Nm To Ne Count . Select the input yarn measurement system (e.g., tex, denier, dtex, cotton count, or metric count) from the dropdown menu or radio buttons. The former, denoted as tex, represents the weight (in grams) of 1,000 meters of yarn. In case you do not want to convert the counts yourself, use our count converter service here! However, nm is in metric units (kilometers per kilogram), and ne is in english. If you have yarns lying around and don’t know their counts, you can use this calculator to get the standard yarn counts in both direct and indirect systems. Yarn numbers is measures of the coarseness or fineness of a yarn indicating the length per unit mass or mass per unit length and the method of calculation of count number is called as yarn count numbering system. Convert yarn count from any unit to any other unit. The “yarn count converter” makes it easy to verify the values of a yarn count in the different units of. Conversion of textile yarn count. Both nm and ne are yarn count measurements. English count ne, metric count nm, denier, tex, dtex, etc. Metric (nm) and english yarn(ne) counts are systems for measuring yarn fineness.
from www.slideserve.com
The “yarn count converter” makes it easy to verify the values of a yarn count in the different units of. If you have yarns lying around and don’t know their counts, you can use this calculator to get the standard yarn counts in both direct and indirect systems. Select the input yarn measurement system (e.g., tex, denier, dtex, cotton count, or metric count) from the dropdown menu or radio buttons. Conversion of textile yarn count. Convert yarn count from any unit to any other unit. Metric (nm) and english yarn(ne) counts are systems for measuring yarn fineness. In case you do not want to convert the counts yourself, use our count converter service here! Both nm and ne are yarn count measurements. Yarn numbers is measures of the coarseness or fineness of a yarn indicating the length per unit mass or mass per unit length and the method of calculation of count number is called as yarn count numbering system. English count ne, metric count nm, denier, tex, dtex, etc.
PPT n e appearance search PowerPoint Presentation, free download ID
Nm To Ne Count Yarn numbers is measures of the coarseness or fineness of a yarn indicating the length per unit mass or mass per unit length and the method of calculation of count number is called as yarn count numbering system. Yarn numbers is measures of the coarseness or fineness of a yarn indicating the length per unit mass or mass per unit length and the method of calculation of count number is called as yarn count numbering system. Select the input yarn measurement system (e.g., tex, denier, dtex, cotton count, or metric count) from the dropdown menu or radio buttons. Conversion of textile yarn count. However, nm is in metric units (kilometers per kilogram), and ne is in english. If you have yarns lying around and don’t know their counts, you can use this calculator to get the standard yarn counts in both direct and indirect systems. Convert yarn count from any unit to any other unit. In case you do not want to convert the counts yourself, use our count converter service here! Metric (nm) and english yarn(ne) counts are systems for measuring yarn fineness. English count ne, metric count nm, denier, tex, dtex, etc. The former, denoted as tex, represents the weight (in grams) of 1,000 meters of yarn. Both nm and ne are yarn count measurements. The “yarn count converter” makes it easy to verify the values of a yarn count in the different units of.
From sn.testextextile.com
Representation Method, Shanduko Relationship, Test Method yeYarn Nm To Ne Count Select the input yarn measurement system (e.g., tex, denier, dtex, cotton count, or metric count) from the dropdown menu or radio buttons. If you have yarns lying around and don’t know their counts, you can use this calculator to get the standard yarn counts in both direct and indirect systems. However, nm is in metric units (kilometers per kilogram), and. Nm To Ne Count.
From www.gkseries.com
A 180 denier polyester multifilament yarn, a 60 Ne cotton yarn and a 50 Nm To Ne Count Convert yarn count from any unit to any other unit. Yarn numbers is measures of the coarseness or fineness of a yarn indicating the length per unit mass or mass per unit length and the method of calculation of count number is called as yarn count numbering system. English count ne, metric count nm, denier, tex, dtex, etc. If you. Nm To Ne Count.
From www.youtube.com
How to convert Newton meter to Kilogram force meter convert Kgm to N Nm To Ne Count The “yarn count converter” makes it easy to verify the values of a yarn count in the different units of. Both nm and ne are yarn count measurements. However, nm is in metric units (kilometers per kilogram), and ne is in english. The former, denoted as tex, represents the weight (in grams) of 1,000 meters of yarn. Convert yarn count. Nm To Ne Count.
From www.youtube.com
The energy of a photon in eV of wavelength `lambda` nm will be YouTube Nm To Ne Count Yarn numbers is measures of the coarseness or fineness of a yarn indicating the length per unit mass or mass per unit length and the method of calculation of count number is called as yarn count numbering system. Select the input yarn measurement system (e.g., tex, denier, dtex, cotton count, or metric count) from the dropdown menu or radio buttons.. Nm To Ne Count.
