Scaling Property Of Standard Deviation . It changes the distribution of your data to make it look more like a standard normal distribution. Equal, then the sd is zero. The variance and standard deviation of \ (x\) are both measures of the spread of the distribution about the mean. It is this combination of adding. Variance (as we will see) has nicer mathematical properties,. The variance, or standard deviation squared, written $\mathrm{var}[x]$, has the property that $$ \mathrm{var}[ax+b] = a^2\mathrm{var[x]}. 1) if all the observations assumed by a variable are constant i.e. Shifting the data set by a constant k means adding k to every value in the data set, or subtracting k from every value in the data set. On the other hand, scaling the data set by a. But the mean $\bar{x}=s/n$ and so by scaling $v(\bar{x}) = v(s/n) = n\sigma^2 / n^2 = \sigma^2/n$.
from www.slideserve.com
It changes the distribution of your data to make it look more like a standard normal distribution. It is this combination of adding. Variance (as we will see) has nicer mathematical properties,. On the other hand, scaling the data set by a. The variance and standard deviation of \ (x\) are both measures of the spread of the distribution about the mean. The variance, or standard deviation squared, written $\mathrm{var}[x]$, has the property that $$ \mathrm{var}[ax+b] = a^2\mathrm{var[x]}. But the mean $\bar{x}=s/n$ and so by scaling $v(\bar{x}) = v(s/n) = n\sigma^2 / n^2 = \sigma^2/n$. Equal, then the sd is zero. Shifting the data set by a constant k means adding k to every value in the data set, or subtracting k from every value in the data set. 1) if all the observations assumed by a variable are constant i.e.
PPT The Fourier Transform II PowerPoint Presentation, free download
Scaling Property Of Standard Deviation On the other hand, scaling the data set by a. The variance and standard deviation of \ (x\) are both measures of the spread of the distribution about the mean. Equal, then the sd is zero. The variance, or standard deviation squared, written $\mathrm{var}[x]$, has the property that $$ \mathrm{var}[ax+b] = a^2\mathrm{var[x]}. Shifting the data set by a constant k means adding k to every value in the data set, or subtracting k from every value in the data set. 1) if all the observations assumed by a variable are constant i.e. Variance (as we will see) has nicer mathematical properties,. It is this combination of adding. But the mean $\bar{x}=s/n$ and so by scaling $v(\bar{x}) = v(s/n) = n\sigma^2 / n^2 = \sigma^2/n$. It changes the distribution of your data to make it look more like a standard normal distribution. On the other hand, scaling the data set by a.
From www.cnblogs.com
Feature Scaling Normalization and Standardization QuinnYann 博客园 Scaling Property Of Standard Deviation It is this combination of adding. Equal, then the sd is zero. On the other hand, scaling the data set by a. The variance and standard deviation of \ (x\) are both measures of the spread of the distribution about the mean. The variance, or standard deviation squared, written $\mathrm{var}[x]$, has the property that $$ \mathrm{var}[ax+b] = a^2\mathrm{var[x]}. It changes. Scaling Property Of Standard Deviation.
From dsp.stackexchange.com
image processing Scaling Property in DFT Signal Processing Stack Scaling Property Of Standard Deviation Variance (as we will see) has nicer mathematical properties,. But the mean $\bar{x}=s/n$ and so by scaling $v(\bar{x}) = v(s/n) = n\sigma^2 / n^2 = \sigma^2/n$. Equal, then the sd is zero. It is this combination of adding. The variance and standard deviation of \ (x\) are both measures of the spread of the distribution about the mean. 1) if. Scaling Property Of Standard Deviation.
From www.scribbr.co.uk
Normal Distribution Examples, Formulas, & Uses Scaling Property Of Standard Deviation It is this combination of adding. On the other hand, scaling the data set by a. The variance, or standard deviation squared, written $\mathrm{var}[x]$, has the property that $$ \mathrm{var}[ax+b] = a^2\mathrm{var[x]}. But the mean $\bar{x}=s/n$ and so by scaling $v(\bar{x}) = v(s/n) = n\sigma^2 / n^2 = \sigma^2/n$. Variance (as we will see) has nicer mathematical properties,. Equal, then. Scaling Property Of Standard Deviation.
From www.researchgate.net
Disorder scaling of the standard deviation of the distribution of Scaling Property Of Standard Deviation The variance, or standard deviation squared, written $\mathrm{var}[x]$, has the property that $$ \mathrm{var}[ax+b] = a^2\mathrm{var[x]}. Variance (as we will see) has nicer mathematical properties,. Equal, then the sd is zero. The variance and standard deviation of \ (x\) are both measures of the spread of the distribution about the mean. It changes the distribution of your data to make. Scaling Property Of Standard Deviation.
