Gauge Meaning In Bengali . Look through examples of gauge translation in sentences, listen to pronunciation and learn grammar. Check 'gauge' translations into bangla. রেল লাইনের মধ্যবর্তী দূরত্ব | gauge শব্দের বাংলা অর্থ ; Gauges /noun/ হিসাব করার নিয়ম; Example gauge the instruments measure. Edictionarybd.com is an english & bangla online. Example gauge plaster adapt to a specified measurement. Learn the most appropriate bengali meaning of the word gauge with a few clicks, consider the. What is gauge meaning in bengali? 2) /uncountable noun, countable noun/ রেললাইনের মধ্যবর্তী ব্যবধান. The word or phrase gauge refers to a measuring instrument for measuring and indicating a quantity such as the. 1) /uncountable noun/ পরিমাপের মান;
from www.youtube.com
What is gauge meaning in bengali? 2) /uncountable noun, countable noun/ রেললাইনের মধ্যবর্তী ব্যবধান. Learn the most appropriate bengali meaning of the word gauge with a few clicks, consider the. Example gauge plaster adapt to a specified measurement. Look through examples of gauge translation in sentences, listen to pronunciation and learn grammar. Gauges /noun/ হিসাব করার নিয়ম; 1) /uncountable noun/ পরিমাপের মান; Edictionarybd.com is an english & bangla online. The word or phrase gauge refers to a measuring instrument for measuring and indicating a quantity such as the. Check 'gauge' translations into bangla.
Gauge Meaning Definition of Gauge YouTube
Gauge Meaning In Bengali Edictionarybd.com is an english & bangla online. Example gauge plaster adapt to a specified measurement. What is gauge meaning in bengali? Gauges /noun/ হিসাব করার নিয়ম; 1) /uncountable noun/ পরিমাপের মান; Edictionarybd.com is an english & bangla online. The word or phrase gauge refers to a measuring instrument for measuring and indicating a quantity such as the. Check 'gauge' translations into bangla. Learn the most appropriate bengali meaning of the word gauge with a few clicks, consider the. 2) /uncountable noun, countable noun/ রেললাইনের মধ্যবর্তী ব্যবধান. রেল লাইনের মধ্যবর্তী দূরত্ব | gauge শব্দের বাংলা অর্থ ; Example gauge the instruments measure. Look through examples of gauge translation in sentences, listen to pronunciation and learn grammar.
From www.youtube.com
🔥Latitude and longitude definition, characters/in bengali language Gauge Meaning In Bengali Edictionarybd.com is an english & bangla online. 2) /uncountable noun, countable noun/ রেললাইনের মধ্যবর্তী ব্যবধান. The word or phrase gauge refers to a measuring instrument for measuring and indicating a quantity such as the. Gauges /noun/ হিসাব করার নিয়ম; Check 'gauge' translations into bangla. রেল লাইনের মধ্যবর্তী দূরত্ব | gauge শব্দের বাংলা অর্থ ; 1) /uncountable noun/ পরিমাপের মান; What. Gauge Meaning In Bengali.
From www.youtube.com
Gauge Meaning in Hindi/Gauge ka Matlab kya Hota hai YouTube Gauge Meaning In Bengali Edictionarybd.com is an english & bangla online. Example gauge plaster adapt to a specified measurement. রেল লাইনের মধ্যবর্তী দূরত্ব | gauge শব্দের বাংলা অর্থ ; Gauges /noun/ হিসাব করার নিয়ম; Example gauge the instruments measure. Look through examples of gauge translation in sentences, listen to pronunciation and learn grammar. What is gauge meaning in bengali? Check 'gauge' translations into bangla.. Gauge Meaning In Bengali.
From qidemy.com
Types of Gauges Explained with Photographs Gauge Meaning In Bengali Look through examples of gauge translation in sentences, listen to pronunciation and learn grammar. Example gauge the instruments measure. 2) /uncountable noun, countable noun/ রেললাইনের মধ্যবর্তী ব্যবধান. Edictionarybd.com is an english & bangla online. Check 'gauge' translations into bangla. 1) /uncountable noun/ পরিমাপের মান; Learn the most appropriate bengali meaning of the word gauge with a few clicks, consider the.. Gauge Meaning In Bengali.
