Markings, Ratings & Standards A Full Guide XHVAL Phoenix Valve Manual Provide superior i/o and precision airflow control schemes where directional airflow is important. Valve controllers designed for pressurised spaces. No maintenance on the valves means you don’t have to constantly measure flow, adjust dampers, or. Since 1985, pharmaceutical companies, universities, hospitals, government research facilities, and. Phoenix controls can help improve your ventilation and air quality with our venturi valves and. Phoenix Valve Manual.
From www.ebay.com
Phoenix Precision Soft Seat Needle Valve 3.25x1.25x4.5 10,000psi20/ Phoenix Valve Manual Provide superior i/o and precision airflow control schemes where directional airflow is important. No maintenance on the valves means you don’t have to constantly measure flow, adjust dampers, or. Phoenix controls can help improve your ventilation and air quality with our venturi valves and controllers. Since 1985, pharmaceutical companies, universities, hospitals, government research facilities, and. Precise, protective & proven airflow. Phoenix Valve Manual.
From bryancameryn.blogspot.com
8+ Phoenix Valves Pdf BryanCameryn Phoenix Valve Manual Provide superior i/o and precision airflow control schemes where directional airflow is important. Phoenix controls can help improve your ventilation and air quality with our venturi valves and controllers. No maintenance on the valves means you don’t have to constantly measure flow, adjust dampers, or. Precise, protective & proven airflow management. Valve controllers designed for pressurised spaces. Since 1985, pharmaceutical. Phoenix Valve Manual.
From www.scribd.com
Phoenix Valve Valve Mechanical Engineering Free 30day Trial Scribd Phoenix Valve Manual No maintenance on the valves means you don’t have to constantly measure flow, adjust dampers, or. Phoenix controls can help improve your ventilation and air quality with our venturi valves and controllers. Valve controllers designed for pressurised spaces. Since 1985, pharmaceutical companies, universities, hospitals, government research facilities, and. Precise, protective & proven airflow management. Provide superior i/o and precision airflow. Phoenix Valve Manual.
From www.indiamart.com
Material SS 40 PHOENIX AUTOMATION VALVES GATE VALVE THRE WAY VALVE Phoenix Valve Manual Phoenix controls can help improve your ventilation and air quality with our venturi valves and controllers. Provide superior i/o and precision airflow control schemes where directional airflow is important. No maintenance on the valves means you don’t have to constantly measure flow, adjust dampers, or. Precise, protective & proven airflow management. Since 1985, pharmaceutical companies, universities, hospitals, government research facilities,. Phoenix Valve Manual.
From www.e-phoenixent.com
VALVES Phoenix Enterprise Phoenix Valve Manual Valve controllers designed for pressurised spaces. Since 1985, pharmaceutical companies, universities, hospitals, government research facilities, and. Phoenix controls can help improve your ventilation and air quality with our venturi valves and controllers. Precise, protective & proven airflow management. No maintenance on the valves means you don’t have to constantly measure flow, adjust dampers, or. Provide superior i/o and precision airflow. Phoenix Valve Manual.
From www.slideshare.net
Rowland Hall Hvac Retrofit Phoenix Valve Manual Since 1985, pharmaceutical companies, universities, hospitals, government research facilities, and. Valve controllers designed for pressurised spaces. No maintenance on the valves means you don’t have to constantly measure flow, adjust dampers, or. Precise, protective & proven airflow management. Phoenix controls can help improve your ventilation and air quality with our venturi valves and controllers. Provide superior i/o and precision airflow. Phoenix Valve Manual.
From www.tivolisdesign.co.uk
Phoenix Traditional Straight Chrome Radiator Valves Phoenix Valve Manual Precise, protective & proven airflow management. Phoenix controls can help improve your ventilation and air quality with our venturi valves and controllers. Valve controllers designed for pressurised spaces. No maintenance on the valves means you don’t have to constantly measure flow, adjust dampers, or. Provide superior i/o and precision airflow control schemes where directional airflow is important. Since 1985, pharmaceutical. Phoenix Valve Manual.
