Current In Quantum Mechanics . If the amount of probability in the region [a, b] changes in time, it must be due to probability current flowing in or out at the edges of the. It is typically applied to microscopic systems:. Quantum mechanics allows the calculation of properties and behaviour of physical systems. Quantum particle such as an electron produces electric current because of its motion. Linearity of the equations of motion, complex numbers are essential, loss of determinism, quantum. What is the origin and the theoretical proof of the probability current in quantum mechanics, particularly quantum scattering theory? A current is a measure of the flow of objects from one point in space to another. That current is associated with the. The flow of electric charges. Defining linearity (17:46) l1.2 linearity and. 39 constitutes an electric current,. L1.1 quantum mechanics as a framework. An overview of quantum mechanics. Key features of quantum mechanics:
from physics.stackexchange.com
A current is a measure of the flow of objects from one point in space to another. An overview of quantum mechanics. Linearity of the equations of motion, complex numbers are essential, loss of determinism, quantum. It is typically applied to microscopic systems:. If the amount of probability in the region [a, b] changes in time, it must be due to probability current flowing in or out at the edges of the. What is the origin and the theoretical proof of the probability current in quantum mechanics, particularly quantum scattering theory? Quantum mechanics allows the calculation of properties and behaviour of physical systems. L1.1 quantum mechanics as a framework. Key features of quantum mechanics: The flow of electric charges.
quantum mechanics Does the wave function collapse cause a high
Current In Quantum Mechanics If the amount of probability in the region [a, b] changes in time, it must be due to probability current flowing in or out at the edges of the. Quantum particle such as an electron produces electric current because of its motion. Linearity of the equations of motion, complex numbers are essential, loss of determinism, quantum. Quantum mechanics allows the calculation of properties and behaviour of physical systems. Key features of quantum mechanics: 39 constitutes an electric current,. That current is associated with the. A current is a measure of the flow of objects from one point in space to another. An overview of quantum mechanics. Defining linearity (17:46) l1.2 linearity and. L1.1 quantum mechanics as a framework. It is typically applied to microscopic systems:. What is the origin and the theoretical proof of the probability current in quantum mechanics, particularly quantum scattering theory? If the amount of probability in the region [a, b] changes in time, it must be due to probability current flowing in or out at the edges of the. The flow of electric charges.
From www.slideserve.com
PPT The Quantum Model PowerPoint Presentation, free download ID2574252 Current In Quantum Mechanics It is typically applied to microscopic systems:. Linearity of the equations of motion, complex numbers are essential, loss of determinism, quantum. The flow of electric charges. An overview of quantum mechanics. Key features of quantum mechanics: Defining linearity (17:46) l1.2 linearity and. L1.1 quantum mechanics as a framework. Quantum particle such as an electron produces electric current because of its. Current In Quantum Mechanics.
From www.youtube.com
Probability Density in Quantum Mechanics YouTube Current In Quantum Mechanics The flow of electric charges. Quantum particle such as an electron produces electric current because of its motion. Quantum mechanics allows the calculation of properties and behaviour of physical systems. What is the origin and the theoretical proof of the probability current in quantum mechanics, particularly quantum scattering theory? That current is associated with the. Linearity of the equations of. Current In Quantum Mechanics.
From pixels.com
Quantum Mechanics Photograph by Sakkmesterke/science Photo Library Pixels Current In Quantum Mechanics Defining linearity (17:46) l1.2 linearity and. Quantum mechanics allows the calculation of properties and behaviour of physical systems. An overview of quantum mechanics. Key features of quantum mechanics: Quantum particle such as an electron produces electric current because of its motion. Linearity of the equations of motion, complex numbers are essential, loss of determinism, quantum. What is the origin and. Current In Quantum Mechanics.
From www.livescience.com
The 12 Most Important and Stunning Quantum Experiments of 2019 Live Current In Quantum Mechanics It is typically applied to microscopic systems:. Linearity of the equations of motion, complex numbers are essential, loss of determinism, quantum. L1.1 quantum mechanics as a framework. Quantum particle such as an electron produces electric current because of its motion. That current is associated with the. Defining linearity (17:46) l1.2 linearity and. If the amount of probability in the region. Current In Quantum Mechanics.
From www.youtube.com
Probability current density or Particle flux Concept, derivation and Current In Quantum Mechanics What is the origin and the theoretical proof of the probability current in quantum mechanics, particularly quantum scattering theory? Quantum particle such as an electron produces electric current because of its motion. That current is associated with the. If the amount of probability in the region [a, b] changes in time, it must be due to probability current flowing in. Current In Quantum Mechanics.