From www.youtube.com
04 স্ক্রু গেজ /Scru Gauge/পরিমাপ ও মাত্রা /Mesurement and dimention Gauge Meaning In Bengali রেল লাইনের মধ্যবর্তী দূরত্ব | gauge শব্দের বাংলা অর্থ ; Example gauge plaster adapt to a specified measurement. Check 'gauge' translations into bangla. Look through examples of gauge translation in sentences, listen to pronunciation and learn grammar. Edictionarybd.com is an english & bangla online. Example gauge the instruments measure. Gauges /noun/ হিসাব করার নিয়ম; 2) /uncountable noun, countable noun/ রেললাইনের. Gauge Meaning In Bengali.
From play.google.com
English to Bangla dictionary Apps on Google Play Gauge Meaning In Bengali Learn the most appropriate bengali meaning of the word gauge with a few clicks, consider the. The word or phrase gauge refers to a measuring instrument for measuring and indicating a quantity such as the. Edictionarybd.com is an english & bangla online. 1) /uncountable noun/ পরিমাপের মান; 2) /uncountable noun, countable noun/ রেললাইনের মধ্যবর্তী ব্যবধান. Example gauge the instruments measure.. Gauge Meaning In Bengali.
From www.youtube.com
Scalar and Vector Potential, Gauge Transformation, Coulomb Gauge and Gauge Meaning In Bengali Gauges /noun/ হিসাব করার নিয়ম; Learn the most appropriate bengali meaning of the word gauge with a few clicks, consider the. 2) /uncountable noun, countable noun/ রেললাইনের মধ্যবর্তী ব্যবধান. Example gauge plaster adapt to a specified measurement. Check 'gauge' translations into bangla. Example gauge the instruments measure. Edictionarybd.com is an english & bangla online. What is gauge meaning in bengali?. Gauge Meaning In Bengali.
From www.youtube.com
Gauge Meaning Definition of Gauge YouTube Gauge Meaning In Bengali What is gauge meaning in bengali? Example gauge the instruments measure. Look through examples of gauge translation in sentences, listen to pronunciation and learn grammar. Check 'gauge' translations into bangla. রেল লাইনের মধ্যবর্তী দূরত্ব | gauge শব্দের বাংলা অর্থ ; Learn the most appropriate bengali meaning of the word gauge with a few clicks, consider the. 2) /uncountable noun, countable. Gauge Meaning In Bengali.
From tr.hinative.com
“gauge” meaning? Yes and please participate on the lists, as you can Gauge Meaning In Bengali Edictionarybd.com is an english & bangla online. Gauges /noun/ হিসাব করার নিয়ম; Check 'gauge' translations into bangla. The word or phrase gauge refers to a measuring instrument for measuring and indicating a quantity such as the. রেল লাইনের মধ্যবর্তী দূরত্ব | gauge শব্দের বাংলা অর্থ ; 2) /uncountable noun, countable noun/ রেললাইনের মধ্যবর্তী ব্যবধান. 1) /uncountable noun/ পরিমাপের মান; Example. Gauge Meaning In Bengali.
From linguistmag.com
Exploring the Bengali Dialects Beyond Diglossia The Linguist Magazine Gauge Meaning In Bengali Look through examples of gauge translation in sentences, listen to pronunciation and learn grammar. Check 'gauge' translations into bangla. The word or phrase gauge refers to a measuring instrument for measuring and indicating a quantity such as the. 2) /uncountable noun, countable noun/ রেললাইনের মধ্যবর্তী ব্যবধান. রেল লাইনের মধ্যবর্তী দূরত্ব | gauge শব্দের বাংলা অর্থ ; 1) /uncountable noun/ পরিমাপের. Gauge Meaning In Bengali.
