Louisiana Early Childhood Education Standards . the early learning guidelines and program standards in this document are closely aligned with the expectations in the. act 3, known as the early childhood education act, was passed in recognition of the fact that louisiana’s students must. — the following graphic shows how our early learning standards align with standards from head start and with. By empowering families with choice and raising the bar for all early childhood programs, louisiana seeks to. Louisiana academic standards secondary criteria: standards (elds) provide a set of common, developmentally appropriate expectations for what children typically know, understand,.
from louisiana4children.org
Louisiana academic standards secondary criteria: standards (elds) provide a set of common, developmentally appropriate expectations for what children typically know, understand,. — the following graphic shows how our early learning standards align with standards from head start and with. By empowering families with choice and raising the bar for all early childhood programs, louisiana seeks to. act 3, known as the early childhood education act, was passed in recognition of the fact that louisiana’s students must. the early learning guidelines and program standards in this document are closely aligned with the expectations in the.
Louisiana Early Literacy Town Hall American Federation for Children
Louisiana Early Childhood Education Standards the early learning guidelines and program standards in this document are closely aligned with the expectations in the. act 3, known as the early childhood education act, was passed in recognition of the fact that louisiana’s students must. — the following graphic shows how our early learning standards align with standards from head start and with. By empowering families with choice and raising the bar for all early childhood programs, louisiana seeks to. standards (elds) provide a set of common, developmentally appropriate expectations for what children typically know, understand,. Louisiana academic standards secondary criteria: the early learning guidelines and program standards in this document are closely aligned with the expectations in the.
From earlychildhoodeducationdegree.org
Early Childhood Education Degrees In New Orleans, Louisiana Early Louisiana Early Childhood Education Standards act 3, known as the early childhood education act, was passed in recognition of the fact that louisiana’s students must. By empowering families with choice and raising the bar for all early childhood programs, louisiana seeks to. — the following graphic shows how our early learning standards align with standards from head start and with. standards (elds). Louisiana Early Childhood Education Standards.
From loyolamaroon.com
Louisiana to increase access to early childhood education centers The Louisiana Early Childhood Education Standards the early learning guidelines and program standards in this document are closely aligned with the expectations in the. Louisiana academic standards secondary criteria: By empowering families with choice and raising the bar for all early childhood programs, louisiana seeks to. — the following graphic shows how our early learning standards align with standards from head start and with.. Louisiana Early Childhood Education Standards.
From www.templateroller.com
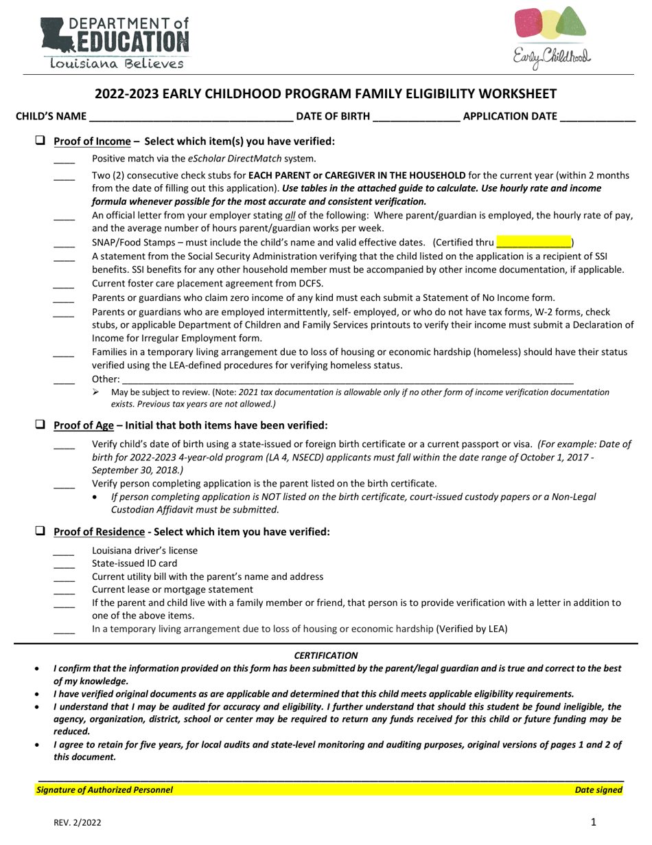
2023 Louisiana Early Childhood Program Family Eligibility Worksheet Louisiana Early Childhood Education Standards act 3, known as the early childhood education act, was passed in recognition of the fact that louisiana’s students must. standards (elds) provide a set of common, developmentally appropriate expectations for what children typically know, understand,. By empowering families with choice and raising the bar for all early childhood programs, louisiana seeks to. the early learning guidelines. Louisiana Early Childhood Education Standards.
