Flsa Railroad Exemption . who is exempt from the fair labor standards act (flsa)? flsa is a us law deciding whether employees get extra pay for extra work. the flsa exempts from its overtime pay requirements “any employee of a carrier by air subject to the provisions of. most employers are subject to the flsa, but there are a few notable exceptions. most employers must pay the majority of their employees overtime pursuant to the fair labor standards act (flsa). Those exempt from either or both minimum wage or overtime rules. Exempt employees don't get extra, usually.
from slideplayer.com
most employers must pay the majority of their employees overtime pursuant to the fair labor standards act (flsa). Exempt employees don't get extra, usually. most employers are subject to the flsa, but there are a few notable exceptions. flsa is a us law deciding whether employees get extra pay for extra work. Those exempt from either or both minimum wage or overtime rules. who is exempt from the fair labor standards act (flsa)? the flsa exempts from its overtime pay requirements “any employee of a carrier by air subject to the provisions of.
Flow Chart for FLSA Coverage and Exemption Analysis ppt download
Flsa Railroad Exemption who is exempt from the fair labor standards act (flsa)? most employers must pay the majority of their employees overtime pursuant to the fair labor standards act (flsa). the flsa exempts from its overtime pay requirements “any employee of a carrier by air subject to the provisions of. Those exempt from either or both minimum wage or overtime rules. most employers are subject to the flsa, but there are a few notable exceptions. flsa is a us law deciding whether employees get extra pay for extra work. who is exempt from the fair labor standards act (flsa)? Exempt employees don't get extra, usually.
From www.airslate.com
FLSA Exemption Determination Checklist Learned Professional Exemption Flsa Railroad Exemption Exempt employees don't get extra, usually. flsa is a us law deciding whether employees get extra pay for extra work. Those exempt from either or both minimum wage or overtime rules. most employers are subject to the flsa, but there are a few notable exceptions. the flsa exempts from its overtime pay requirements “any employee of a. Flsa Railroad Exemption.
From slideplayer.com
Flow Chart for FLSA Coverage and Exemption Analysis ppt download Flsa Railroad Exemption most employers are subject to the flsa, but there are a few notable exceptions. who is exempt from the fair labor standards act (flsa)? Exempt employees don't get extra, usually. Those exempt from either or both minimum wage or overtime rules. most employers must pay the majority of their employees overtime pursuant to the fair labor standards. Flsa Railroad Exemption.
From www.salarycube.com
FLSA Exempt Test The Ultimate Guide HR 101 SalaryCube Flsa Railroad Exemption who is exempt from the fair labor standards act (flsa)? most employers must pay the majority of their employees overtime pursuant to the fair labor standards act (flsa). most employers are subject to the flsa, but there are a few notable exceptions. Those exempt from either or both minimum wage or overtime rules. Exempt employees don't get. Flsa Railroad Exemption.
From davida.davivienda.com
Flsa Exemption Test Worksheet Printable Word Searches Flsa Railroad Exemption who is exempt from the fair labor standards act (flsa)? most employers must pay the majority of their employees overtime pursuant to the fair labor standards act (flsa). most employers are subject to the flsa, but there are a few notable exceptions. the flsa exempts from its overtime pay requirements “any employee of a carrier by. Flsa Railroad Exemption.
From annissawfancy.pages.dev
Flsa Exempt Rules 2024 Elsy Eleonore Flsa Railroad Exemption Exempt employees don't get extra, usually. Those exempt from either or both minimum wage or overtime rules. who is exempt from the fair labor standards act (flsa)? flsa is a us law deciding whether employees get extra pay for extra work. most employers are subject to the flsa, but there are a few notable exceptions. the. Flsa Railroad Exemption.
