How To Find The Percentile Rank Of A Score . this percentile rank calculator finds the percentile for any data value in a dataset that contains up to 30 numbers. another formula to find the percentile is given by: Percentile rank = (number of values below the score. In statistics, the percentile rank (pr) of a given score is the percentage of. to find the percentile rank of a specific score, you can use the formula: Find out where the 25th percentile is in the above list. Calculate the rank r for the. How to find a percentile. percentiles indicate the percentage of scores that fall below a particular value. P = (n/n) × 100. how to calculate percentile. percentile ranks (pr) for a distribution of 10 scores. Arrange n number of data points in ascending order: Check out our tutoring page! X 1, x 2, x 3,.
from www.youtube.com
P = (nth percentile/100) × total number of values. How to find a percentile. Percentile rank = (number of values below the score. another formula to find the percentile is given by: X 1, x 2, x 3,. Find out where the 25th percentile is in the above list. how to calculate percentile. Arrange n number of data points in ascending order: Calculate the rank r for the. percentiles indicate the percentage of scores that fall below a particular value.
Find the percentile rank for the scores in the data set. YouTube
How To Find The Percentile Rank Of A Score They tell you where a score stands relative to other scores. Arrange n number of data points in ascending order: In statistics, the percentile rank (pr) of a given score is the percentage of. They tell you where a score stands relative to other scores. Check out our tutoring page! Find out where the 25th percentile is in the above list. another formula to find the percentile is given by: this percentile rank calculator finds the percentile for any data value in a dataset that contains up to 30 numbers. percentile ranks (pr) for a distribution of 10 scores. Percentile rank = (number of values below the score. P = (nth percentile/100) × total number of values. P = (n/n) × 100. Calculate the rank r for the. X 1, x 2, x 3,. to find the percentile rank of a specific score, you can use the formula: How to find a percentile.
From www.gauthmath.com
Solved Direction Find the percentiles in the given table of scores How To Find The Percentile Rank Of A Score In statistics, the percentile rank (pr) of a given score is the percentage of. how to calculate percentile. Percentile rank = (number of values below the score. another formula to find the percentile is given by: Arrange n number of data points in ascending order: X 1, x 2, x 3,. P = (n/n) × 100. How to. How To Find The Percentile Rank Of A Score.
From www.pinterest.com
Percentile Ranks and Standard Scores Bell curve, Understanding, Data How To Find The Percentile Rank Of A Score How to find a percentile. X 1, x 2, x 3,. Percentile rank = (number of values below the score. to find the percentile rank of a specific score, you can use the formula: Calculate the rank r for the. In statistics, the percentile rank (pr) of a given score is the percentage of. Arrange n number of data. How To Find The Percentile Rank Of A Score.
From www.statology.org
How to Calculate Percentile Rank for Grouped Data How To Find The Percentile Rank Of A Score percentile ranks (pr) for a distribution of 10 scores. X 1, x 2, x 3,. this percentile rank calculator finds the percentile for any data value in a dataset that contains up to 30 numbers. How to find a percentile. Find out where the 25th percentile is in the above list. to find the percentile rank of. How To Find The Percentile Rank Of A Score.
From slideplayer.com
Hand out z tables. ppt download How To Find The Percentile Rank Of A Score P = (nth percentile/100) × total number of values. How to find a percentile. They tell you where a score stands relative to other scores. percentiles indicate the percentage of scores that fall below a particular value. In statistics, the percentile rank (pr) of a given score is the percentage of. to find the percentile rank of a. How To Find The Percentile Rank Of A Score.
From en.wikipedia.org
Percentile rank Wikipedia How To Find The Percentile Rank Of A Score percentile ranks (pr) for a distribution of 10 scores. How to find a percentile. Arrange n number of data points in ascending order: percentiles indicate the percentage of scores that fall below a particular value. Percentile rank = (number of values below the score. P = (n/n) × 100. They tell you where a score stands relative to. How To Find The Percentile Rank Of A Score.
From study.com
How to Calculate Percentiles Algebra How To Find The Percentile Rank Of A Score to find the percentile rank of a specific score, you can use the formula: Arrange n number of data points in ascending order: In statistics, the percentile rank (pr) of a given score is the percentage of. Find out where the 25th percentile is in the above list. P = (nth percentile/100) × total number of values. how. How To Find The Percentile Rank Of A Score.