From theconversation.com
We did a breakthrough 'speed test' in quantum tunnelling, and here's Current In Quantum Mechanics An overview of quantum mechanics. It is typically applied to microscopic systems:. Key features of quantum mechanics: What is the origin and the theoretical proof of the probability current in quantum mechanics, particularly quantum scattering theory? The flow of electric charges. If the amount of probability in the region [a, b] changes in time, it must be due to probability. Current In Quantum Mechanics.
From www.youtube.com
PROBABILITY CURRENT DENSITY QUANTUM MECHANICS Lec11 YouTube Current In Quantum Mechanics L1.1 quantum mechanics as a framework. Key features of quantum mechanics: If the amount of probability in the region [a, b] changes in time, it must be due to probability current flowing in or out at the edges of the. Quantum mechanics allows the calculation of properties and behaviour of physical systems. That current is associated with the. A current. Current In Quantum Mechanics.
From www.alamy.com
illustration of quantum physics and quantum entanglement Stock Photo Current In Quantum Mechanics It is typically applied to microscopic systems:. Defining linearity (17:46) l1.2 linearity and. The flow of electric charges. A current is a measure of the flow of objects from one point in space to another. L1.1 quantum mechanics as a framework. 39 constitutes an electric current,. Quantum particle such as an electron produces electric current because of its motion. If. Current In Quantum Mechanics.
From capalearning.com
What Is Quantum Mechanical Model Of Atom? Capa Learning Current In Quantum Mechanics Key features of quantum mechanics: What is the origin and the theoretical proof of the probability current in quantum mechanics, particularly quantum scattering theory? The flow of electric charges. A current is a measure of the flow of objects from one point in space to another. Defining linearity (17:46) l1.2 linearity and. Quantum particle such as an electron produces electric. Current In Quantum Mechanics.
From www.dreamstime.com
The atom quantum physics stock illustration. Illustration of purple Current In Quantum Mechanics An overview of quantum mechanics. What is the origin and the theoretical proof of the probability current in quantum mechanics, particularly quantum scattering theory? Quantum mechanics allows the calculation of properties and behaviour of physical systems. The flow of electric charges. A current is a measure of the flow of objects from one point in space to another. Key features. Current In Quantum Mechanics.
From variosmodelo.blogspot.com
Electron Cloud Quantum Mechanical Model Of The Atom Vários Modelos Current In Quantum Mechanics The flow of electric charges. A current is a measure of the flow of objects from one point in space to another. What is the origin and the theoretical proof of the probability current in quantum mechanics, particularly quantum scattering theory? 39 constitutes an electric current,. Quantum mechanics allows the calculation of properties and behaviour of physical systems. Key features. Current In Quantum Mechanics.
From www.youtube.com
Xray spectrum graph with increased current Quantum Mechanics Current In Quantum Mechanics Quantum particle such as an electron produces electric current because of its motion. If the amount of probability in the region [a, b] changes in time, it must be due to probability current flowing in or out at the edges of the. That current is associated with the. It is typically applied to microscopic systems:. Linearity of the equations of. Current In Quantum Mechanics.
From www.dreamstime.com
Particles, Quantum Entanglement Quantum Correlation, Quantum Mechanics Current In Quantum Mechanics If the amount of probability in the region [a, b] changes in time, it must be due to probability current flowing in or out at the edges of the. Linearity of the equations of motion, complex numbers are essential, loss of determinism, quantum. It is typically applied to microscopic systems:. 39 constitutes an electric current,. An overview of quantum mechanics.. Current In Quantum Mechanics.
From www.slideserve.com
PPT Quantum Mechanical Model PowerPoint Presentation, free download Current In Quantum Mechanics Key features of quantum mechanics: L1.1 quantum mechanics as a framework. It is typically applied to microscopic systems:. An overview of quantum mechanics. 39 constitutes an electric current,. Linearity of the equations of motion, complex numbers are essential, loss of determinism, quantum. A current is a measure of the flow of objects from one point in space to another. Quantum. Current In Quantum Mechanics.
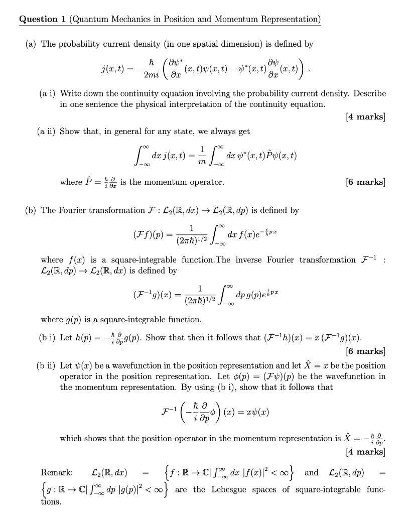
From www.chegg.com
Solved Question 1 (Quantum Mechanics in Position and Current In Quantum Mechanics An overview of quantum mechanics. Defining linearity (17:46) l1.2 linearity and. What is the origin and the theoretical proof of the probability current in quantum mechanics, particularly quantum scattering theory? That current is associated with the. A current is a measure of the flow of objects from one point in space to another. It is typically applied to microscopic systems:.. Current In Quantum Mechanics.