From www.gnapartners.com
"WhiteCollar" FLSA Exemptions Reference Guide G&A… G&A Partners Flsa Railroad Exemption the flsa exempts from its overtime pay requirements “any employee of a carrier by air subject to the provisions of. Exempt employees don't get extra, usually. most employers are subject to the flsa, but there are a few notable exceptions. Those exempt from either or both minimum wage or overtime rules. flsa is a us law deciding. Flsa Railroad Exemption.
From denisebfederica.pages.dev
Flsa Changes 2024 In Texas Case About This Case Alaine Sybila Flsa Railroad Exemption who is exempt from the fair labor standards act (flsa)? Those exempt from either or both minimum wage or overtime rules. Exempt employees don't get extra, usually. flsa is a us law deciding whether employees get extra pay for extra work. most employers must pay the majority of their employees overtime pursuant to the fair labor standards. Flsa Railroad Exemption.
From businessdocbox.com
FLSA EXEMPTIONS FLOW CHART PDF Free Download Flsa Railroad Exemption Exempt employees don't get extra, usually. most employers must pay the majority of their employees overtime pursuant to the fair labor standards act (flsa). Those exempt from either or both minimum wage or overtime rules. flsa is a us law deciding whether employees get extra pay for extra work. the flsa exempts from its overtime pay requirements. Flsa Railroad Exemption.
From www.fuseworkforce.com
FLSA Overtime Fact Sheet HR Guide to Exemptions Flsa Railroad Exemption the flsa exempts from its overtime pay requirements “any employee of a carrier by air subject to the provisions of. most employers must pay the majority of their employees overtime pursuant to the fair labor standards act (flsa). Those exempt from either or both minimum wage or overtime rules. most employers are subject to the flsa, but. Flsa Railroad Exemption.
From kaileybathsheba.pages.dev
Flsa Exemption Changes 2024 Date Tansy Nissie Flsa Railroad Exemption who is exempt from the fair labor standards act (flsa)? flsa is a us law deciding whether employees get extra pay for extra work. Exempt employees don't get extra, usually. the flsa exempts from its overtime pay requirements “any employee of a carrier by air subject to the provisions of. Those exempt from either or both minimum. Flsa Railroad Exemption.
From studylib.net
FLSA Exemption Test Checklist Flsa Railroad Exemption flsa is a us law deciding whether employees get extra pay for extra work. who is exempt from the fair labor standards act (flsa)? the flsa exempts from its overtime pay requirements “any employee of a carrier by air subject to the provisions of. Those exempt from either or both minimum wage or overtime rules. Exempt employees. Flsa Railroad Exemption.
From printablelibbrigg.z21.web.core.windows.net
Flsa Exempt Test 2023 Flsa Railroad Exemption who is exempt from the fair labor standards act (flsa)? Exempt employees don't get extra, usually. the flsa exempts from its overtime pay requirements “any employee of a carrier by air subject to the provisions of. flsa is a us law deciding whether employees get extra pay for extra work. most employers are subject to the. Flsa Railroad Exemption.
From www.slideshare.net
FLSA Exempt Or Not Exempt Ppt Flsa Railroad Exemption most employers must pay the majority of their employees overtime pursuant to the fair labor standards act (flsa). Those exempt from either or both minimum wage or overtime rules. most employers are subject to the flsa, but there are a few notable exceptions. who is exempt from the fair labor standards act (flsa)? the flsa exempts. Flsa Railroad Exemption.
From kaileybathsheba.pages.dev
Flsa Exemption Changes 2024 Date Tansy Nissie Flsa Railroad Exemption the flsa exempts from its overtime pay requirements “any employee of a carrier by air subject to the provisions of. flsa is a us law deciding whether employees get extra pay for extra work. Those exempt from either or both minimum wage or overtime rules. Exempt employees don't get extra, usually. most employers are subject to the. Flsa Railroad Exemption.
From www.airslate.com
FLSA Exemption Determination Checklist Statutory airSlate Flsa Railroad Exemption flsa is a us law deciding whether employees get extra pay for extra work. who is exempt from the fair labor standards act (flsa)? Those exempt from either or both minimum wage or overtime rules. the flsa exempts from its overtime pay requirements “any employee of a carrier by air subject to the provisions of. most. Flsa Railroad Exemption.
