Epidemiology Revision Questions . unless instructed otherwise, choose all correct answers for each question. Final exam, so you can be ready for test day. Epidemiology is the study of how often diseases occur in different groups of. this course covers basic epidemiology principles, concepts, and procedures useful in the surveillance and investigation of. Which of the following is a description for ‘descriptive. quiz yourself with questions and answers for epidemiology: One of the fundamental topics in epidemiology is study design. In the definition of epidemiology, distribution. You'll be tested on your. test your understanding with these multiple choice questions: to help students prepare for their final exams, this article provides a collection of questions and answers that cover various aspects of epidemiology. this course covers basic epidemiology principles, concepts, and procedures useful in the surveillance and investigation of.
from fr.scribd.com
You'll be tested on your. Which of the following is a description for ‘descriptive. In the definition of epidemiology, distribution. Epidemiology is the study of how often diseases occur in different groups of. quiz yourself with questions and answers for epidemiology: Final exam, so you can be ready for test day. One of the fundamental topics in epidemiology is study design. to help students prepare for their final exams, this article provides a collection of questions and answers that cover various aspects of epidemiology. this course covers basic epidemiology principles, concepts, and procedures useful in the surveillance and investigation of. test your understanding with these multiple choice questions:
130 TOP Epidemiology Multiple Choice Questions and Answers _ All
Epidemiology Revision Questions test your understanding with these multiple choice questions: Which of the following is a description for ‘descriptive. You'll be tested on your. to help students prepare for their final exams, this article provides a collection of questions and answers that cover various aspects of epidemiology. Epidemiology is the study of how often diseases occur in different groups of. this course covers basic epidemiology principles, concepts, and procedures useful in the surveillance and investigation of. In the definition of epidemiology, distribution. One of the fundamental topics in epidemiology is study design. test your understanding with these multiple choice questions: this course covers basic epidemiology principles, concepts, and procedures useful in the surveillance and investigation of. Final exam, so you can be ready for test day. unless instructed otherwise, choose all correct answers for each question. quiz yourself with questions and answers for epidemiology:
From www.studocu.com
Epidemiology test questions for the health science faculty Epidemiology Revision Questions You'll be tested on your. quiz yourself with questions and answers for epidemiology: Which of the following is a description for ‘descriptive. In the definition of epidemiology, distribution. unless instructed otherwise, choose all correct answers for each question. Epidemiology is the study of how often diseases occur in different groups of. Final exam, so you can be ready. Epidemiology Revision Questions.
From www.chegg.com
Solved epidemiology Epidemiology Revision Questions quiz yourself with questions and answers for epidemiology: this course covers basic epidemiology principles, concepts, and procedures useful in the surveillance and investigation of. You'll be tested on your. Final exam, so you can be ready for test day. unless instructed otherwise, choose all correct answers for each question. this course covers basic epidemiology principles, concepts,. Epidemiology Revision Questions.
From www.youtube.com
Epidemiologist Interview Questions and Answers YouTube Epidemiology Revision Questions unless instructed otherwise, choose all correct answers for each question. quiz yourself with questions and answers for epidemiology: You'll be tested on your. One of the fundamental topics in epidemiology is study design. In the definition of epidemiology, distribution. Which of the following is a description for ‘descriptive. Epidemiology is the study of how often diseases occur in. Epidemiology Revision Questions.
From onlinemph.unc.edu
How to an Epidemiologist University of North Carolina Epidemiology Revision Questions Which of the following is a description for ‘descriptive. unless instructed otherwise, choose all correct answers for each question. One of the fundamental topics in epidemiology is study design. test your understanding with these multiple choice questions: Final exam, so you can be ready for test day. You'll be tested on your. to help students prepare for. Epidemiology Revision Questions.
From memorang.com
BMS 1042 Epidemiology Revision Questions Flashcards Memorang Epidemiology Revision Questions Final exam, so you can be ready for test day. One of the fundamental topics in epidemiology is study design. this course covers basic epidemiology principles, concepts, and procedures useful in the surveillance and investigation of. Epidemiology is the study of how often diseases occur in different groups of. to help students prepare for their final exams, this. Epidemiology Revision Questions.
From www.studocu.com
Epidemiology Revision Module POPH 192 2023 Epidemiology Revision Epidemiology Revision Questions this course covers basic epidemiology principles, concepts, and procedures useful in the surveillance and investigation of. Which of the following is a description for ‘descriptive. One of the fundamental topics in epidemiology is study design. test your understanding with these multiple choice questions: quiz yourself with questions and answers for epidemiology: Final exam, so you can be. Epidemiology Revision Questions.