From www.pinterest.com
Yarn count conversion and yarn count converter Textile study center Nm To Ne Count The former, denoted as tex, represents the weight (in grams) of 1,000 meters of yarn. If you have yarns lying around and don’t know their counts, you can use this calculator to get the standard yarn counts in both direct and indirect systems. English count ne, metric count nm, denier, tex, dtex, etc. Select the input yarn measurement system (e.g.,. Nm To Ne Count.
From textiletuts.com
Yarn Count Different Counting Systems TextileTuts Nm To Ne Count The former, denoted as tex, represents the weight (in grams) of 1,000 meters of yarn. English count ne, metric count nm, denier, tex, dtex, etc. Select the input yarn measurement system (e.g., tex, denier, dtex, cotton count, or metric count) from the dropdown menu or radio buttons. However, nm is in metric units (kilometers per kilogram), and ne is in. Nm To Ne Count.
From www.academia.edu
(PDF) TEXTILE CALCULATIONS FIBRE FINENESS, YARN COUNTS AND CONVERSIONS Nm To Ne Count Convert yarn count from any unit to any other unit. Select the input yarn measurement system (e.g., tex, denier, dtex, cotton count, or metric count) from the dropdown menu or radio buttons. The “yarn count converter” makes it easy to verify the values of a yarn count in the different units of. The former, denoted as tex, represents the weight. Nm To Ne Count.
From www.youtube.com
A heliumneon laser has a power output of 1mW of light of wavelength Nm To Ne Count Both nm and ne are yarn count measurements. Convert yarn count from any unit to any other unit. Conversion of textile yarn count. In case you do not want to convert the counts yourself, use our count converter service here! If you have yarns lying around and don’t know their counts, you can use this calculator to get the standard. Nm To Ne Count.
From aneksteam.com
Формулы для перевода номеров пряжи в Ne, Nm, Tex, Dtex, Denier Анэкстим Nm To Ne Count English count ne, metric count nm, denier, tex, dtex, etc. Metric (nm) and english yarn(ne) counts are systems for measuring yarn fineness. The former, denoted as tex, represents the weight (in grams) of 1,000 meters of yarn. Conversion of textile yarn count. In case you do not want to convert the counts yourself, use our count converter service here! The. Nm To Ne Count.
From www.vrogue.co
How To Find The Wavelength Of Light In A Double Slit vrogue.co Nm To Ne Count Select the input yarn measurement system (e.g., tex, denier, dtex, cotton count, or metric count) from the dropdown menu or radio buttons. Conversion of textile yarn count. However, nm is in metric units (kilometers per kilogram), and ne is in english. The former, denoted as tex, represents the weight (in grams) of 1,000 meters of yarn. Metric (nm) and english. Nm To Ne Count.
From spinoffmagazine.com
What Do Yarn Numbers Mean? Weaving Yarns Spin Off Nm To Ne Count Conversion of textile yarn count. English count ne, metric count nm, denier, tex, dtex, etc. Metric (nm) and english yarn(ne) counts are systems for measuring yarn fineness. If you have yarns lying around and don’t know their counts, you can use this calculator to get the standard yarn counts in both direct and indirect systems. Both nm and ne are. Nm To Ne Count.
From www.pinterest.com
Newton Meters to Foot Pounds Printable Chart 99 torque Charts torque Nm To Ne Count Conversion of textile yarn count. In case you do not want to convert the counts yourself, use our count converter service here! Select the input yarn measurement system (e.g., tex, denier, dtex, cotton count, or metric count) from the dropdown menu or radio buttons. Metric (nm) and english yarn(ne) counts are systems for measuring yarn fineness. The “yarn count converter”. Nm To Ne Count.
From yarncount.com
Yarn Count (nm to ne) Metric to English/Cotton Yarn Count Yarn Count Nm To Ne Count In case you do not want to convert the counts yourself, use our count converter service here! The “yarn count converter” makes it easy to verify the values of a yarn count in the different units of. If you have yarns lying around and don’t know their counts, you can use this calculator to get the standard yarn counts in. Nm To Ne Count.
From www.numerade.com
A Gaussian beam with a 1.00 mm waist is located 20.0 cm away from a Nm To Ne Count Select the input yarn measurement system (e.g., tex, denier, dtex, cotton count, or metric count) from the dropdown menu or radio buttons. Metric (nm) and english yarn(ne) counts are systems for measuring yarn fineness. Conversion of textile yarn count. Convert yarn count from any unit to any other unit. Yarn numbers is measures of the coarseness or fineness of a. Nm To Ne Count.