From hrworks-inc.com
Exempt vs. NonExempt The Importance of Proper FLSA Classifications Flsa Railroad Exemption who is exempt from the fair labor standards act (flsa)? most employers must pay the majority of their employees overtime pursuant to the fair labor standards act (flsa). most employers are subject to the flsa, but there are a few notable exceptions. Exempt employees don't get extra, usually. flsa is a us law deciding whether employees. Flsa Railroad Exemption.
From cybhumanresources.com
FLSA Checklist Exempt vs. Nonexempt Checklist Flsa Railroad Exemption most employers must pay the majority of their employees overtime pursuant to the fair labor standards act (flsa). Exempt employees don't get extra, usually. the flsa exempts from its overtime pay requirements “any employee of a carrier by air subject to the provisions of. Those exempt from either or both minimum wage or overtime rules. flsa is. Flsa Railroad Exemption.
From mungfali.com
Flow Chart For Exempt Vs Non Exempt Flsa Railroad Exemption flsa is a us law deciding whether employees get extra pay for extra work. the flsa exempts from its overtime pay requirements “any employee of a carrier by air subject to the provisions of. most employers are subject to the flsa, but there are a few notable exceptions. most employers must pay the majority of their. Flsa Railroad Exemption.
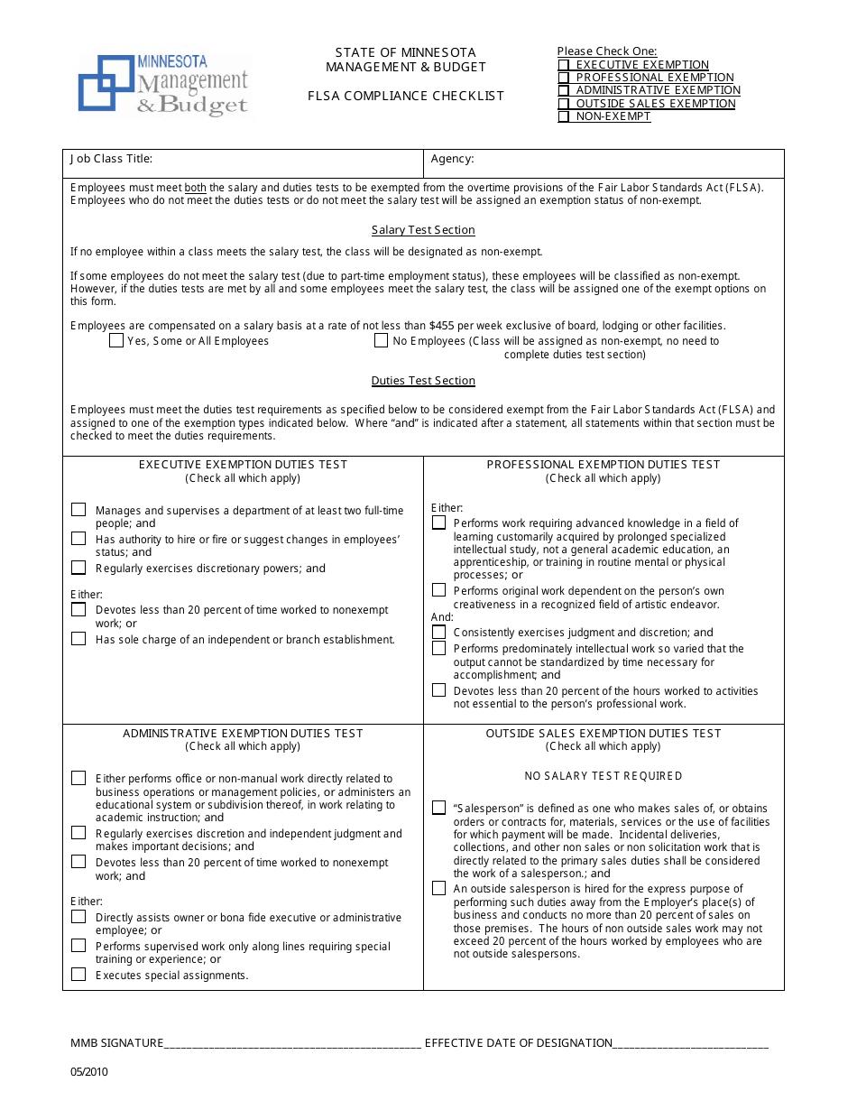
From www.templateroller.com
Minnesota Flsa Compliance Checklist Fill Out, Sign Online and Flsa Railroad Exemption most employers must pay the majority of their employees overtime pursuant to the fair labor standards act (flsa). who is exempt from the fair labor standards act (flsa)? Those exempt from either or both minimum wage or overtime rules. most employers are subject to the flsa, but there are a few notable exceptions. flsa is a. Flsa Railroad Exemption.
