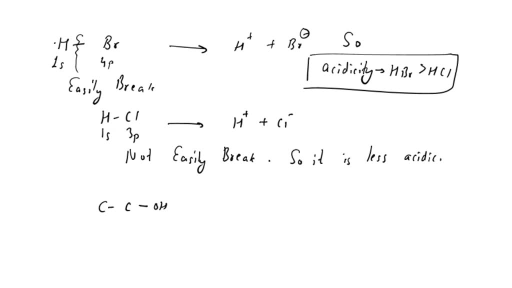
Why Hf Is Weaker Acid Than Hcl . Why hydrofluoric acid is a weak acid. Hydrofluoric acid is the only hydrohalic acid (such as hcl, hi) that is not a. Entropy decreases dramatically when the hydrogen. So the strongest acid possible is the molecule with the weakest bond. That is the hydrohelium (1+) cation, heh +,. The stornger acid, the weaker the covalent bond to a hydrogen atom. The two main factors are: For example, when dissolved in ethanol (a weaker base than water), the extent of ionization increases in the order \(\ce{hcl < hbr < hi}\), and so \(\ce{hi}\) is demonstrated to. Hf is a weaker acid because the strength of an acid is determined by how completely that acid will dissociate. Why is hydrofluoric acid a weak acid? Since both entropy and enthalpy is disfavoured with respect to fluoride, the result is that h f is a poor acid compared to h cl, h br,. Hydrobromic acid (hbr) is stronger than hydrochloric acid (hcl) in terms of acidity. This difference arises because the bond.
from www.youtube.com
The two main factors are: Why is hydrofluoric acid a weak acid? That is the hydrohelium (1+) cation, heh +,. Hydrofluoric acid is the only hydrohalic acid (such as hcl, hi) that is not a. So the strongest acid possible is the molecule with the weakest bond. Hydrobromic acid (hbr) is stronger than hydrochloric acid (hcl) in terms of acidity. This difference arises because the bond. Entropy decreases dramatically when the hydrogen. For example, when dissolved in ethanol (a weaker base than water), the extent of ionization increases in the order \(\ce{hcl < hbr < hi}\), and so \(\ce{hi}\) is demonstrated to. Since both entropy and enthalpy is disfavoured with respect to fluoride, the result is that h f is a poor acid compared to h cl, h br,.
Why is hydrofluoric acid, HF, a weak acid compared to other hydrogen halides? YouTube
Why Hf Is Weaker Acid Than Hcl Why is hydrofluoric acid a weak acid? For example, when dissolved in ethanol (a weaker base than water), the extent of ionization increases in the order \(\ce{hcl < hbr < hi}\), and so \(\ce{hi}\) is demonstrated to. The two main factors are: Why hydrofluoric acid is a weak acid. Hydrobromic acid (hbr) is stronger than hydrochloric acid (hcl) in terms of acidity. Hydrofluoric acid is the only hydrohalic acid (such as hcl, hi) that is not a. So the strongest acid possible is the molecule with the weakest bond. That is the hydrohelium (1+) cation, heh +,. Why is hydrofluoric acid a weak acid? Since both entropy and enthalpy is disfavoured with respect to fluoride, the result is that h f is a poor acid compared to h cl, h br,. Entropy decreases dramatically when the hydrogen. This difference arises because the bond. Hf is a weaker acid because the strength of an acid is determined by how completely that acid will dissociate. The stornger acid, the weaker the covalent bond to a hydrogen atom.
From www.chegg.com
Solved Hydrofluoric acid, HF is a weak acid with Ka = Why Hf Is Weaker Acid Than Hcl Entropy decreases dramatically when the hydrogen. Hf is a weaker acid because the strength of an acid is determined by how completely that acid will dissociate. The stornger acid, the weaker the covalent bond to a hydrogen atom. Why hydrofluoric acid is a weak acid. For example, when dissolved in ethanol (a weaker base than water), the extent of ionization. Why Hf Is Weaker Acid Than Hcl.
From www.sliderbase.com
Acids, pH and Equilibrium Presentation Chemistry Why Hf Is Weaker Acid Than Hcl Hydrofluoric acid is the only hydrohalic acid (such as hcl, hi) that is not a. The two main factors are: Hf is a weaker acid because the strength of an acid is determined by how completely that acid will dissociate. Since both entropy and enthalpy is disfavoured with respect to fluoride, the result is that h f is a poor. Why Hf Is Weaker Acid Than Hcl.