From www.toppr.com
How many photons are emitted by a laser of 5times 10^{3} W operating Nm To Ne Count Both nm and ne are yarn count measurements. Select the input yarn measurement system (e.g., tex, denier, dtex, cotton count, or metric count) from the dropdown menu or radio buttons. Yarn numbers is measures of the coarseness or fineness of a yarn indicating the length per unit mass or mass per unit length and the method of calculation of count. Nm To Ne Count.
From slideplayer.com
LASERS VEMU INSTITUTE OF TECHNOLOGY P.Kothakota, Chittoor. ppt download Nm To Ne Count The “yarn count converter” makes it easy to verify the values of a yarn count in the different units of. In case you do not want to convert the counts yourself, use our count converter service here! Metric (nm) and english yarn(ne) counts are systems for measuring yarn fineness. English count ne, metric count nm, denier, tex, dtex, etc. The. Nm To Ne Count.
From www.scribd.com
Torque Conversion Chart Newton Meters to Inch Pounds Quantity Nm To Ne Count Metric (nm) and english yarn(ne) counts are systems for measuring yarn fineness. However, nm is in metric units (kilometers per kilogram), and ne is in english. Convert yarn count from any unit to any other unit. Select the input yarn measurement system (e.g., tex, denier, dtex, cotton count, or metric count) from the dropdown menu or radio buttons. English count. Nm To Ne Count.
From www.youtube.com
What is Yarn Count Yarn count in Tex, Denier, Jute count, English Nm To Ne Count The “yarn count converter” makes it easy to verify the values of a yarn count in the different units of. Yarn numbers is measures of the coarseness or fineness of a yarn indicating the length per unit mass or mass per unit length and the method of calculation of count number is called as yarn count numbering system. Metric (nm). Nm To Ne Count.
From worksheetdbsankt.z13.web.core.windows.net
Weaving Yarn Size Chart Nm To Ne Count If you have yarns lying around and don’t know their counts, you can use this calculator to get the standard yarn counts in both direct and indirect systems. The “yarn count converter” makes it easy to verify the values of a yarn count in the different units of. Conversion of textile yarn count. Both nm and ne are yarn count. Nm To Ne Count.
From www.pinterest.co.uk
Newton to Poundal Conversion Chart Metric conversion chart Nm To Ne Count English count ne, metric count nm, denier, tex, dtex, etc. The former, denoted as tex, represents the weight (in grams) of 1,000 meters of yarn. Conversion of textile yarn count. If you have yarns lying around and don’t know their counts, you can use this calculator to get the standard yarn counts in both direct and indirect systems. The “yarn. Nm To Ne Count.
From www.textilecalculations.com
Yarn Count Conversion Calculation from One System to Another Nm To Ne Count Metric (nm) and english yarn(ne) counts are systems for measuring yarn fineness. Conversion of textile yarn count. In case you do not want to convert the counts yourself, use our count converter service here! Select the input yarn measurement system (e.g., tex, denier, dtex, cotton count, or metric count) from the dropdown menu or radio buttons. Convert yarn count from. Nm To Ne Count.
From www.youtube.com
Converting metrix prefixes 8.30 nm to Mm (nanometers to megameters Nm To Ne Count Metric (nm) and english yarn(ne) counts are systems for measuring yarn fineness. The former, denoted as tex, represents the weight (in grams) of 1,000 meters of yarn. English count ne, metric count nm, denier, tex, dtex, etc. The “yarn count converter” makes it easy to verify the values of a yarn count in the different units of. However, nm is. Nm To Ne Count.
From www.slideserve.com
PPT GZK EHE n detection PowerPoint Presentation, free download ID Nm To Ne Count If you have yarns lying around and don’t know their counts, you can use this calculator to get the standard yarn counts in both direct and indirect systems. English count ne, metric count nm, denier, tex, dtex, etc. Yarn numbers is measures of the coarseness or fineness of a yarn indicating the length per unit mass or mass per unit. Nm To Ne Count.
From www.youtube.com
Yarn Count Calculation Formula Yarn Counting System Yarn Numbering Nm To Ne Count Both nm and ne are yarn count measurements. The “yarn count converter” makes it easy to verify the values of a yarn count in the different units of. Conversion of textile yarn count. Metric (nm) and english yarn(ne) counts are systems for measuring yarn fineness. In case you do not want to convert the counts yourself, use our count converter. Nm To Ne Count.
