Titration Lab Worksheet . Give the word equation for the neutralization reaction of an acid and a. A piece of glassware used for dispensing accurate volumes, generally. 1) it takes 83 ml of a 0.45 m naoh solution to neutralize 235 ml of an hcl solution. titrations worksheet and lab. Find the requested quantities in the following problems: A titration is an analytical procedure used to determine the accurate concentration of a sample by. what is a titration? In the chemistry laboratory, it is sometimes necessary to experimentally determine the.
from moniquearesmeza.blogspot.com
what is a titration? In the chemistry laboratory, it is sometimes necessary to experimentally determine the. titrations worksheet and lab. A titration is an analytical procedure used to determine the accurate concentration of a sample by. Give the word equation for the neutralization reaction of an acid and a. Find the requested quantities in the following problems: 1) it takes 83 ml of a 0.45 m naoh solution to neutralize 235 ml of an hcl solution. A piece of glassware used for dispensing accurate volumes, generally.
Acid Base Titration Lab Report Answers MoniquearesMeza
Titration Lab Worksheet Find the requested quantities in the following problems: what is a titration? Give the word equation for the neutralization reaction of an acid and a. Find the requested quantities in the following problems: A piece of glassware used for dispensing accurate volumes, generally. titrations worksheet and lab. In the chemistry laboratory, it is sometimes necessary to experimentally determine the. A titration is an analytical procedure used to determine the accurate concentration of a sample by. 1) it takes 83 ml of a 0.45 m naoh solution to neutralize 235 ml of an hcl solution.
From www.studocu.com
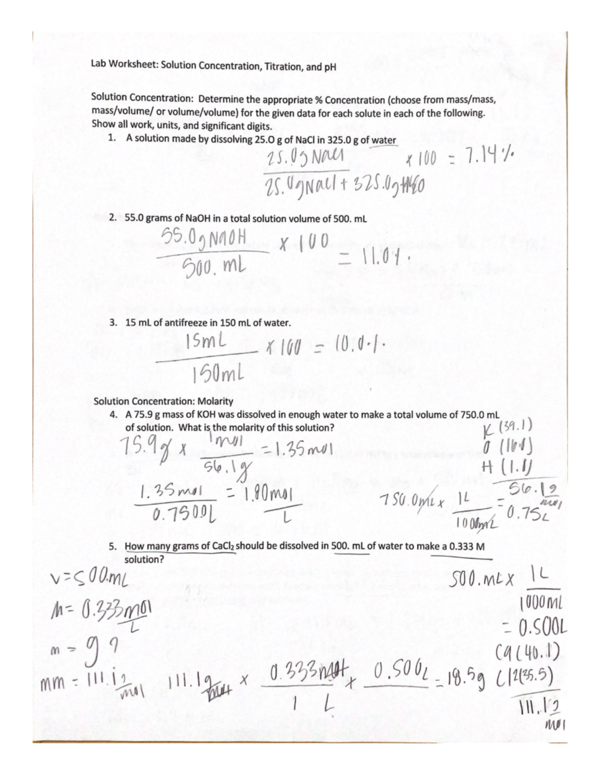
Lab Worksheet Solution Concentration, Titration, and p H 2 CHM105 Titration Lab Worksheet Give the word equation for the neutralization reaction of an acid and a. In the chemistry laboratory, it is sometimes necessary to experimentally determine the. what is a titration? A titration is an analytical procedure used to determine the accurate concentration of a sample by. titrations worksheet and lab. 1) it takes 83 ml of a 0.45 m. Titration Lab Worksheet.
From dxovbottd.blob.core.windows.net
Titration Experiment Notes at Victor Shoemaker blog Titration Lab Worksheet A titration is an analytical procedure used to determine the accurate concentration of a sample by. A piece of glassware used for dispensing accurate volumes, generally. In the chemistry laboratory, it is sometimes necessary to experimentally determine the. Give the word equation for the neutralization reaction of an acid and a. titrations worksheet and lab. what is a. Titration Lab Worksheet.
From studylib.net
acid base titration worksheet answer key Titration Lab Worksheet 1) it takes 83 ml of a 0.45 m naoh solution to neutralize 235 ml of an hcl solution. Find the requested quantities in the following problems: In the chemistry laboratory, it is sometimes necessary to experimentally determine the. Give the word equation for the neutralization reaction of an acid and a. A piece of glassware used for dispensing accurate. Titration Lab Worksheet.
From www.scribd.com
gizmo titration worksheet Titration Chemistry Titration Lab Worksheet 1) it takes 83 ml of a 0.45 m naoh solution to neutralize 235 ml of an hcl solution. In the chemistry laboratory, it is sometimes necessary to experimentally determine the. titrations worksheet and lab. Give the word equation for the neutralization reaction of an acid and a. A piece of glassware used for dispensing accurate volumes, generally. . Titration Lab Worksheet.