From www.slideshare.net
1 22 What Are Strong Acids And Bases Why Hf Is Weaker Acid Than Hcl That is the hydrohelium (1+) cation, heh +,. Why hydrofluoric acid is a weak acid. Hydrofluoric acid is the only hydrohalic acid (such as hcl, hi) that is not a. The two main factors are: For example, when dissolved in ethanol (a weaker base than water), the extent of ionization increases in the order \(\ce{hcl < hbr < hi}\), and. Why Hf Is Weaker Acid Than Hcl.
From slideplayer.com
Acids and Bases Acid Strength and Ka ppt download Why Hf Is Weaker Acid Than Hcl Hf is a weaker acid because the strength of an acid is determined by how completely that acid will dissociate. The stornger acid, the weaker the covalent bond to a hydrogen atom. That is the hydrohelium (1+) cation, heh +,. Why is hydrofluoric acid a weak acid? So the strongest acid possible is the molecule with the weakest bond. The. Why Hf Is Weaker Acid Than Hcl.
From www.doubtnut.com
[Kannada] HF is a weaker acid than HCl why? Why Hf Is Weaker Acid Than Hcl The stornger acid, the weaker the covalent bond to a hydrogen atom. Since both entropy and enthalpy is disfavoured with respect to fluoride, the result is that h f is a poor acid compared to h cl, h br,. Why hydrofluoric acid is a weak acid. So the strongest acid possible is the molecule with the weakest bond. Hydrofluoric acid. Why Hf Is Weaker Acid Than Hcl.
From www.teachoo.com
List of Strong Acids (More than 8 examples, with images) Teachoo Why Hf Is Weaker Acid Than Hcl Why is hydrofluoric acid a weak acid? For example, when dissolved in ethanol (a weaker base than water), the extent of ionization increases in the order \(\ce{hcl < hbr < hi}\), and so \(\ce{hi}\) is demonstrated to. Hydrofluoric acid is the only hydrohalic acid (such as hcl, hi) that is not a. This difference arises because the bond. Hydrobromic acid. Why Hf Is Weaker Acid Than Hcl.
From www.slideserve.com
PPT Acids & Bases PowerPoint Presentation ID6155898 Why Hf Is Weaker Acid Than Hcl Hf is a weaker acid because the strength of an acid is determined by how completely that acid will dissociate. That is the hydrohelium (1+) cation, heh +,. So the strongest acid possible is the molecule with the weakest bond. For example, when dissolved in ethanol (a weaker base than water), the extent of ionization increases in the order \(\ce{hcl. Why Hf Is Weaker Acid Than Hcl.
From slideplayer.com
Introduction to Acids and Bases ppt download Why Hf Is Weaker Acid Than Hcl Hf is a weaker acid because the strength of an acid is determined by how completely that acid will dissociate. Hydrofluoric acid is the only hydrohalic acid (such as hcl, hi) that is not a. Hydrobromic acid (hbr) is stronger than hydrochloric acid (hcl) in terms of acidity. Why hydrofluoric acid is a weak acid. The two main factors are:. Why Hf Is Weaker Acid Than Hcl.
From www.youtube.com
Arrange the following acids in the decreasing order of their acid strength `HF, HCl, HBr, HI Why Hf Is Weaker Acid Than Hcl Hydrofluoric acid is the only hydrohalic acid (such as hcl, hi) that is not a. The two main factors are: Since both entropy and enthalpy is disfavoured with respect to fluoride, the result is that h f is a poor acid compared to h cl, h br,. Hydrobromic acid (hbr) is stronger than hydrochloric acid (hcl) in terms of acidity.. Why Hf Is Weaker Acid Than Hcl.
From www.vrogue.co
Hydrofluoric Acid Hf Is A Weak Acid With K 3 5 10 4 T vrogue.co Why Hf Is Weaker Acid Than Hcl Hydrofluoric acid is the only hydrohalic acid (such as hcl, hi) that is not a. So the strongest acid possible is the molecule with the weakest bond. Since both entropy and enthalpy is disfavoured with respect to fluoride, the result is that h f is a poor acid compared to h cl, h br,. The two main factors are: Entropy. Why Hf Is Weaker Acid Than Hcl.
From www.numerade.com
SOLVED The deciding factor on why HF is a weak acid and not a strong acid like the other Why Hf Is Weaker Acid Than Hcl Hydrofluoric acid is the only hydrohalic acid (such as hcl, hi) that is not a. Why hydrofluoric acid is a weak acid. This difference arises because the bond. Since both entropy and enthalpy is disfavoured with respect to fluoride, the result is that h f is a poor acid compared to h cl, h br,. The stornger acid, the weaker. Why Hf Is Weaker Acid Than Hcl.