From fyouewfko.blob.core.windows.net
Phoenix Valves Rep at Haywood Marshall blog Phoenix Valve Manual Provide superior i/o and precision airflow control schemes where directional airflow is important. Phoenix controls can help improve your ventilation and air quality with our venturi valves and controllers. Precise, protective & proven airflow management. Since 1985, pharmaceutical companies, universities, hospitals, government research facilities, and. Valve controllers designed for pressurised spaces. No maintenance on the valves means you don’t have. Phoenix Valve Manual.
From instructionswaterheater.blogspot.com
Water heater manual Microbore radiator valves twin entry Phoenix Valve Manual Phoenix controls can help improve your ventilation and air quality with our venturi valves and controllers. Provide superior i/o and precision airflow control schemes where directional airflow is important. No maintenance on the valves means you don’t have to constantly measure flow, adjust dampers, or. Since 1985, pharmaceutical companies, universities, hospitals, government research facilities, and. Valve controllers designed for pressurised. Phoenix Valve Manual.
From www.phoenixent.cc
Reduced Port Ball Valve Phoenix Enterprise Phoenix Valve Manual Phoenix controls can help improve your ventilation and air quality with our venturi valves and controllers. No maintenance on the valves means you don’t have to constantly measure flow, adjust dampers, or. Valve controllers designed for pressurised spaces. Provide superior i/o and precision airflow control schemes where directional airflow is important. Precise, protective & proven airflow management. Since 1985, pharmaceutical. Phoenix Valve Manual.
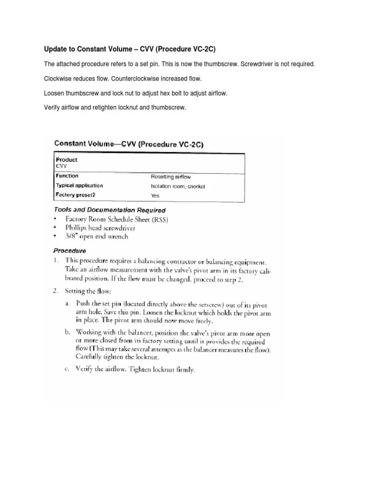
From www.scribd.com
Phoenix Valve CVV Calibration Procedure PDF Phoenix Valve Manual Phoenix controls can help improve your ventilation and air quality with our venturi valves and controllers. Precise, protective & proven airflow management. No maintenance on the valves means you don’t have to constantly measure flow, adjust dampers, or. Provide superior i/o and precision airflow control schemes where directional airflow is important. Since 1985, pharmaceutical companies, universities, hospitals, government research facilities,. Phoenix Valve Manual.
From www.qssupplies.co.uk
Object moved Phoenix Valve Manual No maintenance on the valves means you don’t have to constantly measure flow, adjust dampers, or. Since 1985, pharmaceutical companies, universities, hospitals, government research facilities, and. Valve controllers designed for pressurised spaces. Precise, protective & proven airflow management. Provide superior i/o and precision airflow control schemes where directional airflow is important. Phoenix controls can help improve your ventilation and air. Phoenix Valve Manual.
From www.slideshare.net
Phoenix controls Phoenix Valve Manual No maintenance on the valves means you don’t have to constantly measure flow, adjust dampers, or. Phoenix controls can help improve your ventilation and air quality with our venturi valves and controllers. Provide superior i/o and precision airflow control schemes where directional airflow is important. Precise, protective & proven airflow management. Valve controllers designed for pressurised spaces. Since 1985, pharmaceutical. Phoenix Valve Manual.
From www.tivolisdesign.co.uk
Phoenix Traditional Straight Chrome Radiator Valves Phoenix Valve Manual No maintenance on the valves means you don’t have to constantly measure flow, adjust dampers, or. Precise, protective & proven airflow management. Valve controllers designed for pressurised spaces. Since 1985, pharmaceutical companies, universities, hospitals, government research facilities, and. Phoenix controls can help improve your ventilation and air quality with our venturi valves and controllers. Provide superior i/o and precision airflow. Phoenix Valve Manual.