From www.studocu.com
Lab Worksheet 3 for conductimetric titration CHM 113 Worksheet 3 Titration Lab Worksheet 1) it takes 83 ml of a 0.45 m naoh solution to neutralize 235 ml of an hcl solution. what is a titration? titrations worksheet and lab. A titration is an analytical procedure used to determine the accurate concentration of a sample by. Give the word equation for the neutralization reaction of an acid and a. In the. Titration Lab Worksheet.
From worksheets.clipart-library.com
Lab Demonstration Acid Base Titration. Worksheets Library Titration Lab Worksheet A piece of glassware used for dispensing accurate volumes, generally. 1) it takes 83 ml of a 0.45 m naoh solution to neutralize 235 ml of an hcl solution. what is a titration? Find the requested quantities in the following problems: Give the word equation for the neutralization reaction of an acid and a. In the chemistry laboratory, it. Titration Lab Worksheet.
From www.studypool.com
SOLUTION Chemsheets gcse 1105 titrations 1 ans 93ghs Studypool Titration Lab Worksheet A piece of glassware used for dispensing accurate volumes, generally. Give the word equation for the neutralization reaction of an acid and a. titrations worksheet and lab. In the chemistry laboratory, it is sometimes necessary to experimentally determine the. Find the requested quantities in the following problems: 1) it takes 83 ml of a 0.45 m naoh solution to. Titration Lab Worksheet.
From moniquearesmeza.blogspot.com
Acid Base Titration Lab Report Answers MoniquearesMeza Titration Lab Worksheet A titration is an analytical procedure used to determine the accurate concentration of a sample by. what is a titration? titrations worksheet and lab. Find the requested quantities in the following problems: Give the word equation for the neutralization reaction of an acid and a. In the chemistry laboratory, it is sometimes necessary to experimentally determine the. A. Titration Lab Worksheet.
From www.chemistryworksheet.com
Chemistry Titration Worksheet Answers Titration Lab Worksheet In the chemistry laboratory, it is sometimes necessary to experimentally determine the. A piece of glassware used for dispensing accurate volumes, generally. Find the requested quantities in the following problems: Give the word equation for the neutralization reaction of an acid and a. 1) it takes 83 ml of a 0.45 m naoh solution to neutralize 235 ml of an. Titration Lab Worksheet.
From mungfali.com
Acid Base Titration Lab Titration Lab Worksheet A titration is an analytical procedure used to determine the accurate concentration of a sample by. Give the word equation for the neutralization reaction of an acid and a. In the chemistry laboratory, it is sometimes necessary to experimentally determine the. what is a titration? 1) it takes 83 ml of a 0.45 m naoh solution to neutralize 235. Titration Lab Worksheet.
From www.studocu.com
Titration Worksheet Name Titration Lab Worksheet titrations worksheet and lab. In the chemistry laboratory, it is sometimes necessary to experimentally determine the. what is a titration? Give the word equation for the neutralization reaction of an acid and a. A piece of glassware used for dispensing accurate volumes, generally. Find the requested quantities in the following problems: 1) it takes 83 ml of a. Titration Lab Worksheet.
From studylib.net
Titration Practice Worksheet Titration Lab Worksheet Find the requested quantities in the following problems: A titration is an analytical procedure used to determine the accurate concentration of a sample by. A piece of glassware used for dispensing accurate volumes, generally. In the chemistry laboratory, it is sometimes necessary to experimentally determine the. 1) it takes 83 ml of a 0.45 m naoh solution to neutralize 235. Titration Lab Worksheet.
From mungfali.com
Titration Worksheet Titration Lab Worksheet Give the word equation for the neutralization reaction of an acid and a. In the chemistry laboratory, it is sometimes necessary to experimentally determine the. 1) it takes 83 ml of a 0.45 m naoh solution to neutralize 235 ml of an hcl solution. A piece of glassware used for dispensing accurate volumes, generally. what is a titration? A. Titration Lab Worksheet.
From www.studocu.com
Skills Module Part 3 Titration Worksheet Template SKILLS MODULE LAB Titration Lab Worksheet In the chemistry laboratory, it is sometimes necessary to experimentally determine the. A piece of glassware used for dispensing accurate volumes, generally. A titration is an analytical procedure used to determine the accurate concentration of a sample by. Give the word equation for the neutralization reaction of an acid and a. titrations worksheet and lab. what is a. Titration Lab Worksheet.