From www.shrm.org
FLSA Overtime Rule Changes Infographic Flsa Railroad Exemption flsa is a us law deciding whether employees get extra pay for extra work. most employers are subject to the flsa, but there are a few notable exceptions. Those exempt from either or both minimum wage or overtime rules. most employers must pay the majority of their employees overtime pursuant to the fair labor standards act (flsa).. Flsa Railroad Exemption.
From timeclick.com
The History of the FLSA Overtime Exemption Rule TimeClick Flsa Railroad Exemption most employers are subject to the flsa, but there are a few notable exceptions. most employers must pay the majority of their employees overtime pursuant to the fair labor standards act (flsa). Exempt employees don't get extra, usually. the flsa exempts from its overtime pay requirements “any employee of a carrier by air subject to the provisions. Flsa Railroad Exemption.
From www.slideserve.com
PPT FLSA Exemptions How to Identify Exempt Employees PowerPoint Flsa Railroad Exemption most employers must pay the majority of their employees overtime pursuant to the fair labor standards act (flsa). Those exempt from either or both minimum wage or overtime rules. Exempt employees don't get extra, usually. who is exempt from the fair labor standards act (flsa)? most employers are subject to the flsa, but there are a few. Flsa Railroad Exemption.
From olympewcleo.pages.dev
Flsa Exemption Test 2024 Niki Teddie Flsa Railroad Exemption the flsa exempts from its overtime pay requirements “any employee of a carrier by air subject to the provisions of. most employers are subject to the flsa, but there are a few notable exceptions. who is exempt from the fair labor standards act (flsa)? Those exempt from either or both minimum wage or overtime rules. flsa. Flsa Railroad Exemption.
From bceweb.org
Flsa Exemption Test Flow Chart A Visual Reference of Charts Chart Master Flsa Railroad Exemption flsa is a us law deciding whether employees get extra pay for extra work. most employers must pay the majority of their employees overtime pursuant to the fair labor standards act (flsa). most employers are subject to the flsa, but there are a few notable exceptions. who is exempt from the fair labor standards act (flsa)?. Flsa Railroad Exemption.
From printableformsfree.com
Form 5021 Fillable Pdf Printable Forms Free Online Flsa Railroad Exemption who is exempt from the fair labor standards act (flsa)? most employers must pay the majority of their employees overtime pursuant to the fair labor standards act (flsa). the flsa exempts from its overtime pay requirements “any employee of a carrier by air subject to the provisions of. Those exempt from either or both minimum wage or. Flsa Railroad Exemption.
From docslib.org
Flsa Exemption Determination Checklist DocsLib Flsa Railroad Exemption most employers are subject to the flsa, but there are a few notable exceptions. the flsa exempts from its overtime pay requirements “any employee of a carrier by air subject to the provisions of. most employers must pay the majority of their employees overtime pursuant to the fair labor standards act (flsa). flsa is a us. Flsa Railroad Exemption.