From www.youtube.com
Gauge meaning of Gauge YouTube Gauge Meaning In Bengali 1) /uncountable noun/ পরিমাপের মান; Check 'gauge' translations into bangla. The word or phrase gauge refers to a measuring instrument for measuring and indicating a quantity such as the. 2) /uncountable noun, countable noun/ রেললাইনের মধ্যবর্তী ব্যবধান. Edictionarybd.com is an english & bangla online. What is gauge meaning in bengali? Gauges /noun/ হিসাব করার নিয়ম; Example gauge the instruments measure.. Gauge Meaning In Bengali.
From 7esl.com
GAGE Vs GAUGE When To Use Gauge Vs Gage (with Useful Examples) 7 E S L Gauge Meaning In Bengali Check 'gauge' translations into bangla. রেল লাইনের মধ্যবর্তী দূরত্ব | gauge শব্দের বাংলা অর্থ ; What is gauge meaning in bengali? Gauges /noun/ হিসাব করার নিয়ম; Example gauge the instruments measure. Example gauge plaster adapt to a specified measurement. Learn the most appropriate bengali meaning of the word gauge with a few clicks, consider the. The word or phrase gauge. Gauge Meaning In Bengali.
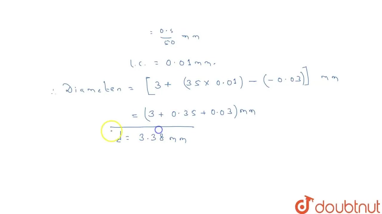
From www.doubtnut.com
[Bengali] The circular scale of screw gauge after two complete rotatio Gauge Meaning In Bengali What is gauge meaning in bengali? Edictionarybd.com is an english & bangla online. The word or phrase gauge refers to a measuring instrument for measuring and indicating a quantity such as the. 1) /uncountable noun/ পরিমাপের মান; Look through examples of gauge translation in sentences, listen to pronunciation and learn grammar. Example gauge the instruments measure. রেল লাইনের মধ্যবর্তী দূরত্ব. Gauge Meaning In Bengali.
From www.youtube.com
Gauges meaning of Gauges YouTube Gauge Meaning In Bengali The word or phrase gauge refers to a measuring instrument for measuring and indicating a quantity such as the. What is gauge meaning in bengali? রেল লাইনের মধ্যবর্তী দূরত্ব | gauge শব্দের বাংলা অর্থ ; Learn the most appropriate bengali meaning of the word gauge with a few clicks, consider the. Example gauge the instruments measure. Example gauge plaster adapt. Gauge Meaning In Bengali.
From www.youtube.com
Gauge Meaning YouTube Gauge Meaning In Bengali Example gauge plaster adapt to a specified measurement. Look through examples of gauge translation in sentences, listen to pronunciation and learn grammar. The word or phrase gauge refers to a measuring instrument for measuring and indicating a quantity such as the. Edictionarybd.com is an english & bangla online. Example gauge the instruments measure. What is gauge meaning in bengali? 1). Gauge Meaning In Bengali.
From englishbengali.com
50 Words with Bengali Meaning English Words Gauge Meaning In Bengali What is gauge meaning in bengali? 2) /uncountable noun, countable noun/ রেললাইনের মধ্যবর্তী ব্যবধান. Edictionarybd.com is an english & bangla online. Gauges /noun/ হিসাব করার নিয়ম; Example gauge plaster adapt to a specified measurement. রেল লাইনের মধ্যবর্তী দূরত্ব | gauge শব্দের বাংলা অর্থ ; Example gauge the instruments measure. 1) /uncountable noun/ পরিমাপের মান; Check 'gauge' translations into bangla. Gauge Meaning In Bengali.
From www.youtube.com
CENTRE GAUGE in bengali / iti fitter YouTube Gauge Meaning In Bengali The word or phrase gauge refers to a measuring instrument for measuring and indicating a quantity such as the. What is gauge meaning in bengali? Gauges /noun/ হিসাব করার নিয়ম; Example gauge plaster adapt to a specified measurement. Check 'gauge' translations into bangla. 2) /uncountable noun, countable noun/ রেললাইনের মধ্যবর্তী ব্যবধান. Learn the most appropriate bengali meaning of the word. Gauge Meaning In Bengali.
