What Is Ksi In Construction . — rebar grades in the u.s. the unit of ksi is well adapted to conveniently indicate stress and strength of common construction materials. metal deck glossary of terms: the materials and products used in building design and construction are almost universally designated by reference to an. Tensile / yield strengths and ductilities for some of the plain carbon. — from a design standpoint, all the current codes limit the allowable design strength to 80 ksi. The grade designation is equal to minimal yield strength in kilopounds per square. — rebar grades are set by astm. Ksi or kilopounds per square inch or 1,000 pounds per square inch.
from www.youtube.com
— rebar grades in the u.s. Tensile / yield strengths and ductilities for some of the plain carbon. — rebar grades are set by astm. the unit of ksi is well adapted to conveniently indicate stress and strength of common construction materials. Ksi or kilopounds per square inch or 1,000 pounds per square inch. the materials and products used in building design and construction are almost universally designated by reference to an. metal deck glossary of terms: — from a design standpoint, all the current codes limit the allowable design strength to 80 ksi. The grade designation is equal to minimal yield strength in kilopounds per square.
How to Make KSI in EA FC 24 YouTube
What Is Ksi In Construction the unit of ksi is well adapted to conveniently indicate stress and strength of common construction materials. the materials and products used in building design and construction are almost universally designated by reference to an. — from a design standpoint, all the current codes limit the allowable design strength to 80 ksi. The grade designation is equal to minimal yield strength in kilopounds per square. — rebar grades in the u.s. metal deck glossary of terms: Ksi or kilopounds per square inch or 1,000 pounds per square inch. — rebar grades are set by astm. the unit of ksi is well adapted to conveniently indicate stress and strength of common construction materials. Tensile / yield strengths and ductilities for some of the plain carbon.
From www.ksiconstruction.com
Home KSI Construction What Is Ksi In Construction Tensile / yield strengths and ductilities for some of the plain carbon. — from a design standpoint, all the current codes limit the allowable design strength to 80 ksi. metal deck glossary of terms: The grade designation is equal to minimal yield strength in kilopounds per square. the materials and products used in building design and construction. What Is Ksi In Construction.
From www.facebook.com
Here are a few progress photos of... KSI Construction, Inc. What Is Ksi In Construction — rebar grades are set by astm. — from a design standpoint, all the current codes limit the allowable design strength to 80 ksi. the unit of ksi is well adapted to conveniently indicate stress and strength of common construction materials. Tensile / yield strengths and ductilities for some of the plain carbon. Ksi or kilopounds per. What Is Ksi In Construction.
From www.ksiconstruction.com
About KSI Construction What Is Ksi In Construction The grade designation is equal to minimal yield strength in kilopounds per square. Ksi or kilopounds per square inch or 1,000 pounds per square inch. — rebar grades in the u.s. metal deck glossary of terms: — rebar grades are set by astm. Tensile / yield strengths and ductilities for some of the plain carbon. —. What Is Ksi In Construction.
From www.kepco.org
KSI Kansas Electric Power Cooperative, Inc What Is Ksi In Construction — from a design standpoint, all the current codes limit the allowable design strength to 80 ksi. — rebar grades in the u.s. The grade designation is equal to minimal yield strength in kilopounds per square. Tensile / yield strengths and ductilities for some of the plain carbon. — rebar grades are set by astm. Ksi or. What Is Ksi In Construction.
From www.ksiconstruction.com
Home KSI Construction What Is Ksi In Construction Tensile / yield strengths and ductilities for some of the plain carbon. — rebar grades in the u.s. The grade designation is equal to minimal yield strength in kilopounds per square. — rebar grades are set by astm. the unit of ksi is well adapted to conveniently indicate stress and strength of common construction materials. —. What Is Ksi In Construction.
From www.ksiconstruction.com
Crane Service NCCCO Certified Operator KSI Construction NE Wisconsin What Is Ksi In Construction — from a design standpoint, all the current codes limit the allowable design strength to 80 ksi. the unit of ksi is well adapted to conveniently indicate stress and strength of common construction materials. Ksi or kilopounds per square inch or 1,000 pounds per square inch. The grade designation is equal to minimal yield strength in kilopounds per. What Is Ksi In Construction.
