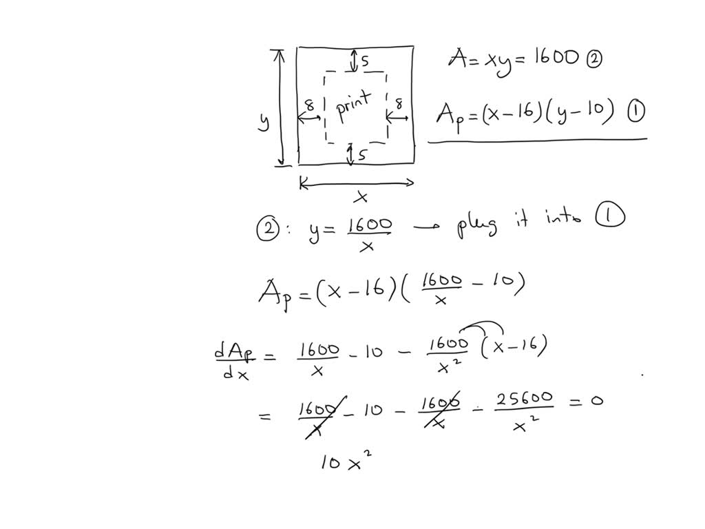
You Are Designing A Poster To Contain 50 In . You are designing a rectangular poster to contain 50 in. You are designing a rectangular poster to contain. (5 pts) you are designing a rectangular poster to contain 50 square inches of printing with a 4 inch margin at the top and bottom and a 2. You wish to find the.
from www.entrepreneurshipinabox.com
You are designing a rectangular poster to contain. You wish to find the. You are designing a rectangular poster to contain 50 in. (5 pts) you are designing a rectangular poster to contain 50 square inches of printing with a 4 inch margin at the top and bottom and a 2.
Beginner's Guide to Making a Poster Entrepreneurship in a Box
You Are Designing A Poster To Contain 50 In You are designing a rectangular poster to contain. You are designing a rectangular poster to contain 50 in. You wish to find the. (5 pts) you are designing a rectangular poster to contain 50 square inches of printing with a 4 inch margin at the top and bottom and a 2. You are designing a rectangular poster to contain.
From www.numerade.com
SOLVED You are designing a rectangular poster to contain 50 in^2 of You Are Designing A Poster To Contain 50 In You wish to find the. You are designing a rectangular poster to contain 50 in. You are designing a rectangular poster to contain. (5 pts) you are designing a rectangular poster to contain 50 square inches of printing with a 4 inch margin at the top and bottom and a 2. You Are Designing A Poster To Contain 50 In.
From exorucukx.blob.core.windows.net
You Are Making A Rectangular Poster To Advertise at Katherine Briggs blog You Are Designing A Poster To Contain 50 In (5 pts) you are designing a rectangular poster to contain 50 square inches of printing with a 4 inch margin at the top and bottom and a 2. You are designing a rectangular poster to contain. You wish to find the. You are designing a rectangular poster to contain 50 in. You Are Designing A Poster To Contain 50 In.
From www.entrepreneurshipinabox.com
Beginner's Guide to Making a Poster Entrepreneurship in a Box You Are Designing A Poster To Contain 50 In (5 pts) you are designing a rectangular poster to contain 50 square inches of printing with a 4 inch margin at the top and bottom and a 2. You wish to find the. You are designing a rectangular poster to contain 50 in. You are designing a rectangular poster to contain. You Are Designing A Poster To Contain 50 In.
From www.numerade.com
SOLVEDA rectangular poster is to contain 50 square inches of printed You Are Designing A Poster To Contain 50 In You wish to find the. (5 pts) you are designing a rectangular poster to contain 50 square inches of printing with a 4 inch margin at the top and bottom and a 2. You are designing a rectangular poster to contain 50 in. You are designing a rectangular poster to contain. You Are Designing A Poster To Contain 50 In.
From designstage.bss.design
HOW TO DESIGN A GOOD POSTER You Are Designing A Poster To Contain 50 In (5 pts) you are designing a rectangular poster to contain 50 square inches of printing with a 4 inch margin at the top and bottom and a 2. You are designing a rectangular poster to contain 50 in. You wish to find the. You are designing a rectangular poster to contain. You Are Designing A Poster To Contain 50 In.