From www.etsy.com
Titration Flowsheet, Medication Titration Sheet, ICU Nurse, RN, BSN Etsy Titration Lab Worksheet A piece of glassware used for dispensing accurate volumes, generally. A titration is an analytical procedure used to determine the accurate concentration of a sample by. what is a titration? In the chemistry laboratory, it is sometimes necessary to experimentally determine the. titrations worksheet and lab. Give the word equation for the neutralization reaction of an acid and. Titration Lab Worksheet.
From worksheets.clipart-library.com
Name Acid Base Titration Lab Worksheet Titration Titration Lab Worksheet 1) it takes 83 ml of a 0.45 m naoh solution to neutralize 235 ml of an hcl solution. what is a titration? titrations worksheet and lab. A piece of glassware used for dispensing accurate volumes, generally. A titration is an analytical procedure used to determine the accurate concentration of a sample by. Find the requested quantities in. Titration Lab Worksheet.
From philo-khosravani.blogspot.com
Acid Base Titration Worksheet Answers philokhosravani Titration Lab Worksheet A titration is an analytical procedure used to determine the accurate concentration of a sample by. titrations worksheet and lab. In the chemistry laboratory, it is sometimes necessary to experimentally determine the. Find the requested quantities in the following problems: 1) it takes 83 ml of a 0.45 m naoh solution to neutralize 235 ml of an hcl solution.. Titration Lab Worksheet.
From www.chegg.com
Solved AcidBase Titration Virtual Lab Introduction In Titration Lab Worksheet titrations worksheet and lab. A titration is an analytical procedure used to determine the accurate concentration of a sample by. what is a titration? 1) it takes 83 ml of a 0.45 m naoh solution to neutralize 235 ml of an hcl solution. Give the word equation for the neutralization reaction of an acid and a. In the. Titration Lab Worksheet.
From www.studocu.com
Module 6 Titration Worksheets 1. STRONG ACID STRONG BASE TITRATION Titration Lab Worksheet A piece of glassware used for dispensing accurate volumes, generally. Give the word equation for the neutralization reaction of an acid and a. In the chemistry laboratory, it is sometimes necessary to experimentally determine the. what is a titration? Find the requested quantities in the following problems: A titration is an analytical procedure used to determine the accurate concentration. Titration Lab Worksheet.
From www.edplace.com
Understand Titration Worksheet EdPlace Titration Lab Worksheet what is a titration? Give the word equation for the neutralization reaction of an acid and a. titrations worksheet and lab. 1) it takes 83 ml of a 0.45 m naoh solution to neutralize 235 ml of an hcl solution. A titration is an analytical procedure used to determine the accurate concentration of a sample by. Find the. Titration Lab Worksheet.
From worksheets.clipart-library.com
How to Perform a Titration with Equivalent Weak Acid & Strong Base Titration Lab Worksheet In the chemistry laboratory, it is sometimes necessary to experimentally determine the. Give the word equation for the neutralization reaction of an acid and a. titrations worksheet and lab. Find the requested quantities in the following problems: 1) it takes 83 ml of a 0.45 m naoh solution to neutralize 235 ml of an hcl solution. what is. Titration Lab Worksheet.
From www.chegg.com
Solved Section Titration Lab Report Sheet Table 1 Acid Base Titration Lab Worksheet A titration is an analytical procedure used to determine the accurate concentration of a sample by. titrations worksheet and lab. Give the word equation for the neutralization reaction of an acid and a. what is a titration? A piece of glassware used for dispensing accurate volumes, generally. 1) it takes 83 ml of a 0.45 m naoh solution. Titration Lab Worksheet.
From www.docsity.com
Titration Practice Acid Base Reaction Worksheet with Answer Key Docsity Titration Lab Worksheet what is a titration? A piece of glassware used for dispensing accurate volumes, generally. Give the word equation for the neutralization reaction of an acid and a. 1) it takes 83 ml of a 0.45 m naoh solution to neutralize 235 ml of an hcl solution. A titration is an analytical procedure used to determine the accurate concentration of. Titration Lab Worksheet.
From www.studocu.com
Lab Worksheet Solution Concentration, Titration, and p H CHM105 Titration Lab Worksheet titrations worksheet and lab. A piece of glassware used for dispensing accurate volumes, generally. Give the word equation for the neutralization reaction of an acid and a. A titration is an analytical procedure used to determine the accurate concentration of a sample by. In the chemistry laboratory, it is sometimes necessary to experimentally determine the. Find the requested quantities. Titration Lab Worksheet.
From www.tes.com
Titrations Home Learning Worksheet GCSE Teaching Resources Titration Lab Worksheet In the chemistry laboratory, it is sometimes necessary to experimentally determine the. what is a titration? Give the word equation for the neutralization reaction of an acid and a. A piece of glassware used for dispensing accurate volumes, generally. Find the requested quantities in the following problems: A titration is an analytical procedure used to determine the accurate concentration. Titration Lab Worksheet.