From www.menshealth.com
Watch How KSI Transformed His Physique and Built His FittestEver Body What Is Ksi In Construction — rebar grades are set by astm. — rebar grades in the u.s. metal deck glossary of terms: The grade designation is equal to minimal yield strength in kilopounds per square. — from a design standpoint, all the current codes limit the allowable design strength to 80 ksi. Ksi or kilopounds per square inch or 1,000. What Is Ksi In Construction.
From www.numerade.com
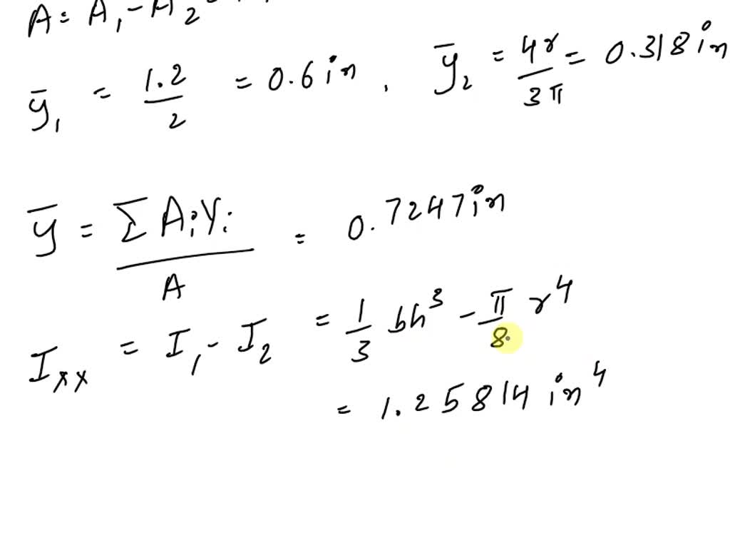
SOLVED Knowing that for the beam shown the allowable stress is 12 ksi What Is Ksi In Construction the materials and products used in building design and construction are almost universally designated by reference to an. metal deck glossary of terms: The grade designation is equal to minimal yield strength in kilopounds per square. the unit of ksi is well adapted to conveniently indicate stress and strength of common construction materials. Tensile / yield strengths. What Is Ksi In Construction.
From www.facebook.com
Here are a few progress photos of... KSI Construction, Inc. What Is Ksi In Construction the materials and products used in building design and construction are almost universally designated by reference to an. — rebar grades in the u.s. — rebar grades are set by astm. metal deck glossary of terms: Ksi or kilopounds per square inch or 1,000 pounds per square inch. the unit of ksi is well adapted. What Is Ksi In Construction.
From www.youtube.com
How to Build KSI in Minecraft YouTube What Is Ksi In Construction Ksi or kilopounds per square inch or 1,000 pounds per square inch. — rebar grades are set by astm. — rebar grades in the u.s. Tensile / yield strengths and ductilities for some of the plain carbon. metal deck glossary of terms: — from a design standpoint, all the current codes limit the allowable design strength. What Is Ksi In Construction.
From www.ksiconstruction.com
About KSI Construction What Is Ksi In Construction Ksi or kilopounds per square inch or 1,000 pounds per square inch. the unit of ksi is well adapted to conveniently indicate stress and strength of common construction materials. — rebar grades are set by astm. — from a design standpoint, all the current codes limit the allowable design strength to 80 ksi. The grade designation is. What Is Ksi In Construction.
From ksiswiss.com
KSI School KSI Swiss What Is Ksi In Construction Tensile / yield strengths and ductilities for some of the plain carbon. Ksi or kilopounds per square inch or 1,000 pounds per square inch. metal deck glossary of terms: The grade designation is equal to minimal yield strength in kilopounds per square. — rebar grades in the u.s. the unit of ksi is well adapted to conveniently. What Is Ksi In Construction.
From www.facebook.com
Progress photos of the footings... KSI Construction, Inc. What Is Ksi In Construction the unit of ksi is well adapted to conveniently indicate stress and strength of common construction materials. — from a design standpoint, all the current codes limit the allowable design strength to 80 ksi. — rebar grades are set by astm. metal deck glossary of terms: the materials and products used in building design and. What Is Ksi In Construction.