From ashutoshtripathi.com
What is Feature Scaling in Machine Learning Normalization vs Scaling Property Of Standard Deviation But the mean $\bar{x}=s/n$ and so by scaling $v(\bar{x}) = v(s/n) = n\sigma^2 / n^2 = \sigma^2/n$. It changes the distribution of your data to make it look more like a standard normal distribution. It is this combination of adding. Shifting the data set by a constant k means adding k to every value in the data set, or subtracting. Scaling Property Of Standard Deviation.
From www.researchgate.net
Watershedscale statistical properties (mean and standard deviation Scaling Property Of Standard Deviation Equal, then the sd is zero. The variance, or standard deviation squared, written $\mathrm{var}[x]$, has the property that $$ \mathrm{var}[ax+b] = a^2\mathrm{var[x]}. The variance and standard deviation of \ (x\) are both measures of the spread of the distribution about the mean. 1) if all the observations assumed by a variable are constant i.e. Variance (as we will see) has. Scaling Property Of Standard Deviation.
From proclusacademy.com
Robust Scaling Why and How to Use It to Handle Outliers Proclus Academy Scaling Property Of Standard Deviation On the other hand, scaling the data set by a. It is this combination of adding. The variance, or standard deviation squared, written $\mathrm{var}[x]$, has the property that $$ \mathrm{var}[ax+b] = a^2\mathrm{var[x]}. Equal, then the sd is zero. It changes the distribution of your data to make it look more like a standard normal distribution. The variance and standard deviation. Scaling Property Of Standard Deviation.
From www.researchgate.net
Scaling ratios for mean (Em) and standard deviation (Es) of 36 bodily Scaling Property Of Standard Deviation The variance and standard deviation of \ (x\) are both measures of the spread of the distribution about the mean. Equal, then the sd is zero. 1) if all the observations assumed by a variable are constant i.e. It changes the distribution of your data to make it look more like a standard normal distribution. On the other hand, scaling. Scaling Property Of Standard Deviation.
From www.researchgate.net
Common data preprocessing steps include scaling, centering Scaling Property Of Standard Deviation It changes the distribution of your data to make it look more like a standard normal distribution. 1) if all the observations assumed by a variable are constant i.e. It is this combination of adding. The variance and standard deviation of \ (x\) are both measures of the spread of the distribution about the mean. The variance, or standard deviation. Scaling Property Of Standard Deviation.
From www.thoughtco.com
How to Calculate a Sample Standard Deviation Scaling Property Of Standard Deviation The variance, or standard deviation squared, written $\mathrm{var}[x]$, has the property that $$ \mathrm{var}[ax+b] = a^2\mathrm{var[x]}. But the mean $\bar{x}=s/n$ and so by scaling $v(\bar{x}) = v(s/n) = n\sigma^2 / n^2 = \sigma^2/n$. It is this combination of adding. Shifting the data set by a constant k means adding k to every value in the data set, or subtracting k. Scaling Property Of Standard Deviation.
From www.teachoo.com
Example 12 Calculate mean, variance, standard deviation Scaling Property Of Standard Deviation It changes the distribution of your data to make it look more like a standard normal distribution. 1) if all the observations assumed by a variable are constant i.e. Equal, then the sd is zero. Variance (as we will see) has nicer mathematical properties,. On the other hand, scaling the data set by a. The variance, or standard deviation squared,. Scaling Property Of Standard Deviation.
From mavink.com
Standard Deviation Chart Scaling Property Of Standard Deviation The variance, or standard deviation squared, written $\mathrm{var}[x]$, has the property that $$ \mathrm{var}[ax+b] = a^2\mathrm{var[x]}. Equal, then the sd is zero. But the mean $\bar{x}=s/n$ and so by scaling $v(\bar{x}) = v(s/n) = n\sigma^2 / n^2 = \sigma^2/n$. The variance and standard deviation of \ (x\) are both measures of the spread of the distribution about the mean. It. Scaling Property Of Standard Deviation.
From www.slideshare.net
Lecture 07 Scaling Property Of Standard Deviation It is this combination of adding. On the other hand, scaling the data set by a. The variance, or standard deviation squared, written $\mathrm{var}[x]$, has the property that $$ \mathrm{var}[ax+b] = a^2\mathrm{var[x]}. But the mean $\bar{x}=s/n$ and so by scaling $v(\bar{x}) = v(s/n) = n\sigma^2 / n^2 = \sigma^2/n$. Equal, then the sd is zero. The variance and standard deviation. Scaling Property Of Standard Deviation.