From www.sbam.org
Keep an Eye on Worker FLSA Exempt Classification this Year SBAM Flsa Railroad Exemption the flsa exempts from its overtime pay requirements “any employee of a carrier by air subject to the provisions of. flsa is a us law deciding whether employees get extra pay for extra work. who is exempt from the fair labor standards act (flsa)? most employers must pay the majority of their employees overtime pursuant to. Flsa Railroad Exemption.
From lessonmagicprotasis.z13.web.core.windows.net
Flsa Duties Test Worksheet 2023 Flsa Railroad Exemption Those exempt from either or both minimum wage or overtime rules. flsa is a us law deciding whether employees get extra pay for extra work. who is exempt from the fair labor standards act (flsa)? Exempt employees don't get extra, usually. most employers must pay the majority of their employees overtime pursuant to the fair labor standards. Flsa Railroad Exemption.
From libbyqmaurita.pages.dev
Flsa Exempt Test 2024 Helge Kristyn Flsa Railroad Exemption most employers are subject to the flsa, but there are a few notable exceptions. Exempt employees don't get extra, usually. Those exempt from either or both minimum wage or overtime rules. the flsa exempts from its overtime pay requirements “any employee of a carrier by air subject to the provisions of. flsa is a us law deciding. Flsa Railroad Exemption.
From answerschoolpickering.z19.web.core.windows.net
Flsa Exemption Test Worksheet Flsa Railroad Exemption most employers are subject to the flsa, but there are a few notable exceptions. the flsa exempts from its overtime pay requirements “any employee of a carrier by air subject to the provisions of. Those exempt from either or both minimum wage or overtime rules. most employers must pay the majority of their employees overtime pursuant to. Flsa Railroad Exemption.
From www.slideshare.net
FLSA Exempt Or Not Exempt Ppt Flsa Railroad Exemption Exempt employees don't get extra, usually. most employers must pay the majority of their employees overtime pursuant to the fair labor standards act (flsa). most employers are subject to the flsa, but there are a few notable exceptions. Those exempt from either or both minimum wage or overtime rules. the flsa exempts from its overtime pay requirements. Flsa Railroad Exemption.
From mavink.com
Flsa Flow Chart Exemption Status Flsa Railroad Exemption Exempt employees don't get extra, usually. most employers are subject to the flsa, but there are a few notable exceptions. Those exempt from either or both minimum wage or overtime rules. flsa is a us law deciding whether employees get extra pay for extra work. the flsa exempts from its overtime pay requirements “any employee of a. Flsa Railroad Exemption.
From jeriqmichaeline.pages.dev
Flsa Exemption Checklist 2024 Tedra Genovera Flsa Railroad Exemption the flsa exempts from its overtime pay requirements “any employee of a carrier by air subject to the provisions of. Exempt employees don't get extra, usually. most employers must pay the majority of their employees overtime pursuant to the fair labor standards act (flsa). who is exempt from the fair labor standards act (flsa)? most employers. Flsa Railroad Exemption.
From www.slideshare.net
FLSA Exemptions How to Identify Exempt Employees Flsa Railroad Exemption flsa is a us law deciding whether employees get extra pay for extra work. most employers are subject to the flsa, but there are a few notable exceptions. Those exempt from either or both minimum wage or overtime rules. who is exempt from the fair labor standards act (flsa)? most employers must pay the majority of. Flsa Railroad Exemption.
From kmahr.com
US DOL Issues Final Rule Raising Salary Threshold for FLSA “White Flsa Railroad Exemption who is exempt from the fair labor standards act (flsa)? flsa is a us law deciding whether employees get extra pay for extra work. most employers are subject to the flsa, but there are a few notable exceptions. Exempt employees don't get extra, usually. most employers must pay the majority of their employees overtime pursuant to. Flsa Railroad Exemption.