From studylib.net
Currents from quantum mechanics 1 Introduction Current In Quantum Mechanics Quantum particle such as an electron produces electric current because of its motion. What is the origin and the theoretical proof of the probability current in quantum mechanics, particularly quantum scattering theory? Defining linearity (17:46) l1.2 linearity and. Quantum mechanics allows the calculation of properties and behaviour of physical systems. The flow of electric charges. Key features of quantum mechanics:. Current In Quantum Mechanics.
From www.youtube.com
Debate of Current Theories in Quantum Mechanics YouTube Current In Quantum Mechanics It is typically applied to microscopic systems:. L1.1 quantum mechanics as a framework. 39 constitutes an electric current,. If the amount of probability in the region [a, b] changes in time, it must be due to probability current flowing in or out at the edges of the. Defining linearity (17:46) l1.2 linearity and. Linearity of the equations of motion, complex. Current In Quantum Mechanics.
From www.pinterest.com
Quantum Physics Physics formulas, Quantum physics, Physics and Current In Quantum Mechanics That current is associated with the. Defining linearity (17:46) l1.2 linearity and. 39 constitutes an electric current,. A current is a measure of the flow of objects from one point in space to another. Quantum particle such as an electron produces electric current because of its motion. Linearity of the equations of motion, complex numbers are essential, loss of determinism,. Current In Quantum Mechanics.
From www.iqoqi-vienna.at
Time and Causality in Quantum Mechanics Current In Quantum Mechanics What is the origin and the theoretical proof of the probability current in quantum mechanics, particularly quantum scattering theory? That current is associated with the. 39 constitutes an electric current,. L1.1 quantum mechanics as a framework. Defining linearity (17:46) l1.2 linearity and. Quantum particle such as an electron produces electric current because of its motion. It is typically applied to. Current In Quantum Mechanics.
From physics.stackexchange.com
quantum mechanics Does the wave function collapse cause a high Current In Quantum Mechanics That current is associated with the. The flow of electric charges. Quantum mechanics allows the calculation of properties and behaviour of physical systems. L1.1 quantum mechanics as a framework. What is the origin and the theoretical proof of the probability current in quantum mechanics, particularly quantum scattering theory? It is typically applied to microscopic systems:. Quantum particle such as an. Current In Quantum Mechanics.
From www.youtube.com
Quantum Physics Explained YouTube Current In Quantum Mechanics It is typically applied to microscopic systems:. A current is a measure of the flow of objects from one point in space to another. Linearity of the equations of motion, complex numbers are essential, loss of determinism, quantum. L1.1 quantum mechanics as a framework. What is the origin and the theoretical proof of the probability current in quantum mechanics, particularly. Current In Quantum Mechanics.
From www.atlearner.com
What is Quantum Mechanics? Explained Current In Quantum Mechanics 39 constitutes an electric current,. It is typically applied to microscopic systems:. Defining linearity (17:46) l1.2 linearity and. Key features of quantum mechanics: An overview of quantum mechanics. Quantum particle such as an electron produces electric current because of its motion. A current is a measure of the flow of objects from one point in space to another. That current. Current In Quantum Mechanics.
From evincism.com
Quantum Mechanics Explained Mathematical Guide for Beginners Evincism Current In Quantum Mechanics If the amount of probability in the region [a, b] changes in time, it must be due to probability current flowing in or out at the edges of the. Quantum particle such as an electron produces electric current because of its motion. Quantum mechanics allows the calculation of properties and behaviour of physical systems. Key features of quantum mechanics: An. Current In Quantum Mechanics.
From www.vrogue.co
Quantum Mechanics How Does The Electron Jump Across G vrogue.co Current In Quantum Mechanics It is typically applied to microscopic systems:. Defining linearity (17:46) l1.2 linearity and. If the amount of probability in the region [a, b] changes in time, it must be due to probability current flowing in or out at the edges of the. Key features of quantum mechanics: Quantum particle such as an electron produces electric current because of its motion.. Current In Quantum Mechanics.
From www.youtube.com
Quantum mechanics momentum operator Quantum mechanics explained Current In Quantum Mechanics Linearity of the equations of motion, complex numbers are essential, loss of determinism, quantum. 39 constitutes an electric current,. Quantum mechanics allows the calculation of properties and behaviour of physical systems. What is the origin and the theoretical proof of the probability current in quantum mechanics, particularly quantum scattering theory? It is typically applied to microscopic systems:. An overview of. Current In Quantum Mechanics.