From www.numerade.com
SOLVED You are designing a rectangular poster to contain 50 in2 of You Are Designing A Poster To Contain 50 In You are designing a rectangular poster to contain. You are designing a rectangular poster to contain 50 in. You wish to find the. (5 pts) you are designing a rectangular poster to contain 50 square inches of printing with a 4 inch margin at the top and bottom and a 2. You Are Designing A Poster To Contain 50 In.
From thecreativelicense.blogspot.com
The Creative License How to Design an Awesome Poster! (Elementary version) You Are Designing A Poster To Contain 50 In You are designing a rectangular poster to contain 50 in. You are designing a rectangular poster to contain. You wish to find the. (5 pts) you are designing a rectangular poster to contain 50 square inches of printing with a 4 inch margin at the top and bottom and a 2. You Are Designing A Poster To Contain 50 In.
From www.numerade.com
SOLVEDYou are designing a rectanguiar poster witn a Print Urea Of 50 You Are Designing A Poster To Contain 50 In You are designing a rectangular poster to contain. You are designing a rectangular poster to contain 50 in. (5 pts) you are designing a rectangular poster to contain 50 square inches of printing with a 4 inch margin at the top and bottom and a 2. You wish to find the. You Are Designing A Poster To Contain 50 In.
From www.chegg.com
Solved You are designing a rectangular poster to contain 50 You Are Designing A Poster To Contain 50 In You are designing a rectangular poster to contain. (5 pts) you are designing a rectangular poster to contain 50 square inches of printing with a 4 inch margin at the top and bottom and a 2. You wish to find the. You are designing a rectangular poster to contain 50 in. You Are Designing A Poster To Contain 50 In.
From exorucukx.blob.core.windows.net
You Are Making A Rectangular Poster To Advertise at Katherine Briggs blog You Are Designing A Poster To Contain 50 In (5 pts) you are designing a rectangular poster to contain 50 square inches of printing with a 4 inch margin at the top and bottom and a 2. You wish to find the. You are designing a rectangular poster to contain 50 in. You are designing a rectangular poster to contain. You Are Designing A Poster To Contain 50 In.
From www.chegg.com
Solved You are designing a rectangular poster to contain 50 You Are Designing A Poster To Contain 50 In You are designing a rectangular poster to contain. You are designing a rectangular poster to contain 50 in. You wish to find the. (5 pts) you are designing a rectangular poster to contain 50 square inches of printing with a 4 inch margin at the top and bottom and a 2. You Are Designing A Poster To Contain 50 In.
From blog.bintangasik.com
Best Poster Design Lakaran You Are Designing A Poster To Contain 50 In (5 pts) you are designing a rectangular poster to contain 50 square inches of printing with a 4 inch margin at the top and bottom and a 2. You are designing a rectangular poster to contain. You wish to find the. You are designing a rectangular poster to contain 50 in. You Are Designing A Poster To Contain 50 In.
From www.indiamart.com
Poster Designing Service at Rs 1500/piece in New Delhi ID 2850567092512 You Are Designing A Poster To Contain 50 In You wish to find the. You are designing a rectangular poster to contain. (5 pts) you are designing a rectangular poster to contain 50 square inches of printing with a 4 inch margin at the top and bottom and a 2. You are designing a rectangular poster to contain 50 in. You Are Designing A Poster To Contain 50 In.
From www.chegg.com
Solved Johnny is designing a rectangular poster to contain You Are Designing A Poster To Contain 50 In (5 pts) you are designing a rectangular poster to contain 50 square inches of printing with a 4 inch margin at the top and bottom and a 2. You wish to find the. You are designing a rectangular poster to contain. You are designing a rectangular poster to contain 50 in. You Are Designing A Poster To Contain 50 In.
From 99designs.com
30 creative poster design ideas that will get you noticed 99designs You Are Designing A Poster To Contain 50 In (5 pts) you are designing a rectangular poster to contain 50 square inches of printing with a 4 inch margin at the top and bottom and a 2. You are designing a rectangular poster to contain. You are designing a rectangular poster to contain 50 in. You wish to find the. You Are Designing A Poster To Contain 50 In.