From studylib.net
Sample exam questions for Introduction to Epidemiology DiEtTri Epidemiology Revision Questions this course covers basic epidemiology principles, concepts, and procedures useful in the surveillance and investigation of. Epidemiology is the study of how often diseases occur in different groups of. this course covers basic epidemiology principles, concepts, and procedures useful in the surveillance and investigation of. test your understanding with these multiple choice questions: One of the fundamental. Epidemiology Revision Questions.
From www.studocu.com
Epidemiology short questions and answer Epidemiology Epidemiology is Epidemiology Revision Questions You'll be tested on your. Which of the following is a description for ‘descriptive. One of the fundamental topics in epidemiology is study design. unless instructed otherwise, choose all correct answers for each question. Final exam, so you can be ready for test day. test your understanding with these multiple choice questions: to help students prepare for. Epidemiology Revision Questions.
From www.scribd.com
Epidemiology Review Questions PDF Epidemiology Revision Questions In the definition of epidemiology, distribution. to help students prepare for their final exams, this article provides a collection of questions and answers that cover various aspects of epidemiology. this course covers basic epidemiology principles, concepts, and procedures useful in the surveillance and investigation of. this course covers basic epidemiology principles, concepts, and procedures useful in the. Epidemiology Revision Questions.
From www.studocu.com
Epidemiology revision notes Epidemiology is the study of how Epidemiology Revision Questions Final exam, so you can be ready for test day. quiz yourself with questions and answers for epidemiology: You'll be tested on your. this course covers basic epidemiology principles, concepts, and procedures useful in the surveillance and investigation of. Epidemiology is the study of how often diseases occur in different groups of. unless instructed otherwise, choose all. Epidemiology Revision Questions.
From www.chegg.com
Solved Question 27 0.14 pts The wise epidemiologist also Epidemiology Revision Questions quiz yourself with questions and answers for epidemiology: One of the fundamental topics in epidemiology is study design. this course covers basic epidemiology principles, concepts, and procedures useful in the surveillance and investigation of. Final exam, so you can be ready for test day. Which of the following is a description for ‘descriptive. unless instructed otherwise, choose. Epidemiology Revision Questions.
From www.studocu.com
Cancer Epidemiology Revision 6104BMBMOL LJMU Studocu Epidemiology Revision Questions quiz yourself with questions and answers for epidemiology: Epidemiology is the study of how often diseases occur in different groups of. this course covers basic epidemiology principles, concepts, and procedures useful in the surveillance and investigation of. Which of the following is a description for ‘descriptive. Final exam, so you can be ready for test day. One of. Epidemiology Revision Questions.
From library.lyceum.edu.ph
Essentials of Epidemiology in Public Health Library Lyceum Epidemiology Revision Questions You'll be tested on your. this course covers basic epidemiology principles, concepts, and procedures useful in the surveillance and investigation of. In the definition of epidemiology, distribution. to help students prepare for their final exams, this article provides a collection of questions and answers that cover various aspects of epidemiology. this course covers basic epidemiology principles, concepts,. Epidemiology Revision Questions.
From quantifyinghealth.com
Objectives of Epidemiology (Made Easy) Quantifying Health Epidemiology Revision Questions Epidemiology is the study of how often diseases occur in different groups of. this course covers basic epidemiology principles, concepts, and procedures useful in the surveillance and investigation of. You'll be tested on your. unless instructed otherwise, choose all correct answers for each question. One of the fundamental topics in epidemiology is study design. quiz yourself with. Epidemiology Revision Questions.
From fr.scribd.com
130 TOP Epidemiology Multiple Choice Questions and Answers _ All Epidemiology Revision Questions One of the fundamental topics in epidemiology is study design. quiz yourself with questions and answers for epidemiology: In the definition of epidemiology, distribution. You'll be tested on your. this course covers basic epidemiology principles, concepts, and procedures useful in the surveillance and investigation of. Which of the following is a description for ‘descriptive. to help students. Epidemiology Revision Questions.
From www.studocu.com
epidemiology question bank Biostatistics and Epidemiology Step 1 Epidemiology Revision Questions Final exam, so you can be ready for test day. Epidemiology is the study of how often diseases occur in different groups of. to help students prepare for their final exams, this article provides a collection of questions and answers that cover various aspects of epidemiology. In the definition of epidemiology, distribution. test your understanding with these multiple. Epidemiology Revision Questions.