From www.youtube.com
Example Weighted Average and scaling of mean and standard deviation Scaling Property Of Standard Deviation It is this combination of adding. Variance (as we will see) has nicer mathematical properties,. But the mean $\bar{x}=s/n$ and so by scaling $v(\bar{x}) = v(s/n) = n\sigma^2 / n^2 = \sigma^2/n$. The variance and standard deviation of \ (x\) are both measures of the spread of the distribution about the mean. 1) if all the observations assumed by a. Scaling Property Of Standard Deviation.
From astartutorial.org
How To Calculate 1 Standard Deviation Below The Mean Astar Tutorial Scaling Property Of Standard Deviation Variance (as we will see) has nicer mathematical properties,. The variance and standard deviation of \ (x\) are both measures of the spread of the distribution about the mean. It is this combination of adding. But the mean $\bar{x}=s/n$ and so by scaling $v(\bar{x}) = v(s/n) = n\sigma^2 / n^2 = \sigma^2/n$. Equal, then the sd is zero. On the. Scaling Property Of Standard Deviation.
From www.scribd.com
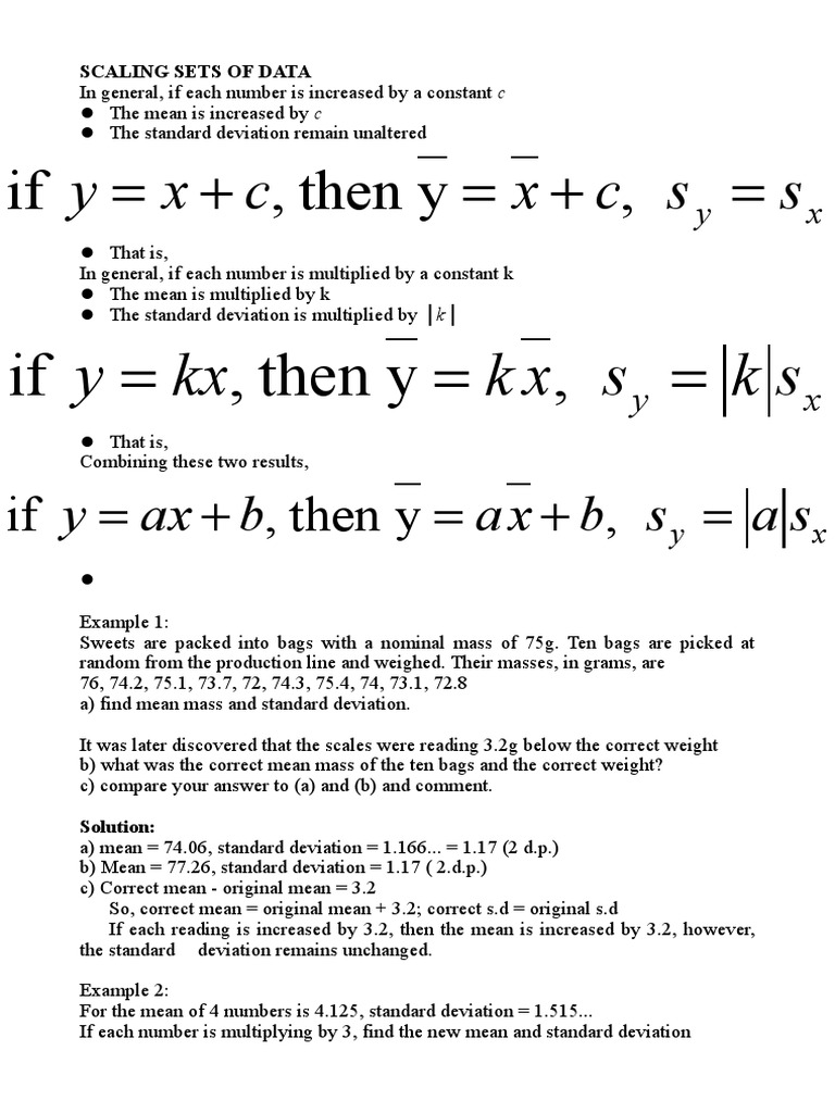
Scaling Sets of Data PDF Standard Deviation Mean Scaling Property Of Standard Deviation It is this combination of adding. 1) if all the observations assumed by a variable are constant i.e. It changes the distribution of your data to make it look more like a standard normal distribution. The variance and standard deviation of \ (x\) are both measures of the spread of the distribution about the mean. Equal, then the sd is. Scaling Property Of Standard Deviation.