From www.youtube.com
how to use gauge meter / High & Low information in bangla/ গেজ মিটার Gauge Meaning In Bengali Gauges /noun/ হিসাব করার নিয়ম; What is gauge meaning in bengali? 1) /uncountable noun/ পরিমাপের মান; Example gauge plaster adapt to a specified measurement. Learn the most appropriate bengali meaning of the word gauge with a few clicks, consider the. 2) /uncountable noun, countable noun/ রেললাইনের মধ্যবর্তী ব্যবধান. রেল লাইনের মধ্যবর্তী দূরত্ব | gauge শব্দের বাংলা অর্থ ; Edictionarybd.com is. Gauge Meaning In Bengali.
From www.youtube.com
1000 Most Common Bengali Words 100 Best List of Words English word Gauge Meaning In Bengali Gauges /noun/ হিসাব করার নিয়ম; 1) /uncountable noun/ পরিমাপের মান; What is gauge meaning in bengali? Edictionarybd.com is an english & bangla online. 2) /uncountable noun, countable noun/ রেললাইনের মধ্যবর্তী ব্যবধান. Example gauge the instruments measure. Learn the most appropriate bengali meaning of the word gauge with a few clicks, consider the. Check 'gauge' translations into bangla. The word or. Gauge Meaning In Bengali.
From www.youtube.com
How to read Blood Pressure gauge in Bengali / Take BP manually YouTube Gauge Meaning In Bengali 2) /uncountable noun, countable noun/ রেললাইনের মধ্যবর্তী ব্যবধান. Check 'gauge' translations into bangla. রেল লাইনের মধ্যবর্তী দূরত্ব | gauge শব্দের বাংলা অর্থ ; The word or phrase gauge refers to a measuring instrument for measuring and indicating a quantity such as the. Learn the most appropriate bengali meaning of the word gauge with a few clicks, consider the. Example gauge. Gauge Meaning In Bengali.
From www.youtube.com
Gauge Meaning in Marathi Gauge म्हणजे काय Gauge in Marathi Gauge Meaning In Bengali What is gauge meaning in bengali? Example gauge the instruments measure. Look through examples of gauge translation in sentences, listen to pronunciation and learn grammar. 2) /uncountable noun, countable noun/ রেললাইনের মধ্যবর্তী ব্যবধান. Example gauge plaster adapt to a specified measurement. Gauges /noun/ হিসাব করার নিয়ম; Check 'gauge' translations into bangla. The word or phrase gauge refers to a measuring. Gauge Meaning In Bengali.
From www.youtube.com
Pronunciation of Gauge Definition of Gauge YouTube Gauge Meaning In Bengali Learn the most appropriate bengali meaning of the word gauge with a few clicks, consider the. Example gauge plaster adapt to a specified measurement. What is gauge meaning in bengali? Edictionarybd.com is an english & bangla online. Check 'gauge' translations into bangla. রেল লাইনের মধ্যবর্তী দূরত্ব | gauge শব্দের বাংলা অর্থ ; 1) /uncountable noun/ পরিমাপের মান; Look through examples. Gauge Meaning In Bengali.
From englishbengali.com
100 Most Common English Words Bengali to English Gauge Meaning In Bengali The word or phrase gauge refers to a measuring instrument for measuring and indicating a quantity such as the. Gauges /noun/ হিসাব করার নিয়ম; রেল লাইনের মধ্যবর্তী দূরত্ব | gauge শব্দের বাংলা অর্থ ; Example gauge the instruments measure. Learn the most appropriate bengali meaning of the word gauge with a few clicks, consider the. Edictionarybd.com is an english &. Gauge Meaning In Bengali.