From www.studypool.com
SOLUTION Why is hydrofluoric acid a weak acid Studypool Why Hf Is Weaker Acid Than Hcl Since both entropy and enthalpy is disfavoured with respect to fluoride, the result is that h f is a poor acid compared to h cl, h br,. The two main factors are: So the strongest acid possible is the molecule with the weakest bond. Hf is a weaker acid because the strength of an acid is determined by how completely. Why Hf Is Weaker Acid Than Hcl.
From www.numerade.com
SOLVEDThe deciding factor on why HF is a weak acid and not a strong acid like the other Why Hf Is Weaker Acid Than Hcl Hydrofluoric acid is the only hydrohalic acid (such as hcl, hi) that is not a. So the strongest acid possible is the molecule with the weakest bond. Since both entropy and enthalpy is disfavoured with respect to fluoride, the result is that h f is a poor acid compared to h cl, h br,. The two main factors are: Hf. Why Hf Is Weaker Acid Than Hcl.
From www.numerade.com
SOLVED8 Sulfuric acid is weaker acid than hydrochloric acid and therefore its reaction is Why Hf Is Weaker Acid Than Hcl Why hydrofluoric acid is a weak acid. Hydrofluoric acid is the only hydrohalic acid (such as hcl, hi) that is not a. Hydrobromic acid (hbr) is stronger than hydrochloric acid (hcl) in terms of acidity. For example, when dissolved in ethanol (a weaker base than water), the extent of ionization increases in the order \(\ce{hcl < hbr < hi}\), and. Why Hf Is Weaker Acid Than Hcl.
From www.numerade.com
SOLVEDSulfuric acid is a weaker acid than hydrochloric acid. Yet hydrogen chloride is evolved Why Hf Is Weaker Acid Than Hcl Hydrofluoric acid is the only hydrohalic acid (such as hcl, hi) that is not a. Since both entropy and enthalpy is disfavoured with respect to fluoride, the result is that h f is a poor acid compared to h cl, h br,. This difference arises because the bond. For example, when dissolved in ethanol (a weaker base than water), the. Why Hf Is Weaker Acid Than Hcl.
From slideplayer.com
Acids and Bases Chapter ppt download Why Hf Is Weaker Acid Than Hcl This difference arises because the bond. The stornger acid, the weaker the covalent bond to a hydrogen atom. Since both entropy and enthalpy is disfavoured with respect to fluoride, the result is that h f is a poor acid compared to h cl, h br,. Why hydrofluoric acid is a weak acid. So the strongest acid possible is the molecule. Why Hf Is Weaker Acid Than Hcl.
From www.youtube.com
Why is hydrofluoric acid, HF, a weak acid compared to other hydrogen halides? YouTube Why Hf Is Weaker Acid Than Hcl The stornger acid, the weaker the covalent bond to a hydrogen atom. Hf is a weaker acid because the strength of an acid is determined by how completely that acid will dissociate. Why is hydrofluoric acid a weak acid? The two main factors are: Hydrobromic acid (hbr) is stronger than hydrochloric acid (hcl) in terms of acidity. This difference arises. Why Hf Is Weaker Acid Than Hcl.
From www.doubtnut.com
[Odia] In aqueous solution HF is weaker acid than HCl Why Hf Is Weaker Acid Than Hcl That is the hydrohelium (1+) cation, heh +,. Why is hydrofluoric acid a weak acid? Hydrofluoric acid is the only hydrohalic acid (such as hcl, hi) that is not a. For example, when dissolved in ethanol (a weaker base than water), the extent of ionization increases in the order \(\ce{hcl < hbr < hi}\), and so \(\ce{hi}\) is demonstrated to.. Why Hf Is Weaker Acid Than Hcl.
From www.doubtnut.com
[Odia] HF is a weak acid but HCl is a strong acid because Why Hf Is Weaker Acid Than Hcl Hydrobromic acid (hbr) is stronger than hydrochloric acid (hcl) in terms of acidity. The stornger acid, the weaker the covalent bond to a hydrogen atom. Why hydrofluoric acid is a weak acid. This difference arises because the bond. For example, when dissolved in ethanol (a weaker base than water), the extent of ionization increases in the order \(\ce{hcl < hbr. Why Hf Is Weaker Acid Than Hcl.