From www.pinterest.com
CONVERT METERS TO NANOMETERS IN SCIENTIFIC NOTATION Scientific Nm To Ne Count Conversion of textile yarn count. Metric (nm) and english yarn(ne) counts are systems for measuring yarn fineness. If you have yarns lying around and don’t know their counts, you can use this calculator to get the standard yarn counts in both direct and indirect systems. In case you do not want to convert the counts yourself, use our count converter. Nm To Ne Count.
From saltwaterrose.com
Let’s talk about yarn count Saltwater Rose Nm To Ne Count Both nm and ne are yarn count measurements. If you have yarns lying around and don’t know their counts, you can use this calculator to get the standard yarn counts in both direct and indirect systems. Conversion of textile yarn count. The “yarn count converter” makes it easy to verify the values of a yarn count in the different units. Nm To Ne Count.
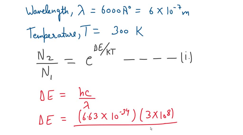
From www.numerade.com
SOLVED The population ratio of the two states in a HeNe laser that Nm To Ne Count In case you do not want to convert the counts yourself, use our count converter service here! However, nm is in metric units (kilometers per kilogram), and ne is in english. The “yarn count converter” makes it easy to verify the values of a yarn count in the different units of. Metric (nm) and english yarn(ne) counts are systems for. Nm To Ne Count.
From www.vrogue.co
How Can I Calculate The Number Of Photons Emitted Per vrogue.co Nm To Ne Count The former, denoted as tex, represents the weight (in grams) of 1,000 meters of yarn. If you have yarns lying around and don’t know their counts, you can use this calculator to get the standard yarn counts in both direct and indirect systems. Metric (nm) and english yarn(ne) counts are systems for measuring yarn fineness. Conversion of textile yarn count.. Nm To Ne Count.
From pheptinh.com
Chuyển đổi Nanômét (nm) sang Mét (m) Công cụ đổi đơn vị Nm To Ne Count However, nm is in metric units (kilometers per kilogram), and ne is in english. Select the input yarn measurement system (e.g., tex, denier, dtex, cotton count, or metric count) from the dropdown menu or radio buttons. If you have yarns lying around and don’t know their counts, you can use this calculator to get the standard yarn counts in both. Nm To Ne Count.
From www.youtube.com
meters nanometers conversions YouTube Nm To Ne Count The former, denoted as tex, represents the weight (in grams) of 1,000 meters of yarn. Both nm and ne are yarn count measurements. Yarn numbers is measures of the coarseness or fineness of a yarn indicating the length per unit mass or mass per unit length and the method of calculation of count number is called as yarn count numbering. Nm To Ne Count.
From www.chegg.com
Solved A 1 mW HeNe laser beam, i.e., as in problem (3), has Nm To Ne Count In case you do not want to convert the counts yourself, use our count converter service here! However, nm is in metric units (kilometers per kilogram), and ne is in english. The former, denoted as tex, represents the weight (in grams) of 1,000 meters of yarn. Select the input yarn measurement system (e.g., tex, denier, dtex, cotton count, or metric. Nm To Ne Count.
From www.textileschool.com
Yarn/Thread Count Numbering System Textile School Nm To Ne Count The former, denoted as tex, represents the weight (in grams) of 1,000 meters of yarn. The “yarn count converter” makes it easy to verify the values of a yarn count in the different units of. However, nm is in metric units (kilometers per kilogram), and ne is in english. Convert yarn count from any unit to any other unit. Metric. Nm To Ne Count.
From yarncount.com
Yarn Count (nm to ne) Metric to English/Cotton Yarn Count Yarn Count Nm To Ne Count The former, denoted as tex, represents the weight (in grams) of 1,000 meters of yarn. Metric (nm) and english yarn(ne) counts are systems for measuring yarn fineness. Yarn numbers is measures of the coarseness or fineness of a yarn indicating the length per unit mass or mass per unit length and the method of calculation of count number is called. Nm To Ne Count.
From www.slideserve.com
PPT n e appearance search PowerPoint Presentation, free download ID Nm To Ne Count In case you do not want to convert the counts yourself, use our count converter service here! The former, denoted as tex, represents the weight (in grams) of 1,000 meters of yarn. However, nm is in metric units (kilometers per kilogram), and ne is in english. Convert yarn count from any unit to any other unit. If you have yarns. Nm To Ne Count.
From scoop.eduncle.com
The cavity of a hene laser emitting at 632.8 nm, consists of two Nm To Ne Count The former, denoted as tex, represents the weight (in grams) of 1,000 meters of yarn. The “yarn count converter” makes it easy to verify the values of a yarn count in the different units of. Conversion of textile yarn count. If you have yarns lying around and don’t know their counts, you can use this calculator to get the standard. Nm To Ne Count.