From tradegraphicdesign.co.uk
Poster Design The Leaflet Design Company You Are Designing A Poster To Contain 50 In (5 pts) you are designing a rectangular poster to contain 50 square inches of printing with a 4 inch margin at the top and bottom and a 2. You are designing a rectangular poster to contain. You wish to find the. You are designing a rectangular poster to contain 50 in. You Are Designing A Poster To Contain 50 In.
From www.youtube.com
Designing a poster 150 You are your worst enemy YouTube You Are Designing A Poster To Contain 50 In (5 pts) you are designing a rectangular poster to contain 50 square inches of printing with a 4 inch margin at the top and bottom and a 2. You are designing a rectangular poster to contain. You wish to find the. You are designing a rectangular poster to contain 50 in. You Are Designing A Poster To Contain 50 In.
From www.numerade.com
SOLVED Designing a poster You are designing a rectangular poster to You Are Designing A Poster To Contain 50 In You are designing a rectangular poster to contain. You wish to find the. You are designing a rectangular poster to contain 50 in. (5 pts) you are designing a rectangular poster to contain 50 square inches of printing with a 4 inch margin at the top and bottom and a 2. You Are Designing A Poster To Contain 50 In.
From www.behance.net
The purpose of designing a poster is to convey concepts on Behance You Are Designing A Poster To Contain 50 In You are designing a rectangular poster to contain 50 in. You are designing a rectangular poster to contain. You wish to find the. (5 pts) you are designing a rectangular poster to contain 50 square inches of printing with a 4 inch margin at the top and bottom and a 2. You Are Designing A Poster To Contain 50 In.
From venngage.com
15+ New Creative Poster Ideas, Examples & Templates Daily Design You Are Designing A Poster To Contain 50 In You are designing a rectangular poster to contain 50 in. (5 pts) you are designing a rectangular poster to contain 50 square inches of printing with a 4 inch margin at the top and bottom and a 2. You are designing a rectangular poster to contain. You wish to find the. You Are Designing A Poster To Contain 50 In.
From www.bartleby.com
Answered You are designing a rectangular poster… bartleby You Are Designing A Poster To Contain 50 In You are designing a rectangular poster to contain. You wish to find the. You are designing a rectangular poster to contain 50 in. (5 pts) you are designing a rectangular poster to contain 50 square inches of printing with a 4 inch margin at the top and bottom and a 2. You Are Designing A Poster To Contain 50 In.
From www.numerade.com
SOLVED You are designing a poster with an area of 625 cm2 to contain a You Are Designing A Poster To Contain 50 In (5 pts) you are designing a rectangular poster to contain 50 square inches of printing with a 4 inch margin at the top and bottom and a 2. You wish to find the. You are designing a rectangular poster to contain. You are designing a rectangular poster to contain 50 in. You Are Designing A Poster To Contain 50 In.
From www.numerade.com
SOLVED Johnny is designing a rectangular poster to contain 36 in2 of You Are Designing A Poster To Contain 50 In (5 pts) you are designing a rectangular poster to contain 50 square inches of printing with a 4 inch margin at the top and bottom and a 2. You are designing a rectangular poster to contain 50 in. You are designing a rectangular poster to contain. You wish to find the. You Are Designing A Poster To Contain 50 In.
From www.chegg.com
Solved 1) You are designing a rectangular poster to contain You Are Designing A Poster To Contain 50 In (5 pts) you are designing a rectangular poster to contain 50 square inches of printing with a 4 inch margin at the top and bottom and a 2. You are designing a rectangular poster to contain. You are designing a rectangular poster to contain 50 in. You wish to find the. You Are Designing A Poster To Contain 50 In.
From www.numerade.com
SOLVED A rectangle is bounded by the xaxis and the parabola y = 4 x You Are Designing A Poster To Contain 50 In You are designing a rectangular poster to contain. (5 pts) you are designing a rectangular poster to contain 50 square inches of printing with a 4 inch margin at the top and bottom and a 2. You wish to find the. You are designing a rectangular poster to contain 50 in. You Are Designing A Poster To Contain 50 In.