From www.thoughtco.com
List of Common Strong and Weak Acids Why Hf Is Weaker Acid Than Hcl So the strongest acid possible is the molecule with the weakest bond. This difference arises because the bond. Hydrobromic acid (hbr) is stronger than hydrochloric acid (hcl) in terms of acidity. That is the hydrohelium (1+) cation, heh +,. Entropy decreases dramatically when the hydrogen. Hf is a weaker acid because the strength of an acid is determined by how. Why Hf Is Weaker Acid Than Hcl.
From www.numerade.com
SOLVED If HCl is a weaker acid than HBr, why is ClCH2COOH a stronger acid than BrCH2COOH? Why Hf Is Weaker Acid Than Hcl The stornger acid, the weaker the covalent bond to a hydrogen atom. So the strongest acid possible is the molecule with the weakest bond. Why is hydrofluoric acid a weak acid? Since both entropy and enthalpy is disfavoured with respect to fluoride, the result is that h f is a poor acid compared to h cl, h br,. Why hydrofluoric. Why Hf Is Weaker Acid Than Hcl.
From chemicaldb.netlify.app
Hydrogen fluoride weak acid Why Hf Is Weaker Acid Than Hcl So the strongest acid possible is the molecule with the weakest bond. Why is hydrofluoric acid a weak acid? Hydrobromic acid (hbr) is stronger than hydrochloric acid (hcl) in terms of acidity. That is the hydrohelium (1+) cation, heh +,. Why hydrofluoric acid is a weak acid. The two main factors are: Since both entropy and enthalpy is disfavoured with. Why Hf Is Weaker Acid Than Hcl.
From sciencenotes.org
List of Common Strong and Weak Acids Why Hf Is Weaker Acid Than Hcl For example, when dissolved in ethanol (a weaker base than water), the extent of ionization increases in the order \(\ce{hcl < hbr < hi}\), and so \(\ce{hi}\) is demonstrated to. So the strongest acid possible is the molecule with the weakest bond. Hf is a weaker acid because the strength of an acid is determined by how completely that acid. Why Hf Is Weaker Acid Than Hcl.
From www.coursehero.com
[Solved] HCI is a stronger acid than HF because The HCI bond is shorter O... Course Hero Why Hf Is Weaker Acid Than Hcl Since both entropy and enthalpy is disfavoured with respect to fluoride, the result is that h f is a poor acid compared to h cl, h br,. Entropy decreases dramatically when the hydrogen. For example, when dissolved in ethanol (a weaker base than water), the extent of ionization increases in the order \(\ce{hcl < hbr < hi}\), and so \(\ce{hi}\). Why Hf Is Weaker Acid Than Hcl.
From www.numerade.com
SOLVEDExplain why HF is a weak acid, whereas HCl, HBr, and HI are all strong acids. Why Hf Is Weaker Acid Than Hcl Hydrofluoric acid is the only hydrohalic acid (such as hcl, hi) that is not a. Since both entropy and enthalpy is disfavoured with respect to fluoride, the result is that h f is a poor acid compared to h cl, h br,. Why is hydrofluoric acid a weak acid? Entropy decreases dramatically when the hydrogen. This difference arises because the. Why Hf Is Weaker Acid Than Hcl.
From www.doubtnut.com
[Punjabi] Why HF is a weaker acid than HCl Why Hf Is Weaker Acid Than Hcl Hydrobromic acid (hbr) is stronger than hydrochloric acid (hcl) in terms of acidity. Why hydrofluoric acid is a weak acid. Hf is a weaker acid because the strength of an acid is determined by how completely that acid will dissociate. That is the hydrohelium (1+) cation, heh +,. Since both entropy and enthalpy is disfavoured with respect to fluoride, the. Why Hf Is Weaker Acid Than Hcl.
From www.youtube.com
What is the Order of Relative Acid Strength of Halogen acids, HF, HCl, HBr & HI(Hydroiodic acid Why Hf Is Weaker Acid Than Hcl That is the hydrohelium (1+) cation, heh +,. Entropy decreases dramatically when the hydrogen. The two main factors are: Why is hydrofluoric acid a weak acid? So the strongest acid possible is the molecule with the weakest bond. Hf is a weaker acid because the strength of an acid is determined by how completely that acid will dissociate. Hydrobromic acid. Why Hf Is Weaker Acid Than Hcl.