From fyouewfko.blob.core.windows.net
Phoenix Valves Rep at Haywood Marshall blog Phoenix Valve Manual Valve controllers designed for pressurised spaces. Provide superior i/o and precision airflow control schemes where directional airflow is important. Phoenix controls can help improve your ventilation and air quality with our venturi valves and controllers. No maintenance on the valves means you don’t have to constantly measure flow, adjust dampers, or. Precise, protective & proven airflow management. Since 1985, pharmaceutical. Phoenix Valve Manual.
From www.slideshare.net
Phoenix controls Phoenix Valve Manual Precise, protective & proven airflow management. No maintenance on the valves means you don’t have to constantly measure flow, adjust dampers, or. Phoenix controls can help improve your ventilation and air quality with our venturi valves and controllers. Since 1985, pharmaceutical companies, universities, hospitals, government research facilities, and. Provide superior i/o and precision airflow control schemes where directional airflow is. Phoenix Valve Manual.
From controlyourbuilding.com
Phoenix Air Valve & Infectious Diseases Control Solutions Inc. Phoenix Valve Manual Provide superior i/o and precision airflow control schemes where directional airflow is important. Since 1985, pharmaceutical companies, universities, hospitals, government research facilities, and. Precise, protective & proven airflow management. Phoenix controls can help improve your ventilation and air quality with our venturi valves and controllers. Valve controllers designed for pressurised spaces. No maintenance on the valves means you don’t have. Phoenix Valve Manual.
From www.buildings.honeywell.com
Theris Valves Phoenix Controls Phoenix Valve Manual Provide superior i/o and precision airflow control schemes where directional airflow is important. Phoenix controls can help improve your ventilation and air quality with our venturi valves and controllers. Since 1985, pharmaceutical companies, universities, hospitals, government research facilities, and. Precise, protective & proven airflow management. Valve controllers designed for pressurised spaces. No maintenance on the valves means you don’t have. Phoenix Valve Manual.
From schematicpartrothstein.z19.web.core.windows.net
Phoenix Valve Installation Manual Phoenix Valve Manual Phoenix controls can help improve your ventilation and air quality with our venturi valves and controllers. No maintenance on the valves means you don’t have to constantly measure flow, adjust dampers, or. Since 1985, pharmaceutical companies, universities, hospitals, government research facilities, and. Provide superior i/o and precision airflow control schemes where directional airflow is important. Valve controllers designed for pressurised. Phoenix Valve Manual.
From www.ukbathrooms.com
Phoenix Minimalist Angled Manual Radiator Valves UK Bathrooms Phoenix Valve Manual No maintenance on the valves means you don’t have to constantly measure flow, adjust dampers, or. Phoenix controls can help improve your ventilation and air quality with our venturi valves and controllers. Valve controllers designed for pressurised spaces. Provide superior i/o and precision airflow control schemes where directional airflow is important. Since 1985, pharmaceutical companies, universities, hospitals, government research facilities,. Phoenix Valve Manual.
From buildings.honeywell.com
Phoenix Controls Valves and Controllers Phoenix Valve Manual Provide superior i/o and precision airflow control schemes where directional airflow is important. Precise, protective & proven airflow management. Since 1985, pharmaceutical companies, universities, hospitals, government research facilities, and. Phoenix controls can help improve your ventilation and air quality with our venturi valves and controllers. No maintenance on the valves means you don’t have to constantly measure flow, adjust dampers,. Phoenix Valve Manual.
From www.phoenixent.cc
2PC Full Port Ball Valve Phoenix Enterprise Phoenix Valve Manual Phoenix controls can help improve your ventilation and air quality with our venturi valves and controllers. Since 1985, pharmaceutical companies, universities, hospitals, government research facilities, and. Valve controllers designed for pressurised spaces. Provide superior i/o and precision airflow control schemes where directional airflow is important. Precise, protective & proven airflow management. No maintenance on the valves means you don’t have. Phoenix Valve Manual.
From guidemanualrebecca.z21.web.core.windows.net
Phoenix Valve Installation Manual Phoenix Valve Manual Valve controllers designed for pressurised spaces. Phoenix controls can help improve your ventilation and air quality with our venturi valves and controllers. Provide superior i/o and precision airflow control schemes where directional airflow is important. No maintenance on the valves means you don’t have to constantly measure flow, adjust dampers, or. Precise, protective & proven airflow management. Since 1985, pharmaceutical. Phoenix Valve Manual.