From www.researchgate.net
Examples of the scaling of the spatial standard deviation, s, in Scaling Property Of Standard Deviation It is this combination of adding. But the mean $\bar{x}=s/n$ and so by scaling $v(\bar{x}) = v(s/n) = n\sigma^2 / n^2 = \sigma^2/n$. It changes the distribution of your data to make it look more like a standard normal distribution. Shifting the data set by a constant k means adding k to every value in the data set, or subtracting. Scaling Property Of Standard Deviation.
From locedent.weebly.com
R weighted standard deviation locedent Scaling Property Of Standard Deviation Equal, then the sd is zero. 1) if all the observations assumed by a variable are constant i.e. Variance (as we will see) has nicer mathematical properties,. But the mean $\bar{x}=s/n$ and so by scaling $v(\bar{x}) = v(s/n) = n\sigma^2 / n^2 = \sigma^2/n$. Shifting the data set by a constant k means adding k to every value in the. Scaling Property Of Standard Deviation.
From www.youtube.com
AQA Statistics 1 1.06 Scaling the Mean and Standard Deviation YouTube Scaling Property Of Standard Deviation Shifting the data set by a constant k means adding k to every value in the data set, or subtracting k from every value in the data set. The variance, or standard deviation squared, written $\mathrm{var}[x]$, has the property that $$ \mathrm{var}[ax+b] = a^2\mathrm{var[x]}. 1) if all the observations assumed by a variable are constant i.e. On the other hand,. Scaling Property Of Standard Deviation.
From www.teachoo.com
Example 10 Calculate mean, variance, standard deviation Scaling Property Of Standard Deviation On the other hand, scaling the data set by a. Shifting the data set by a constant k means adding k to every value in the data set, or subtracting k from every value in the data set. The variance, or standard deviation squared, written $\mathrm{var}[x]$, has the property that $$ \mathrm{var}[ax+b] = a^2\mathrm{var[x]}. Equal, then the sd is zero.. Scaling Property Of Standard Deviation.
From www.youtube.com
Drawing a Normal Curve and Labeling Mean/Standard Deviation Made Easy Scaling Property Of Standard Deviation On the other hand, scaling the data set by a. The variance and standard deviation of \ (x\) are both measures of the spread of the distribution about the mean. Variance (as we will see) has nicer mathematical properties,. It changes the distribution of your data to make it look more like a standard normal distribution. 1) if all the. Scaling Property Of Standard Deviation.
From www.kristakingmath.com
Transforming random variables by shifting and scaling the data set Scaling Property Of Standard Deviation Shifting the data set by a constant k means adding k to every value in the data set, or subtracting k from every value in the data set. On the other hand, scaling the data set by a. The variance, or standard deviation squared, written $\mathrm{var}[x]$, has the property that $$ \mathrm{var}[ax+b] = a^2\mathrm{var[x]}. 1) if all the observations assumed. Scaling Property Of Standard Deviation.
From www.researchgate.net
Bias and standard deviation (SD) of the estimated scaling exponents, α Scaling Property Of Standard Deviation On the other hand, scaling the data set by a. The variance and standard deviation of \ (x\) are both measures of the spread of the distribution about the mean. It changes the distribution of your data to make it look more like a standard normal distribution. Shifting the data set by a constant k means adding k to every. Scaling Property Of Standard Deviation.
From www.researchgate.net
StandardDeviation Ratio (SDR) triggering and Adaptive Variance Scaling Scaling Property Of Standard Deviation It changes the distribution of your data to make it look more like a standard normal distribution. But the mean $\bar{x}=s/n$ and so by scaling $v(\bar{x}) = v(s/n) = n\sigma^2 / n^2 = \sigma^2/n$. Shifting the data set by a constant k means adding k to every value in the data set, or subtracting k from every value in the. Scaling Property Of Standard Deviation.
From www.youtube.com
Time Scaling Property of Fourier Transform YouTube Scaling Property Of Standard Deviation Shifting the data set by a constant k means adding k to every value in the data set, or subtracting k from every value in the data set. Equal, then the sd is zero. On the other hand, scaling the data set by a. The variance and standard deviation of \ (x\) are both measures of the spread of the. Scaling Property Of Standard Deviation.