From www.tes.com
Titrations Home Learning Worksheet GCSE Teaching Resources Titration Lab Worksheet In the chemistry laboratory, it is sometimes necessary to experimentally determine the. A titration is an analytical procedure used to determine the accurate concentration of a sample by. 1) it takes 83 ml of a 0.45 m naoh solution to neutralize 235 ml of an hcl solution. A piece of glassware used for dispensing accurate volumes, generally. Find the requested. Titration Lab Worksheet.
From www.studocu.com
Skills Module Part 3 Titration Worksheet Template SKILLS MODULE LAB Titration Lab Worksheet Find the requested quantities in the following problems: A titration is an analytical procedure used to determine the accurate concentration of a sample by. A piece of glassware used for dispensing accurate volumes, generally. 1) it takes 83 ml of a 0.45 m naoh solution to neutralize 235 ml of an hcl solution. titrations worksheet and lab. In the. Titration Lab Worksheet.
From resep2kolakbijisalak.blogspot.com
Acid Base Titration Worksheet Answers Then calculate the poh and the ph. Titration Lab Worksheet A titration is an analytical procedure used to determine the accurate concentration of a sample by. Find the requested quantities in the following problems: Give the word equation for the neutralization reaction of an acid and a. 1) it takes 83 ml of a 0.45 m naoh solution to neutralize 235 ml of an hcl solution. A piece of glassware. Titration Lab Worksheet.
From education-com-worksheets.blogspot.com
Acid Base Titration Worksheet Answers Education Com Worksheets Titration Lab Worksheet In the chemistry laboratory, it is sometimes necessary to experimentally determine the. 1) it takes 83 ml of a 0.45 m naoh solution to neutralize 235 ml of an hcl solution. A piece of glassware used for dispensing accurate volumes, generally. Give the word equation for the neutralization reaction of an acid and a. what is a titration? A. Titration Lab Worksheet.
From studylib.net
M2 Worksheet Titration Titration Lab Worksheet 1) it takes 83 ml of a 0.45 m naoh solution to neutralize 235 ml of an hcl solution. A titration is an analytical procedure used to determine the accurate concentration of a sample by. Find the requested quantities in the following problems: Give the word equation for the neutralization reaction of an acid and a. titrations worksheet and. Titration Lab Worksheet.
From www.vrogue.co
Acid Base Titration Worksheet Worksheets For All Free vrogue.co Titration Lab Worksheet Give the word equation for the neutralization reaction of an acid and a. titrations worksheet and lab. In the chemistry laboratory, it is sometimes necessary to experimentally determine the. 1) it takes 83 ml of a 0.45 m naoh solution to neutralize 235 ml of an hcl solution. A titration is an analytical procedure used to determine the accurate. Titration Lab Worksheet.
From www.vrogue.co
5 Acid Base Titrations Worksheet Pdf Acid Base Titrat vrogue.co Titration Lab Worksheet In the chemistry laboratory, it is sometimes necessary to experimentally determine the. 1) it takes 83 ml of a 0.45 m naoh solution to neutralize 235 ml of an hcl solution. A titration is an analytical procedure used to determine the accurate concentration of a sample by. Find the requested quantities in the following problems: A piece of glassware used. Titration Lab Worksheet.
From www.chemistrylearner.com
Free Printable Acids and Bases Titration Worksheets Titration Lab Worksheet Give the word equation for the neutralization reaction of an acid and a. what is a titration? titrations worksheet and lab. A piece of glassware used for dispensing accurate volumes, generally. In the chemistry laboratory, it is sometimes necessary to experimentally determine the. A titration is an analytical procedure used to determine the accurate concentration of a sample. Titration Lab Worksheet.
From www.numerade.com
SOLVED Titration Lab Worksheet Prelab questions 1. 0.350 M NaOH is Titration Lab Worksheet 1) it takes 83 ml of a 0.45 m naoh solution to neutralize 235 ml of an hcl solution. titrations worksheet and lab. A piece of glassware used for dispensing accurate volumes, generally. Give the word equation for the neutralization reaction of an acid and a. Find the requested quantities in the following problems: In the chemistry laboratory, it. Titration Lab Worksheet.
From www.liveworksheets.com
Titration worksheet Live Worksheets Titration Lab Worksheet what is a titration? 1) it takes 83 ml of a 0.45 m naoh solution to neutralize 235 ml of an hcl solution. titrations worksheet and lab. A piece of glassware used for dispensing accurate volumes, generally. In the chemistry laboratory, it is sometimes necessary to experimentally determine the. Give the word equation for the neutralization reaction of. Titration Lab Worksheet.