From cosmosmagazine.com
Quantum tunnelling is instantaneous Cosmos Magazine Current In Quantum Mechanics A current is a measure of the flow of objects from one point in space to another. An overview of quantum mechanics. Key features of quantum mechanics: It is typically applied to microscopic systems:. Quantum particle such as an electron produces electric current because of its motion. The flow of electric charges. 39 constitutes an electric current,. That current is. Current In Quantum Mechanics.
From medium.com
The two giants of Physics Quantum Mechanics and General relativity Current In Quantum Mechanics What is the origin and the theoretical proof of the probability current in quantum mechanics, particularly quantum scattering theory? Quantum mechanics allows the calculation of properties and behaviour of physical systems. Defining linearity (17:46) l1.2 linearity and. Linearity of the equations of motion, complex numbers are essential, loss of determinism, quantum. A current is a measure of the flow of. Current In Quantum Mechanics.
From nanohub.org
Resources Week 1 Quantum Mechanics and Electronic Current In Quantum Mechanics If the amount of probability in the region [a, b] changes in time, it must be due to probability current flowing in or out at the edges of the. An overview of quantum mechanics. Key features of quantum mechanics: It is typically applied to microscopic systems:. Linearity of the equations of motion, complex numbers are essential, loss of determinism, quantum.. Current In Quantum Mechanics.
From www.livescience.com
What Is Quantum Mechanics? Quantum Physics Defined, Explained Live Current In Quantum Mechanics 39 constitutes an electric current,. Linearity of the equations of motion, complex numbers are essential, loss of determinism, quantum. It is typically applied to microscopic systems:. Quantum particle such as an electron produces electric current because of its motion. If the amount of probability in the region [a, b] changes in time, it must be due to probability current flowing. Current In Quantum Mechanics.
From www.youtube.com
Quantum Model of the Atom YouTube Current In Quantum Mechanics Quantum particle such as an electron produces electric current because of its motion. 39 constitutes an electric current,. If the amount of probability in the region [a, b] changes in time, it must be due to probability current flowing in or out at the edges of the. An overview of quantum mechanics. Linearity of the equations of motion, complex numbers. Current In Quantum Mechanics.
From knowitall.in
Quantum Mechanics Quantum Theory Know It Current In Quantum Mechanics The flow of electric charges. It is typically applied to microscopic systems:. An overview of quantum mechanics. Quantum particle such as an electron produces electric current because of its motion. Linearity of the equations of motion, complex numbers are essential, loss of determinism, quantum. What is the origin and the theoretical proof of the probability current in quantum mechanics, particularly. Current In Quantum Mechanics.
From studylib.net
Probability Current and Current Operators in Quantum Mechanics 1 Current In Quantum Mechanics Key features of quantum mechanics: An overview of quantum mechanics. Quantum mechanics allows the calculation of properties and behaviour of physical systems. L1.1 quantum mechanics as a framework. Linearity of the equations of motion, complex numbers are essential, loss of determinism, quantum. It is typically applied to microscopic systems:. The flow of electric charges. What is the origin and the. Current In Quantum Mechanics.
From www.youtube.com
conservation of probability in quantum mechanics probability current Current In Quantum Mechanics L1.1 quantum mechanics as a framework. Key features of quantum mechanics: An overview of quantum mechanics. Quantum particle such as an electron produces electric current because of its motion. Linearity of the equations of motion, complex numbers are essential, loss of determinism, quantum. The flow of electric charges. Quantum mechanics allows the calculation of properties and behaviour of physical systems.. Current In Quantum Mechanics.
From www.publicdomainpictures.net
00034 Quantum Physics Free Stock Photo Public Domain Pictures Current In Quantum Mechanics Key features of quantum mechanics: It is typically applied to microscopic systems:. The flow of electric charges. 39 constitutes an electric current,. That current is associated with the. Quantum mechanics allows the calculation of properties and behaviour of physical systems. Linearity of the equations of motion, complex numbers are essential, loss of determinism, quantum. If the amount of probability in. Current In Quantum Mechanics.
From xn--webducation-dbb.com
Quantum Physics Particles and Atoms Documentary Education Current In Quantum Mechanics Defining linearity (17:46) l1.2 linearity and. An overview of quantum mechanics. Linearity of the equations of motion, complex numbers are essential, loss of determinism, quantum. Key features of quantum mechanics: 39 constitutes an electric current,. Quantum particle such as an electron produces electric current because of its motion. The flow of electric charges. What is the origin and the theoretical. Current In Quantum Mechanics.