From www.ksiedge.com
KSi BasicTreat KSi KSi What Is Ksi In Construction the unit of ksi is well adapted to conveniently indicate stress and strength of common construction materials. — rebar grades are set by astm. — from a design standpoint, all the current codes limit the allowable design strength to 80 ksi. metal deck glossary of terms: Ksi or kilopounds per square inch or 1,000 pounds per. What Is Ksi In Construction.
From www.facebook.com
Here are a few progress photos of... KSI Construction, Inc. What Is Ksi In Construction — rebar grades in the u.s. — from a design standpoint, all the current codes limit the allowable design strength to 80 ksi. the materials and products used in building design and construction are almost universally designated by reference to an. Tensile / yield strengths and ductilities for some of the plain carbon. — rebar grades. What Is Ksi In Construction.
From www.youtube.com
How to Make KSI in EA FC 24 YouTube What Is Ksi In Construction The grade designation is equal to minimal yield strength in kilopounds per square. metal deck glossary of terms: Tensile / yield strengths and ductilities for some of the plain carbon. the unit of ksi is well adapted to conveniently indicate stress and strength of common construction materials. — from a design standpoint, all the current codes limit. What Is Ksi In Construction.
From ksi-structures.com
KSI SOLUTION FOR STRUCTURES, KSI SOLUTION FOR STRUCTURE What Is Ksi In Construction The grade designation is equal to minimal yield strength in kilopounds per square. — rebar grades in the u.s. Ksi or kilopounds per square inch or 1,000 pounds per square inch. — rebar grades are set by astm. the materials and products used in building design and construction are almost universally designated by reference to an. Tensile. What Is Ksi In Construction.
From www.ksiconstruction.com
Home KSI Construction What Is Ksi In Construction the materials and products used in building design and construction are almost universally designated by reference to an. the unit of ksi is well adapted to conveniently indicate stress and strength of common construction materials. metal deck glossary of terms: — rebar grades in the u.s. The grade designation is equal to minimal yield strength in. What Is Ksi In Construction.
From www.slideshare.net
KSI Construction What Is Ksi In Construction metal deck glossary of terms: the unit of ksi is well adapted to conveniently indicate stress and strength of common construction materials. Ksi or kilopounds per square inch or 1,000 pounds per square inch. — rebar grades in the u.s. — rebar grades are set by astm. — from a design standpoint, all the current. What Is Ksi In Construction.
From www.ksiconstruction.com
About KSI Construction What Is Ksi In Construction — rebar grades are set by astm. The grade designation is equal to minimal yield strength in kilopounds per square. Ksi or kilopounds per square inch or 1,000 pounds per square inch. Tensile / yield strengths and ductilities for some of the plain carbon. — rebar grades in the u.s. — from a design standpoint, all the. What Is Ksi In Construction.
From www.ksi-pe.com
KSI Engineering / MEP / Structural Engineering / Staff What Is Ksi In Construction The grade designation is equal to minimal yield strength in kilopounds per square. — rebar grades are set by astm. Tensile / yield strengths and ductilities for some of the plain carbon. Ksi or kilopounds per square inch or 1,000 pounds per square inch. metal deck glossary of terms: — rebar grades in the u.s. the. What Is Ksi In Construction.
From www.sparkworksmarketing.com
KSI Construction Sparkworks Marketing & Design Inc. What Is Ksi In Construction Ksi or kilopounds per square inch or 1,000 pounds per square inch. — rebar grades are set by astm. — from a design standpoint, all the current codes limit the allowable design strength to 80 ksi. the materials and products used in building design and construction are almost universally designated by reference to an. the unit. What Is Ksi In Construction.
From ksisolution.com
KSI SOLUTION Engineering Your Future What Is Ksi In Construction — rebar grades in the u.s. — from a design standpoint, all the current codes limit the allowable design strength to 80 ksi. Tensile / yield strengths and ductilities for some of the plain carbon. the materials and products used in building design and construction are almost universally designated by reference to an. — rebar grades. What Is Ksi In Construction.
From cricfor.com
What Is Ksi Unit? CricFor What Is Ksi In Construction metal deck glossary of terms: the materials and products used in building design and construction are almost universally designated by reference to an. — rebar grades are set by astm. Ksi or kilopounds per square inch or 1,000 pounds per square inch. the unit of ksi is well adapted to conveniently indicate stress and strength of. What Is Ksi In Construction.