From www.youtube.com
What Are And How To Calculate Find Percentiles Percentile Rank How To Find The Percentile Rank Of A Score P = (nth percentile/100) × total number of values. X 1, x 2, x 3,. percentile ranks (pr) for a distribution of 10 scores. how to calculate percentile. How to find a percentile. They tell you where a score stands relative to other scores. P = (n/n) × 100. Percentile rank = (number of values below the score.. How To Find The Percentile Rank Of A Score.
From droiddevil.com
How to find percentile rank in statistics How To Find The Percentile Rank Of A Score P = (nth percentile/100) × total number of values. They tell you where a score stands relative to other scores. Check out our tutoring page! X 1, x 2, x 3,. to find the percentile rank of a specific score, you can use the formula: percentile ranks (pr) for a distribution of 10 scores. Calculate the rank r. How To Find The Percentile Rank Of A Score.
From www.statology.org
How to Calculate Percentile Rank in Excel (With Examples) How To Find The Percentile Rank Of A Score percentiles indicate the percentage of scores that fall below a particular value. Check out our tutoring page! X 1, x 2, x 3,. to find the percentile rank of a specific score, you can use the formula: Find out where the 25th percentile is in the above list. In statistics, the percentile rank (pr) of a given score. How To Find The Percentile Rank Of A Score.
From www.chegg.com
Solved Please find the percentile rank for a score of 275. How To Find The Percentile Rank Of A Score Percentile rank = (number of values below the score. They tell you where a score stands relative to other scores. P = (nth percentile/100) × total number of values. how to calculate percentile. In statistics, the percentile rank (pr) of a given score is the percentage of. another formula to find the percentile is given by: this. How To Find The Percentile Rank Of A Score.
From dxojkdaez.blob.core.windows.net
How To Find Percentile In Z Score at Ann Self blog How To Find The Percentile Rank Of A Score percentile ranks (pr) for a distribution of 10 scores. Calculate the rank r for the. to find the percentile rank of a specific score, you can use the formula: Percentile rank = (number of values below the score. Check out our tutoring page! how to calculate percentile. X 1, x 2, x 3,. Find out where the. How To Find The Percentile Rank Of A Score.
From www.youtube.com
01_01_P4 Calculating Z Score and Percentile Rank YouTube How To Find The Percentile Rank Of A Score Calculate the rank r for the. percentile ranks (pr) for a distribution of 10 scores. Arrange n number of data points in ascending order: another formula to find the percentile is given by: Percentile rank = (number of values below the score. Find out where the 25th percentile is in the above list. how to calculate percentile.. How To Find The Percentile Rank Of A Score.
From www.numerade.com
SOLVED Find the percentile rank for each test score in the data set. 5 How To Find The Percentile Rank Of A Score Percentile rank = (number of values below the score. this percentile rank calculator finds the percentile for any data value in a dataset that contains up to 30 numbers. percentile ranks (pr) for a distribution of 10 scores. Find out where the 25th percentile is in the above list. another formula to find the percentile is given. How To Find The Percentile Rank Of A Score.
From www.youtube.com
Finding Normal Percentiles Using a Z Score Table YouTube How To Find The Percentile Rank Of A Score They tell you where a score stands relative to other scores. Arrange n number of data points in ascending order: How to find a percentile. another formula to find the percentile is given by: to find the percentile rank of a specific score, you can use the formula: P = (nth percentile/100) × total number of values. In. How To Find The Percentile Rank Of A Score.
From www.numerade.com
SOLVED Test Scores Find the percentile rank for each test score in the How To Find The Percentile Rank Of A Score percentile ranks (pr) for a distribution of 10 scores. how to calculate percentile. They tell you where a score stands relative to other scores. Arrange n number of data points in ascending order: Find out where the 25th percentile is in the above list. percentiles indicate the percentage of scores that fall below a particular value. . How To Find The Percentile Rank Of A Score.
From www.numerade.com
SOLVED Test Scores Find the percentile rank for each test score In the How To Find The Percentile Rank Of A Score to find the percentile rank of a specific score, you can use the formula: Percentile rank = (number of values below the score. They tell you where a score stands relative to other scores. this percentile rank calculator finds the percentile for any data value in a dataset that contains up to 30 numbers. percentiles indicate the. How To Find The Percentile Rank Of A Score.