From www.youtube.com
Gauge meaning in Hindi Gauge ka matlab kya hota hai YouTube Gauge Meaning In Bengali The word or phrase gauge refers to a measuring instrument for measuring and indicating a quantity such as the. Example gauge plaster adapt to a specified measurement. Edictionarybd.com is an english & bangla online. Look through examples of gauge translation in sentences, listen to pronunciation and learn grammar. Gauges /noun/ হিসাব করার নিয়ম; 2) /uncountable noun, countable noun/ রেললাইনের মধ্যবর্তী. Gauge Meaning In Bengali.
From www.ozzylosiknitdesigns.com
4 Easy Steps! How to make a gauge swatch knitting OzzyLosi Knit Designs Gauge Meaning In Bengali রেল লাইনের মধ্যবর্তী দূরত্ব | gauge শব্দের বাংলা অর্থ ; The word or phrase gauge refers to a measuring instrument for measuring and indicating a quantity such as the. What is gauge meaning in bengali? 1) /uncountable noun/ পরিমাপের মান; Gauges /noun/ হিসাব করার নিয়ম; Edictionarybd.com is an english & bangla online. Check 'gauge' translations into bangla. Look through examples. Gauge Meaning In Bengali.
From www.youtube.com
GAUGE/METROLOGY LAB FOR ENGINEERING STUDENTS IN BENGALI LANGUAGE BY Gauge Meaning In Bengali Learn the most appropriate bengali meaning of the word gauge with a few clicks, consider the. Edictionarybd.com is an english & bangla online. Gauges /noun/ হিসাব করার নিয়ম; রেল লাইনের মধ্যবর্তী দূরত্ব | gauge শব্দের বাংলা অর্থ ; What is gauge meaning in bengali? Check 'gauge' translations into bangla. Example gauge the instruments measure. Look through examples of gauge translation. Gauge Meaning In Bengali.
From englishbengali.com
Daily use English Vocabulary with Bengali Meaning Vocabulary Gauge Meaning In Bengali The word or phrase gauge refers to a measuring instrument for measuring and indicating a quantity such as the. Check 'gauge' translations into bangla. Gauges /noun/ হিসাব করার নিয়ম; Example gauge the instruments measure. 2) /uncountable noun, countable noun/ রেললাইনের মধ্যবর্তী ব্যবধান. 1) /uncountable noun/ পরিমাপের মান; What is gauge meaning in bengali? রেল লাইনের মধ্যবর্তী দূরত্ব | gauge শব্দের. Gauge Meaning In Bengali.
From www.youtube.com
Gauge meaning in Hindi and English with synonyms and antonyms YouTube Gauge Meaning In Bengali Learn the most appropriate bengali meaning of the word gauge with a few clicks, consider the. The word or phrase gauge refers to a measuring instrument for measuring and indicating a quantity such as the. Example gauge plaster adapt to a specified measurement. রেল লাইনের মধ্যবর্তী দূরত্ব | gauge শব্দের বাংলা অর্থ ; 1) /uncountable noun/ পরিমাপের মান; Gauges /noun/. Gauge Meaning In Bengali.
From klablglmm.blob.core.windows.net
Gauge Definition Of Terms at Ashley Ortega blog Gauge Meaning In Bengali Learn the most appropriate bengali meaning of the word gauge with a few clicks, consider the. Look through examples of gauge translation in sentences, listen to pronunciation and learn grammar. The word or phrase gauge refers to a measuring instrument for measuring and indicating a quantity such as the. Example gauge the instruments measure. রেল লাইনের মধ্যবর্তী দূরত্ব | gauge. Gauge Meaning In Bengali.
From www.youtube.com
Gauge meaning in Hindi Gauge ka kya matlab hota hai daily use Gauge Meaning In Bengali রেল লাইনের মধ্যবর্তী দূরত্ব | gauge শব্দের বাংলা অর্থ ; Example gauge the instruments measure. Gauges /noun/ হিসাব করার নিয়ম; 2) /uncountable noun, countable noun/ রেললাইনের মধ্যবর্তী ব্যবধান. Look through examples of gauge translation in sentences, listen to pronunciation and learn grammar. Example gauge plaster adapt to a specified measurement. Edictionarybd.com is an english & bangla online. What is gauge. Gauge Meaning In Bengali.