From www.youtube.com
Why hydrogen fluoride is a weaker acid than hydrochloric acid Find acidic order of HF,HCl,HBr Why Hf Is Weaker Acid Than Hcl That is the hydrohelium (1+) cation, heh +,. Hydrobromic acid (hbr) is stronger than hydrochloric acid (hcl) in terms of acidity. Hf is a weaker acid because the strength of an acid is determined by how completely that acid will dissociate. Why hydrofluoric acid is a weak acid. So the strongest acid possible is the molecule with the weakest bond.. Why Hf Is Weaker Acid Than Hcl.
From www.doubtnut.com
HF is stronger acid than HCl. Why Hf Is Weaker Acid Than Hcl So the strongest acid possible is the molecule with the weakest bond. Since both entropy and enthalpy is disfavoured with respect to fluoride, the result is that h f is a poor acid compared to h cl, h br,. For example, when dissolved in ethanol (a weaker base than water), the extent of ionization increases in the order \(\ce{hcl <. Why Hf Is Weaker Acid Than Hcl.
From www.masterorganicchemistry.com
5 Key Factors That Influence Acidity In Organic Chemistry Why Hf Is Weaker Acid Than Hcl That is the hydrohelium (1+) cation, heh +,. Hydrofluoric acid is the only hydrohalic acid (such as hcl, hi) that is not a. Why is hydrofluoric acid a weak acid? So the strongest acid possible is the molecule with the weakest bond. Hydrobromic acid (hbr) is stronger than hydrochloric acid (hcl) in terms of acidity. This difference arises because the. Why Hf Is Weaker Acid Than Hcl.
From www.differencebetween.com
Difference Between Hydrofluoric Acid and Hydrochloric Acid Compare the Difference Between Why Hf Is Weaker Acid Than Hcl Entropy decreases dramatically when the hydrogen. Why hydrofluoric acid is a weak acid. Hydrobromic acid (hbr) is stronger than hydrochloric acid (hcl) in terms of acidity. Why is hydrofluoric acid a weak acid? The two main factors are: Hydrofluoric acid is the only hydrohalic acid (such as hcl, hi) that is not a. Hf is a weaker acid because the. Why Hf Is Weaker Acid Than Hcl.
From masterconceptsinchemistry.com
Why’re hydrochloric acid, nitric acid, and sulfuric acid strong acids, while hydrofluoric acid Why Hf Is Weaker Acid Than Hcl Hydrofluoric acid is the only hydrohalic acid (such as hcl, hi) that is not a. So the strongest acid possible is the molecule with the weakest bond. The stornger acid, the weaker the covalent bond to a hydrogen atom. Hydrobromic acid (hbr) is stronger than hydrochloric acid (hcl) in terms of acidity. That is the hydrohelium (1+) cation, heh +,.. Why Hf Is Weaker Acid Than Hcl.
From www.slideserve.com
PPT Chapter 18 PowerPoint Presentation, free download ID1302194 Why Hf Is Weaker Acid Than Hcl For example, when dissolved in ethanol (a weaker base than water), the extent of ionization increases in the order \(\ce{hcl < hbr < hi}\), and so \(\ce{hi}\) is demonstrated to. The two main factors are: This difference arises because the bond. Why is hydrofluoric acid a weak acid? Entropy decreases dramatically when the hydrogen. Hydrofluoric acid is the only hydrohalic. Why Hf Is Weaker Acid Than Hcl.
From www.youtube.com
HF has more Boiling point than HCl. Give reasonpblock elementsASN CHEMISTRY YouTube Why Hf Is Weaker Acid Than Hcl That is the hydrohelium (1+) cation, heh +,. The two main factors are: Hydrobromic acid (hbr) is stronger than hydrochloric acid (hcl) in terms of acidity. Why hydrofluoric acid is a weak acid. Why is hydrofluoric acid a weak acid? Hf is a weaker acid because the strength of an acid is determined by how completely that acid will dissociate.. Why Hf Is Weaker Acid Than Hcl.
From www.teachoo.com
Examples of Weak Acids 5+ Examples Teachoo Teachoo Questions Why Hf Is Weaker Acid Than Hcl Since both entropy and enthalpy is disfavoured with respect to fluoride, the result is that h f is a poor acid compared to h cl, h br,. The two main factors are: For example, when dissolved in ethanol (a weaker base than water), the extent of ionization increases in the order \(\ce{hcl < hbr < hi}\), and so \(\ce{hi}\) is. Why Hf Is Weaker Acid Than Hcl.