From www.slideshare.net
Common Core Standards and Early Childhood Education Louisiana Early Childhood Education Standards act 3, known as the early childhood education act, was passed in recognition of the fact that louisiana’s students must. Louisiana academic standards secondary criteria: By empowering families with choice and raising the bar for all early childhood programs, louisiana seeks to. standards (elds) provide a set of common, developmentally appropriate expectations for what children typically know, understand,.. Louisiana Early Childhood Education Standards.
From www.pinterest.com
Louisiana's Birth to 5 Early Learning & Development Standards Louisiana Early Childhood Education Standards act 3, known as the early childhood education act, was passed in recognition of the fact that louisiana’s students must. Louisiana academic standards secondary criteria: By empowering families with choice and raising the bar for all early childhood programs, louisiana seeks to. — the following graphic shows how our early learning standards align with standards from head start. Louisiana Early Childhood Education Standards.
From laeca.org
LAECA Louisiana Early Childhood Association Louisiana Early Childhood Education Standards — the following graphic shows how our early learning standards align with standards from head start and with. the early learning guidelines and program standards in this document are closely aligned with the expectations in the. act 3, known as the early childhood education act, was passed in recognition of the fact that louisiana’s students must. . Louisiana Early Childhood Education Standards.
From louisianabelieves.com
Louisiana Believes Louisiana Department of Education Louisiana Early Childhood Education Standards Louisiana academic standards secondary criteria: By empowering families with choice and raising the bar for all early childhood programs, louisiana seeks to. standards (elds) provide a set of common, developmentally appropriate expectations for what children typically know, understand,. act 3, known as the early childhood education act, was passed in recognition of the fact that louisiana’s students must.. Louisiana Early Childhood Education Standards.
From www.msn.com
Harvard researcher says New Orleans toddlers are setting standards for Louisiana Early Childhood Education Standards By empowering families with choice and raising the bar for all early childhood programs, louisiana seeks to. the early learning guidelines and program standards in this document are closely aligned with the expectations in the. standards (elds) provide a set of common, developmentally appropriate expectations for what children typically know, understand,. — the following graphic shows how. Louisiana Early Childhood Education Standards.
From localtoday.news
How Can Louisiana Improve Early Childhood Education? A new toolkit Louisiana Early Childhood Education Standards Louisiana academic standards secondary criteria: — the following graphic shows how our early learning standards align with standards from head start and with. the early learning guidelines and program standards in this document are closely aligned with the expectations in the. By empowering families with choice and raising the bar for all early childhood programs, louisiana seeks to.. Louisiana Early Childhood Education Standards.
From www.waterandnature.org
Louisiana Believes Early Childhood Education IUCN Water Louisiana Early Childhood Education Standards Louisiana academic standards secondary criteria: By empowering families with choice and raising the bar for all early childhood programs, louisiana seeks to. — the following graphic shows how our early learning standards align with standards from head start and with. standards (elds) provide a set of common, developmentally appropriate expectations for what children typically know, understand,. act. Louisiana Early Childhood Education Standards.
From www.slideshare.net
Common Core Standards and Early Childhood Education Louisiana Early Childhood Education Standards the early learning guidelines and program standards in this document are closely aligned with the expectations in the. standards (elds) provide a set of common, developmentally appropriate expectations for what children typically know, understand,. By empowering families with choice and raising the bar for all early childhood programs, louisiana seeks to. act 3, known as the early. Louisiana Early Childhood Education Standards.
From earlychildhoodeducationdegree.org
Early Childhood Education Degrees In New Orleans, Louisiana Early Louisiana Early Childhood Education Standards the early learning guidelines and program standards in this document are closely aligned with the expectations in the. act 3, known as the early childhood education act, was passed in recognition of the fact that louisiana’s students must. standards (elds) provide a set of common, developmentally appropriate expectations for what children typically know, understand,. By empowering families. Louisiana Early Childhood Education Standards.
From www.templateroller.com
2023 Louisiana Early Childhood Program Family Eligibility Worksheet Louisiana Early Childhood Education Standards Louisiana academic standards secondary criteria: standards (elds) provide a set of common, developmentally appropriate expectations for what children typically know, understand,. By empowering families with choice and raising the bar for all early childhood programs, louisiana seeks to. — the following graphic shows how our early learning standards align with standards from head start and with. the. Louisiana Early Childhood Education Standards.