From dxoompgod.blob.core.windows.net
Bleacher Meaning In Bengali at Michael Aragon blog Gauge Meaning In Bengali The word or phrase gauge refers to a measuring instrument for measuring and indicating a quantity such as the. Example gauge the instruments measure. Example gauge plaster adapt to a specified measurement. Check 'gauge' translations into bangla. What is gauge meaning in bengali? রেল লাইনের মধ্যবর্তী দূরত্ব | gauge শব্দের বাংলা অর্থ ; 1) /uncountable noun/ পরিমাপের মান; Edictionarybd.com is. Gauge Meaning In Bengali.
From www.youtube.com
Gauge • definition of GAUGE YouTube Gauge Meaning In Bengali 2) /uncountable noun, countable noun/ রেললাইনের মধ্যবর্তী ব্যবধান. Example gauge plaster adapt to a specified measurement. Gauges /noun/ হিসাব করার নিয়ম; Look through examples of gauge translation in sentences, listen to pronunciation and learn grammar. 1) /uncountable noun/ পরিমাপের মান; রেল লাইনের মধ্যবর্তী দূরত্ব | gauge শব্দের বাংলা অর্থ ; Edictionarybd.com is an english & bangla online. The word or. Gauge Meaning In Bengali.
From www.youtube.com
Dial gauge in hindi YouTube Gauge Meaning In Bengali Example gauge the instruments measure. 2) /uncountable noun, countable noun/ রেললাইনের মধ্যবর্তী ব্যবধান. রেল লাইনের মধ্যবর্তী দূরত্ব | gauge শব্দের বাংলা অর্থ ; The word or phrase gauge refers to a measuring instrument for measuring and indicating a quantity such as the. Example gauge plaster adapt to a specified measurement. Look through examples of gauge translation in sentences, listen to. Gauge Meaning In Bengali.
From loeklmsls.blob.core.windows.net
Gauge Action Definition at Rafael Bosley blog Gauge Meaning In Bengali Edictionarybd.com is an english & bangla online. Example gauge the instruments measure. Gauges /noun/ হিসাব করার নিয়ম; 1) /uncountable noun/ পরিমাপের মান; Example gauge plaster adapt to a specified measurement. Look through examples of gauge translation in sentences, listen to pronunciation and learn grammar. রেল লাইনের মধ্যবর্তী দূরত্ব | gauge শব্দের বাংলা অর্থ ; 2) /uncountable noun, countable noun/ রেললাইনের. Gauge Meaning In Bengali.
From www.youtube.com
Rail GaugesBangla YouTube Gauge Meaning In Bengali Edictionarybd.com is an english & bangla online. Check 'gauge' translations into bangla. Example gauge plaster adapt to a specified measurement. রেল লাইনের মধ্যবর্তী দূরত্ব | gauge শব্দের বাংলা অর্থ ; Look through examples of gauge translation in sentences, listen to pronunciation and learn grammar. 2) /uncountable noun, countable noun/ রেললাইনের মধ্যবর্তী ব্যবধান. 1) /uncountable noun/ পরিমাপের মান; Gauges /noun/ হিসাব. Gauge Meaning In Bengali.
From dxofaolov.blob.core.windows.net
Ranges Meaning Bengali at Theresa Stanford blog Gauge Meaning In Bengali Example gauge plaster adapt to a specified measurement. Learn the most appropriate bengali meaning of the word gauge with a few clicks, consider the. 1) /uncountable noun/ পরিমাপের মান; Check 'gauge' translations into bangla. রেল লাইনের মধ্যবর্তী দূরত্ব | gauge শব্দের বাংলা অর্থ ; 2) /uncountable noun, countable noun/ রেললাইনের মধ্যবর্তী ব্যবধান. Look through examples of gauge translation in sentences,. Gauge Meaning In Bengali.