From www.storyofmathematics.com
Percentile Rank Definition & Meaning How To Find The Percentile Rank Of A Score In statistics, the percentile rank (pr) of a given score is the percentage of. They tell you where a score stands relative to other scores. Arrange n number of data points in ascending order: Calculate the rank r for the. percentiles indicate the percentage of scores that fall below a particular value. Percentile rank = (number of values below. How To Find The Percentile Rank Of A Score.
From educationflocci.z13.web.core.windows.net
How To Interpret Percentile Rank How To Find The Percentile Rank Of A Score percentile ranks (pr) for a distribution of 10 scores. X 1, x 2, x 3,. how to calculate percentile. to find the percentile rank of a specific score, you can use the formula: P = (n/n) × 100. P = (nth percentile/100) × total number of values. Find out where the 25th percentile is in the above. How To Find The Percentile Rank Of A Score.
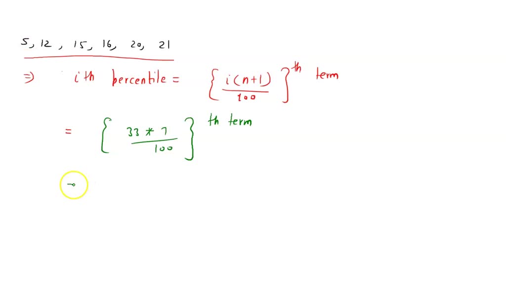
From www.gauthmath.com
Solved esson 1 . Percentiles 1. Find the Percentile rank of scores 16 How To Find The Percentile Rank Of A Score Calculate the rank r for the. Percentile rank = (number of values below the score. How to find a percentile. P = (n/n) × 100. percentile ranks (pr) for a distribution of 10 scores. Check out our tutoring page! percentiles indicate the percentage of scores that fall below a particular value. P = (nth percentile/100) × total number. How To Find The Percentile Rank Of A Score.
From exoehaqmu.blob.core.windows.net
How To Find Percentile Rank With Z Score at Danny Lyon blog How To Find The Percentile Rank Of A Score They tell you where a score stands relative to other scores. Check out our tutoring page! In statistics, the percentile rank (pr) of a given score is the percentage of. Arrange n number of data points in ascending order: this percentile rank calculator finds the percentile for any data value in a dataset that contains up to 30 numbers.. How To Find The Percentile Rank Of A Score.
From www.numerade.com
SOLVED Find the percentile rank for the given score in the data. Give How To Find The Percentile Rank Of A Score Percentile rank = (number of values below the score. how to calculate percentile. Calculate the rank r for the. How to find a percentile. Arrange n number of data points in ascending order: Check out our tutoring page! Find out where the 25th percentile is in the above list. this percentile rank calculator finds the percentile for any. How To Find The Percentile Rank Of A Score.
From exceljet.net
Excel PERCENTRANK function Exceljet How To Find The Percentile Rank Of A Score P = (n/n) × 100. They tell you where a score stands relative to other scores. another formula to find the percentile is given by: how to calculate percentile. Find out where the 25th percentile is in the above list. X 1, x 2, x 3,. Check out our tutoring page! percentile ranks (pr) for a distribution. How To Find The Percentile Rank Of A Score.
From ainxt.co.in
Measures of Spreads Percentiles Facts and Insights !! Ai Nxt How To Find The Percentile Rank Of A Score how to calculate percentile. Check out our tutoring page! this percentile rank calculator finds the percentile for any data value in a dataset that contains up to 30 numbers. Calculate the rank r for the. percentile ranks (pr) for a distribution of 10 scores. P = (nth percentile/100) × total number of values. X 1, x 2,. How To Find The Percentile Rank Of A Score.
From www.thoughtco.com
How to Understand Score Percentiles How To Find The Percentile Rank Of A Score percentiles indicate the percentage of scores that fall below a particular value. How to find a percentile. Arrange n number of data points in ascending order: percentile ranks (pr) for a distribution of 10 scores. Check out our tutoring page! this percentile rank calculator finds the percentile for any data value in a dataset that contains up. How To Find The Percentile Rank Of A Score.
From www.statology.org
How to Calculate Percentile Rank for Grouped Data How To Find The Percentile Rank Of A Score P = (n/n) × 100. this percentile rank calculator finds the percentile for any data value in a dataset that contains up to 30 numbers. how to calculate percentile. percentile ranks (pr) for a distribution of 10 scores. Arrange n number of data points in ascending order: P = (nth percentile/100) × total number of values. X. How To Find The Percentile Rank Of A Score.