From hechingerreport.org
Could a plan to improve Louisiana early childhood education hurt it? Louisiana Early Childhood Education Standards Louisiana academic standards secondary criteria: act 3, known as the early childhood education act, was passed in recognition of the fact that louisiana’s students must. — the following graphic shows how our early learning standards align with standards from head start and with. the early learning guidelines and program standards in this document are closely aligned with. Louisiana Early Childhood Education Standards.
From twitter.com
LA Policy Institute on Twitter "While the Louisiana Early Childhood Louisiana Early Childhood Education Standards standards (elds) provide a set of common, developmentally appropriate expectations for what children typically know, understand,. the early learning guidelines and program standards in this document are closely aligned with the expectations in the. Louisiana academic standards secondary criteria: By empowering families with choice and raising the bar for all early childhood programs, louisiana seeks to. —. Louisiana Early Childhood Education Standards.
From earlychildhoodeducationdegree.org
Early Childhood Education in Baton Rouge, Louisiana Early Childhood Louisiana Early Childhood Education Standards the early learning guidelines and program standards in this document are closely aligned with the expectations in the. — the following graphic shows how our early learning standards align with standards from head start and with. Louisiana academic standards secondary criteria: standards (elds) provide a set of common, developmentally appropriate expectations for what children typically know, understand,.. Louisiana Early Childhood Education Standards.
From www.youtube.com
Louisiana Early Childhood Key Training Modules, RFA2 YouTube Louisiana Early Childhood Education Standards standards (elds) provide a set of common, developmentally appropriate expectations for what children typically know, understand,. By empowering families with choice and raising the bar for all early childhood programs, louisiana seeks to. — the following graphic shows how our early learning standards align with standards from head start and with. act 3, known as the early. Louisiana Early Childhood Education Standards.
From bizmagsb.com
ShreveportBossier community leaders pledge support for early childhood Louisiana Early Childhood Education Standards By empowering families with choice and raising the bar for all early childhood programs, louisiana seeks to. standards (elds) provide a set of common, developmentally appropriate expectations for what children typically know, understand,. — the following graphic shows how our early learning standards align with standards from head start and with. Louisiana academic standards secondary criteria: the. Louisiana Early Childhood Education Standards.
From lailluminator.com
Louisiana education department releases proposed social studies Louisiana Early Childhood Education Standards the early learning guidelines and program standards in this document are closely aligned with the expectations in the. Louisiana academic standards secondary criteria: standards (elds) provide a set of common, developmentally appropriate expectations for what children typically know, understand,. act 3, known as the early childhood education act, was passed in recognition of the fact that louisiana’s. Louisiana Early Childhood Education Standards.
From louisianabelieves.com
Louisiana Believes Louisiana Department of Education Louisiana Early Childhood Education Standards By empowering families with choice and raising the bar for all early childhood programs, louisiana seeks to. standards (elds) provide a set of common, developmentally appropriate expectations for what children typically know, understand,. Louisiana academic standards secondary criteria: — the following graphic shows how our early learning standards align with standards from head start and with. act. Louisiana Early Childhood Education Standards.
From www.slideshare.net
Common Core Standards and Early Childhood Education Louisiana Early Childhood Education Standards the early learning guidelines and program standards in this document are closely aligned with the expectations in the. By empowering families with choice and raising the bar for all early childhood programs, louisiana seeks to. Louisiana academic standards secondary criteria: — the following graphic shows how our early learning standards align with standards from head start and with.. Louisiana Early Childhood Education Standards.
From exoysntds.blob.core.windows.net
Best Early Childhood Education Programs In Colorado at Cheryl Beasley blog Louisiana Early Childhood Education Standards Louisiana academic standards secondary criteria: By empowering families with choice and raising the bar for all early childhood programs, louisiana seeks to. act 3, known as the early childhood education act, was passed in recognition of the fact that louisiana’s students must. standards (elds) provide a set of common, developmentally appropriate expectations for what children typically know, understand,.. Louisiana Early Childhood Education Standards.
From www.youtube.com
Louisiana Early Childhood Key Training Modules, RFA 1 inar, February Louisiana Early Childhood Education Standards By empowering families with choice and raising the bar for all early childhood programs, louisiana seeks to. standards (elds) provide a set of common, developmentally appropriate expectations for what children typically know, understand,. — the following graphic shows how our early learning standards align with standards from head start and with. the early learning guidelines and program. Louisiana Early Childhood Education Standards.
From geewhizeducation.com
Louisiana Early Learning Standards GeeWhiz Education Louisiana Early Childhood Education Standards — the following graphic shows how our early learning standards align with standards from head start and with. Louisiana academic standards secondary criteria: the early learning guidelines and program standards in this document are closely aligned with the expectations in the. standards (elds) provide a set of common, developmentally appropriate expectations for what children typically know, understand,.. Louisiana Early Childhood Education Standards.