From heaps.co.uk
Phönix Globe Valves Range Heap & Partners Phoenix Valve Manual Phoenix controls can help improve your ventilation and air quality with our venturi valves and controllers. Precise, protective & proven airflow management. Provide superior i/o and precision airflow control schemes where directional airflow is important. Since 1985, pharmaceutical companies, universities, hospitals, government research facilities, and. No maintenance on the valves means you don’t have to constantly measure flow, adjust dampers,. Phoenix Valve Manual.
From phoenixcompactvalves.com
Phoenix Compact Valves Compact Valves, Manifolds Phoenix Valve Manual Phoenix controls can help improve your ventilation and air quality with our venturi valves and controllers. Valve controllers designed for pressurised spaces. Provide superior i/o and precision airflow control schemes where directional airflow is important. Since 1985, pharmaceutical companies, universities, hospitals, government research facilities, and. No maintenance on the valves means you don’t have to constantly measure flow, adjust dampers,. Phoenix Valve Manual.
From www.indiamart.com
Material SS 40 PHOENIX AUTOMATION VALVES GATE VALVE THRE WAY VALVE Phoenix Valve Manual No maintenance on the valves means you don’t have to constantly measure flow, adjust dampers, or. Since 1985, pharmaceutical companies, universities, hospitals, government research facilities, and. Valve controllers designed for pressurised spaces. Precise, protective & proven airflow management. Phoenix controls can help improve your ventilation and air quality with our venturi valves and controllers. Provide superior i/o and precision airflow. Phoenix Valve Manual.
From pofscoman.com
Phoenix Control Valve Valve Phoenix Valve Manual No maintenance on the valves means you don’t have to constantly measure flow, adjust dampers, or. Precise, protective & proven airflow management. Since 1985, pharmaceutical companies, universities, hospitals, government research facilities, and. Phoenix controls can help improve your ventilation and air quality with our venturi valves and controllers. Valve controllers designed for pressurised spaces. Provide superior i/o and precision airflow. Phoenix Valve Manual.
From www.youtube.com
Phoenix Controls 6 Inch Valve & Smart Controller YouTube Phoenix Valve Manual Phoenix controls can help improve your ventilation and air quality with our venturi valves and controllers. Since 1985, pharmaceutical companies, universities, hospitals, government research facilities, and. Provide superior i/o and precision airflow control schemes where directional airflow is important. No maintenance on the valves means you don’t have to constantly measure flow, adjust dampers, or. Precise, protective & proven airflow. Phoenix Valve Manual.
From heaps.co.uk
Phönix Changeover Valve Heap & Partners Phoenix Valve Manual Provide superior i/o and precision airflow control schemes where directional airflow is important. Valve controllers designed for pressurised spaces. Precise, protective & proven airflow management. Since 1985, pharmaceutical companies, universities, hospitals, government research facilities, and. No maintenance on the valves means you don’t have to constantly measure flow, adjust dampers, or. Phoenix controls can help improve your ventilation and air. Phoenix Valve Manual.
From hvac-talk.com
Phoenix Valve Closes Off Phoenix Valve Manual Valve controllers designed for pressurised spaces. No maintenance on the valves means you don’t have to constantly measure flow, adjust dampers, or. Precise, protective & proven airflow management. Phoenix controls can help improve your ventilation and air quality with our venturi valves and controllers. Provide superior i/o and precision airflow control schemes where directional airflow is important. Since 1985, pharmaceutical. Phoenix Valve Manual.
From www.youtube.com
Phoenix Installation Training Venting Intake YouTube Phoenix Valve Manual No maintenance on the valves means you don’t have to constantly measure flow, adjust dampers, or. Since 1985, pharmaceutical companies, universities, hospitals, government research facilities, and. Precise, protective & proven airflow management. Provide superior i/o and precision airflow control schemes where directional airflow is important. Valve controllers designed for pressurised spaces. Phoenix controls can help improve your ventilation and air. Phoenix Valve Manual.