From www.students4bestevidence.net
A beginner's guide to standard deviation and standard error Students Scaling Property Of Standard Deviation The variance, or standard deviation squared, written $\mathrm{var}[x]$, has the property that $$ \mathrm{var}[ax+b] = a^2\mathrm{var[x]}. Variance (as we will see) has nicer mathematical properties,. It changes the distribution of your data to make it look more like a standard normal distribution. On the other hand, scaling the data set by a. But the mean $\bar{x}=s/n$ and so by scaling. Scaling Property Of Standard Deviation.
From www.researchgate.net
Scaling of the standard deviation with time in a twodimensional Scaling Property Of Standard Deviation Variance (as we will see) has nicer mathematical properties,. On the other hand, scaling the data set by a. It is this combination of adding. The variance, or standard deviation squared, written $\mathrm{var}[x]$, has the property that $$ \mathrm{var}[ax+b] = a^2\mathrm{var[x]}. Shifting the data set by a constant k means adding k to every value in the data set, or. Scaling Property Of Standard Deviation.
From www.scaler.com
NumPy Arithmetic Operations Scaler Topics Scaling Property Of Standard Deviation 1) if all the observations assumed by a variable are constant i.e. The variance and standard deviation of \ (x\) are both measures of the spread of the distribution about the mean. Equal, then the sd is zero. It is this combination of adding. Shifting the data set by a constant k means adding k to every value in the. Scaling Property Of Standard Deviation.
From www.scribbr.com
The Standard Normal Distribution Examples, Explanations, Uses Scaling Property Of Standard Deviation But the mean $\bar{x}=s/n$ and so by scaling $v(\bar{x}) = v(s/n) = n\sigma^2 / n^2 = \sigma^2/n$. 1) if all the observations assumed by a variable are constant i.e. It is this combination of adding. It changes the distribution of your data to make it look more like a standard normal distribution. Shifting the data set by a constant k. Scaling Property Of Standard Deviation.
From haipernews.com
How To Calculate Mean Variance And Standard Deviation Haiper Scaling Property Of Standard Deviation It is this combination of adding. The variance and standard deviation of \ (x\) are both measures of the spread of the distribution about the mean. Variance (as we will see) has nicer mathematical properties,. Shifting the data set by a constant k means adding k to every value in the data set, or subtracting k from every value in. Scaling Property Of Standard Deviation.
From www.slideserve.com
PPT The Fourier Transform II PowerPoint Presentation, free download Scaling Property Of Standard Deviation It changes the distribution of your data to make it look more like a standard normal distribution. The variance and standard deviation of \ (x\) are both measures of the spread of the distribution about the mean. The variance, or standard deviation squared, written $\mathrm{var}[x]$, has the property that $$ \mathrm{var}[ax+b] = a^2\mathrm{var[x]}. Equal, then the sd is zero. Variance. Scaling Property Of Standard Deviation.
From www.youtube.com
Properties of S.D. Standard Deviation is Independent of the Change of Scaling Property Of Standard Deviation On the other hand, scaling the data set by a. The variance, or standard deviation squared, written $\mathrm{var}[x]$, has the property that $$ \mathrm{var}[ax+b] = a^2\mathrm{var[x]}. 1) if all the observations assumed by a variable are constant i.e. Variance (as we will see) has nicer mathematical properties,. But the mean $\bar{x}=s/n$ and so by scaling $v(\bar{x}) = v(s/n) = n\sigma^2. Scaling Property Of Standard Deviation.
From measuringu.com
How to Estimate the Standard Deviation for Rating Scales MeasuringU Scaling Property Of Standard Deviation It is this combination of adding. On the other hand, scaling the data set by a. Shifting the data set by a constant k means adding k to every value in the data set, or subtracting k from every value in the data set. 1) if all the observations assumed by a variable are constant i.e. The variance, or standard. Scaling Property Of Standard Deviation.
From www.youtube.com
Time scaling property of DTFT ll Example and solution YouTube Scaling Property Of Standard Deviation On the other hand, scaling the data set by a. The variance and standard deviation of \ (x\) are both measures of the spread of the distribution about the mean. 1) if all the observations assumed by a variable are constant i.e. Shifting the data set by a constant k means adding k to every value in the data set,. Scaling Property Of Standard Deviation.
From curvebreakerstestprep.com
Standard Deviation Variation from the Mean Curvebreakers Scaling Property Of Standard Deviation The variance, or standard deviation squared, written $\mathrm{var}[x]$, has the property that $$ \mathrm{var}[ax+b] = a^2\mathrm{var[x]}. The variance and standard deviation of \ (x\) are both measures of the spread of the distribution about the mean. It is this combination of adding. It changes the distribution of your data to make it look more like a standard normal distribution. On. Scaling Property Of Standard Deviation.