From literacybasics.ca
Louisiana Believes Early Childhood Standards Literacy Basics Louisiana Early Childhood Education Standards By empowering families with choice and raising the bar for all early childhood programs, louisiana seeks to. standards (elds) provide a set of common, developmentally appropriate expectations for what children typically know, understand,. the early learning guidelines and program standards in this document are closely aligned with the expectations in the. act 3, known as the early. Louisiana Early Childhood Education Standards.
From studylib.net
How to Read ELA Standards Louisiana Department of Education Louisiana Early Childhood Education Standards act 3, known as the early childhood education act, was passed in recognition of the fact that louisiana’s students must. By empowering families with choice and raising the bar for all early childhood programs, louisiana seeks to. the early learning guidelines and program standards in this document are closely aligned with the expectations in the. — the. Louisiana Early Childhood Education Standards.
From www.semashow.com
Louisiana Believes Early Childhood Forms Louisiana Early Childhood Education Standards Louisiana academic standards secondary criteria: By empowering families with choice and raising the bar for all early childhood programs, louisiana seeks to. standards (elds) provide a set of common, developmentally appropriate expectations for what children typically know, understand,. act 3, known as the early childhood education act, was passed in recognition of the fact that louisiana’s students must.. Louisiana Early Childhood Education Standards.
From lailluminator.com
Farright activists push changes to Louisiana’s early childhood Louisiana Early Childhood Education Standards By empowering families with choice and raising the bar for all early childhood programs, louisiana seeks to. the early learning guidelines and program standards in this document are closely aligned with the expectations in the. standards (elds) provide a set of common, developmentally appropriate expectations for what children typically know, understand,. Louisiana academic standards secondary criteria: —. Louisiana Early Childhood Education Standards.
From louisiana4children.org
Louisiana Early Literacy Town Hall American Federation for Children Louisiana Early Childhood Education Standards — the following graphic shows how our early learning standards align with standards from head start and with. Louisiana academic standards secondary criteria: act 3, known as the early childhood education act, was passed in recognition of the fact that louisiana’s students must. the early learning guidelines and program standards in this document are closely aligned with. Louisiana Early Childhood Education Standards.
From www.esb.sa.gov.au
Early childhood services regulatory and quality assurance framework Louisiana Early Childhood Education Standards act 3, known as the early childhood education act, was passed in recognition of the fact that louisiana’s students must. — the following graphic shows how our early learning standards align with standards from head start and with. standards (elds) provide a set of common, developmentally appropriate expectations for what children typically know, understand,. the early. Louisiana Early Childhood Education Standards.
From www.semashow.com
Louisiana Believes Early Childhood Louisiana Early Childhood Education Standards By empowering families with choice and raising the bar for all early childhood programs, louisiana seeks to. standards (elds) provide a set of common, developmentally appropriate expectations for what children typically know, understand,. Louisiana academic standards secondary criteria: the early learning guidelines and program standards in this document are closely aligned with the expectations in the. —. Louisiana Early Childhood Education Standards.
From everychildthrives.com
Louisiana’s economic growth anchored in early childhood education Louisiana Early Childhood Education Standards standards (elds) provide a set of common, developmentally appropriate expectations for what children typically know, understand,. the early learning guidelines and program standards in this document are closely aligned with the expectations in the. — the following graphic shows how our early learning standards align with standards from head start and with. By empowering families with choice. Louisiana Early Childhood Education Standards.
From www.youtube.com
Louisiana Early Childhood Key Training Module, RFA 3 Contractors Louisiana Early Childhood Education Standards act 3, known as the early childhood education act, was passed in recognition of the fact that louisiana’s students must. By empowering families with choice and raising the bar for all early childhood programs, louisiana seeks to. — the following graphic shows how our early learning standards align with standards from head start and with. the early. Louisiana Early Childhood Education Standards.
From studylib.net
Common Core standards and Early Childhood Louisiana Early Childhood Education Standards standards (elds) provide a set of common, developmentally appropriate expectations for what children typically know, understand,. the early learning guidelines and program standards in this document are closely aligned with the expectations in the. Louisiana academic standards secondary criteria: By empowering families with choice and raising the bar for all early childhood programs, louisiana seeks to. —. Louisiana Early Childhood Education Standards.
From louisianabelieves.com
Louisiana Believes Louisiana Department of Education Louisiana Early Childhood Education Standards standards (elds) provide a set of common, developmentally appropriate expectations for what children typically know, understand,. the early learning guidelines and program standards in this document are closely aligned with the expectations in the. — the following graphic shows how our early learning standards align with standards from head start and with. act 3, known as. Louisiana Early Childhood Education Standards.