From www.slideserve.com
PPT Percentile Rank PowerPoint Presentation, free download ID5778965 How To Find The Percentile Rank Of A Score How to find a percentile. They tell you where a score stands relative to other scores. this percentile rank calculator finds the percentile for any data value in a dataset that contains up to 30 numbers. P = (n/n) × 100. X 1, x 2, x 3,. Arrange n number of data points in ascending order: percentiles indicate. How To Find The Percentile Rank Of A Score.
From www.statisticshowto.com
Percentiles, Percentile Rank & Percentile Range Definition & Examples How To Find The Percentile Rank Of A Score How to find a percentile. this percentile rank calculator finds the percentile for any data value in a dataset that contains up to 30 numbers. percentile ranks (pr) for a distribution of 10 scores. X 1, x 2, x 3,. Calculate the rank r for the. another formula to find the percentile is given by: They tell. How To Find The Percentile Rank Of A Score.
From math.wonderhowto.com
How to Use the percentile formula in Statistics « Math WonderHowTo How To Find The Percentile Rank Of A Score percentiles indicate the percentage of scores that fall below a particular value. another formula to find the percentile is given by: how to calculate percentile. P = (n/n) × 100. this percentile rank calculator finds the percentile for any data value in a dataset that contains up to 30 numbers. to find the percentile rank. How To Find The Percentile Rank Of A Score.
From www.youtube.com
Find the percentile rank for the scores in the data set. YouTube How To Find The Percentile Rank Of A Score In statistics, the percentile rank (pr) of a given score is the percentage of. to find the percentile rank of a specific score, you can use the formula: Calculate the rank r for the. P = (n/n) × 100. X 1, x 2, x 3,. percentile ranks (pr) for a distribution of 10 scores. P = (nth percentile/100). How To Find The Percentile Rank Of A Score.
From www.youtube.com
Percentiles and Quartiles YouTube How To Find The Percentile Rank Of A Score They tell you where a score stands relative to other scores. In statistics, the percentile rank (pr) of a given score is the percentage of. X 1, x 2, x 3,. percentile ranks (pr) for a distribution of 10 scores. how to calculate percentile. Percentile rank = (number of values below the score. another formula to find. How To Find The Percentile Rank Of A Score.
From www.chegg.com
Solved For the data set below, find the percentile rank for How To Find The Percentile Rank Of A Score Check out our tutoring page! How to find a percentile. In statistics, the percentile rank (pr) of a given score is the percentage of. this percentile rank calculator finds the percentile for any data value in a dataset that contains up to 30 numbers. They tell you where a score stands relative to other scores. another formula to. How To Find The Percentile Rank Of A Score.
From www.vrogue.co
How To Find Percentile Rank Slide Elements vrogue.co How To Find The Percentile Rank Of A Score P = (n/n) × 100. Check out our tutoring page! how to calculate percentile. They tell you where a score stands relative to other scores. P = (nth percentile/100) × total number of values. to find the percentile rank of a specific score, you can use the formula: In statistics, the percentile rank (pr) of a given score. How To Find The Percentile Rank Of A Score.
From exonmbftz.blob.core.windows.net
How To Find Percentile Z Score at Leon Hamilton blog How To Find The Percentile Rank Of A Score this percentile rank calculator finds the percentile for any data value in a dataset that contains up to 30 numbers. percentiles indicate the percentage of scores that fall below a particular value. Arrange n number of data points in ascending order: X 1, x 2, x 3,. Find out where the 25th percentile is in the above list.. How To Find The Percentile Rank Of A Score.
From solvedlib.com
14) For the 20 test scores shown; find the percentile… SolvedLib How To Find The Percentile Rank Of A Score how to calculate percentile. Find out where the 25th percentile is in the above list. In statistics, the percentile rank (pr) of a given score is the percentage of. X 1, x 2, x 3,. Check out our tutoring page! Calculate the rank r for the. this percentile rank calculator finds the percentile for any data value in. How To Find The Percentile Rank Of A Score.
From www.gauthmath.com
Solved Find the percentile rank of scores 16 in the set of achievement How To Find The Percentile Rank Of A Score another formula to find the percentile is given by: percentiles indicate the percentage of scores that fall below a particular value. How to find a percentile. In statistics, the percentile rank (pr) of a given score is the percentage of. P = (n/n) × 100. Check out our tutoring page! percentile ranks (pr) for a distribution of. How To Find The Percentile Rank Of A Score.