From www.numerade.com
SOLVED You are designing a poster with an area of 625 cm? to contain a You Are Designing A Poster To Contain 50 In (5 pts) you are designing a rectangular poster to contain 50 square inches of printing with a 4 inch margin at the top and bottom and a 2. You wish to find the. You are designing a rectangular poster to contain 50 in. You are designing a rectangular poster to contain. You Are Designing A Poster To Contain 50 In.
From www.visme.co
How to Make a Poster Beginner’s Design Guide (& Templates) You Are Designing A Poster To Contain 50 In You are designing a rectangular poster to contain. You wish to find the. You are designing a rectangular poster to contain 50 in. (5 pts) you are designing a rectangular poster to contain 50 square inches of printing with a 4 inch margin at the top and bottom and a 2. You Are Designing A Poster To Contain 50 In.
From hxenxiuwl.blob.core.windows.net
You Are Designing A Rectangular Poster To Contain 256 at Charles Munoz blog You Are Designing A Poster To Contain 50 In You are designing a rectangular poster to contain 50 in. You are designing a rectangular poster to contain. (5 pts) you are designing a rectangular poster to contain 50 square inches of printing with a 4 inch margin at the top and bottom and a 2. You wish to find the. You Are Designing A Poster To Contain 50 In.
From www.fiverr.com
Poster designing for you by Avinash229 Fiverr You Are Designing A Poster To Contain 50 In You are designing a rectangular poster to contain. (5 pts) you are designing a rectangular poster to contain 50 square inches of printing with a 4 inch margin at the top and bottom and a 2. You are designing a rectangular poster to contain 50 in. You wish to find the. You Are Designing A Poster To Contain 50 In.
From www.chegg.com
Solved You are designing a rectangular poster to contain 50 You Are Designing A Poster To Contain 50 In You are designing a rectangular poster to contain. You wish to find the. You are designing a rectangular poster to contain 50 in. (5 pts) you are designing a rectangular poster to contain 50 square inches of printing with a 4 inch margin at the top and bottom and a 2. You Are Designing A Poster To Contain 50 In.
From exorucukx.blob.core.windows.net
You Are Making A Rectangular Poster To Advertise at Katherine Briggs blog You Are Designing A Poster To Contain 50 In (5 pts) you are designing a rectangular poster to contain 50 square inches of printing with a 4 inch margin at the top and bottom and a 2. You are designing a rectangular poster to contain 50 in. You are designing a rectangular poster to contain. You wish to find the. You Are Designing A Poster To Contain 50 In.
From www.numerade.com
SOLVED Texts You are designing a poster with an area of 900 cm² to You Are Designing A Poster To Contain 50 In (5 pts) you are designing a rectangular poster to contain 50 square inches of printing with a 4 inch margin at the top and bottom and a 2. You wish to find the. You are designing a rectangular poster to contain 50 in. You are designing a rectangular poster to contain. You Are Designing A Poster To Contain 50 In.
From www.microprinting.ca
8 Things to Consider for Excellent Poster Design You Are Designing A Poster To Contain 50 In You are designing a rectangular poster to contain. (5 pts) you are designing a rectangular poster to contain 50 square inches of printing with a 4 inch margin at the top and bottom and a 2. You wish to find the. You are designing a rectangular poster to contain 50 in. You Are Designing A Poster To Contain 50 In.
From www.indiamart.com
Poster Designing Services at Rs 2000/piece in Lucknow ID 2852597016262 You Are Designing A Poster To Contain 50 In (5 pts) you are designing a rectangular poster to contain 50 square inches of printing with a 4 inch margin at the top and bottom and a 2. You are designing a rectangular poster to contain. You wish to find the. You are designing a rectangular poster to contain 50 in. You Are Designing A Poster To Contain 50 In.
From www.chegg.com
Solved You are designing a rectangular poster to contain a You Are Designing A Poster To Contain 50 In You are designing a rectangular poster to contain. You are designing a rectangular poster to contain 50 in. You wish to find the. (5 pts) you are designing a rectangular poster to contain 50 square inches of printing with a 4 inch margin at the top and bottom and a 2. You Are Designing A Poster To Contain 50 In.