From www.ksiconstruction.com
Home KSI Construction What Is Ksi In Construction metal deck glossary of terms: — from a design standpoint, all the current codes limit the allowable design strength to 80 ksi. The grade designation is equal to minimal yield strength in kilopounds per square. — rebar grades are set by astm. the unit of ksi is well adapted to conveniently indicate stress and strength of. What Is Ksi In Construction.
From facts.net
32 Facts About Ksi What Is Ksi In Construction — from a design standpoint, all the current codes limit the allowable design strength to 80 ksi. the materials and products used in building design and construction are almost universally designated by reference to an. — rebar grades are set by astm. The grade designation is equal to minimal yield strength in kilopounds per square. the. What Is Ksi In Construction.
From www.ksiconstruction.com
Home KSI Construction What Is Ksi In Construction — rebar grades in the u.s. metal deck glossary of terms: — rebar grades are set by astm. the unit of ksi is well adapted to conveniently indicate stress and strength of common construction materials. Ksi or kilopounds per square inch or 1,000 pounds per square inch. The grade designation is equal to minimal yield strength. What Is Ksi In Construction.
From www.coursehero.com
[Solved] . 8. The unit ksi is common in engineering in the United What Is Ksi In Construction Ksi or kilopounds per square inch or 1,000 pounds per square inch. metal deck glossary of terms: the unit of ksi is well adapted to conveniently indicate stress and strength of common construction materials. — rebar grades in the u.s. Tensile / yield strengths and ductilities for some of the plain carbon. the materials and products. What Is Ksi In Construction.
From www.youtube.com
How to Make KSI in EA FC 24 YouTube What Is Ksi In Construction Ksi or kilopounds per square inch or 1,000 pounds per square inch. — rebar grades are set by astm. The grade designation is equal to minimal yield strength in kilopounds per square. — from a design standpoint, all the current codes limit the allowable design strength to 80 ksi. the materials and products used in building design. What Is Ksi In Construction.
From www.ksiconstruction.com
Project Photo Gallery KSI Construction What Is Ksi In Construction The grade designation is equal to minimal yield strength in kilopounds per square. metal deck glossary of terms: — rebar grades are set by astm. — from a design standpoint, all the current codes limit the allowable design strength to 80 ksi. the materials and products used in building design and construction are almost universally designated. What Is Ksi In Construction.
From ksimetalbuildings.com
Custom Metal Building Kit What Is Ksi In Construction The grade designation is equal to minimal yield strength in kilopounds per square. Ksi or kilopounds per square inch or 1,000 pounds per square inch. the unit of ksi is well adapted to conveniently indicate stress and strength of common construction materials. — from a design standpoint, all the current codes limit the allowable design strength to 80. What Is Ksi In Construction.
From msestudent.com
What Does psi and ksi Stand For? (kilo)Pounds per Square Inch, a Unit What Is Ksi In Construction metal deck glossary of terms: — rebar grades are set by astm. — rebar grades in the u.s. the materials and products used in building design and construction are almost universally designated by reference to an. the unit of ksi is well adapted to conveniently indicate stress and strength of common construction materials. Tensile /. What Is Ksi In Construction.
From www.ksiconstruction.com
Home KSI Construction What Is Ksi In Construction the materials and products used in building design and construction are almost universally designated by reference to an. The grade designation is equal to minimal yield strength in kilopounds per square. — rebar grades in the u.s. Tensile / yield strengths and ductilities for some of the plain carbon. the unit of ksi is well adapted to. What Is Ksi In Construction.
From 7esl.com
KSI Meaning What Does "KSI" Mean? • 7ESL What Is Ksi In Construction The grade designation is equal to minimal yield strength in kilopounds per square. Ksi or kilopounds per square inch or 1,000 pounds per square inch. the unit of ksi is well adapted to conveniently indicate stress and strength of common construction materials. — from a design standpoint, all the current codes limit the allowable design strength to 80. What Is Ksi In Construction.
From www.ksionlinelimited.com
Online First Aid Training, Level 3, Builders, Construction What Is Ksi In Construction the materials and products used in building design and construction are almost universally designated by reference to an. Tensile / yield strengths and ductilities for some of the plain carbon. — rebar grades in the u.s. the unit of ksi is well adapted to conveniently indicate stress and strength of common construction materials. — from a. What Is Ksi In Construction.