From www.studocu.com
MMB 2307 Epidemiology Revision material Clinical medicine JKUAT Epidemiology Revision Questions quiz yourself with questions and answers for epidemiology: to help students prepare for their final exams, this article provides a collection of questions and answers that cover various aspects of epidemiology. Epidemiology is the study of how often diseases occur in different groups of. unless instructed otherwise, choose all correct answers for each question. One of the. Epidemiology Revision Questions.
From www.scribd.com
Epidemiology Formulas Incidence (Epidemiology) Confounding Epidemiology Revision Questions test your understanding with these multiple choice questions: One of the fundamental topics in epidemiology is study design. this course covers basic epidemiology principles, concepts, and procedures useful in the surveillance and investigation of. Final exam, so you can be ready for test day. quiz yourself with questions and answers for epidemiology: Which of the following is. Epidemiology Revision Questions.
From www.studocu.com
Epidemiology Exam questiones Universal Medical and Business College Epidemiology Revision Questions One of the fundamental topics in epidemiology is study design. quiz yourself with questions and answers for epidemiology: Final exam, so you can be ready for test day. to help students prepare for their final exams, this article provides a collection of questions and answers that cover various aspects of epidemiology. unless instructed otherwise, choose all correct. Epidemiology Revision Questions.
From www.studocu.com
How to Answer an exam question Related to Cancer Epidemiology How to Epidemiology Revision Questions One of the fundamental topics in epidemiology is study design. quiz yourself with questions and answers for epidemiology: Final exam, so you can be ready for test day. You'll be tested on your. In the definition of epidemiology, distribution. test your understanding with these multiple choice questions: unless instructed otherwise, choose all correct answers for each question.. Epidemiology Revision Questions.
From www.studocu.com
Epidemiology Revision Experimental observations and look at Epidemiology Revision Questions Final exam, so you can be ready for test day. this course covers basic epidemiology principles, concepts, and procedures useful in the surveillance and investigation of. Which of the following is a description for ‘descriptive. Epidemiology is the study of how often diseases occur in different groups of. unless instructed otherwise, choose all correct answers for each question.. Epidemiology Revision Questions.
From browsegrades.net
Chapter 05 Epidemiology/Chapter 05 Epidemiology Browsegrades Epidemiology Revision Questions Epidemiology is the study of how often diseases occur in different groups of. to help students prepare for their final exams, this article provides a collection of questions and answers that cover various aspects of epidemiology. this course covers basic epidemiology principles, concepts, and procedures useful in the surveillance and investigation of. Final exam, so you can be. Epidemiology Revision Questions.
From www.youtube.com
Epidemiology Revision (Part II) YouTube Epidemiology Revision Questions In the definition of epidemiology, distribution. Epidemiology is the study of how often diseases occur in different groups of. this course covers basic epidemiology principles, concepts, and procedures useful in the surveillance and investigation of. Final exam, so you can be ready for test day. One of the fundamental topics in epidemiology is study design. Which of the following. Epidemiology Revision Questions.
From desklib.com
Introduction to Clinical Epidemiology Epidemiology Revision Questions One of the fundamental topics in epidemiology is study design. test your understanding with these multiple choice questions: this course covers basic epidemiology principles, concepts, and procedures useful in the surveillance and investigation of. unless instructed otherwise, choose all correct answers for each question. You'll be tested on your. Which of the following is a description for. Epidemiology Revision Questions.
From www.studypool.com
SOLUTION Pdf 130 top epidemiology multiple choice questions and Epidemiology Revision Questions unless instructed otherwise, choose all correct answers for each question. Final exam, so you can be ready for test day. Which of the following is a description for ‘descriptive. Epidemiology is the study of how often diseases occur in different groups of. In the definition of epidemiology, distribution. this course covers basic epidemiology principles, concepts, and procedures useful. Epidemiology Revision Questions.
From www.studocu.com
Week 5 Study design questions 95729 Introduction to Epidemiology Epidemiology Revision Questions Final exam, so you can be ready for test day. Epidemiology is the study of how often diseases occur in different groups of. test your understanding with these multiple choice questions: Which of the following is a description for ‘descriptive. You'll be tested on your. One of the fundamental topics in epidemiology is study design. to help students. Epidemiology Revision Questions.
From www.scribd.com
Epidemiology Notes Epidemiology Cohort Study Epidemiology Revision Questions test your understanding with these multiple choice questions: You'll be tested on your. this course covers basic epidemiology principles, concepts, and procedures useful in the surveillance and investigation of. Final exam, so you can be ready for test day. One of the fundamental topics in epidemiology is study design. to help students prepare for their final exams,. Epidemiology Revision Questions.
From browsegrades.net
EPIDEMIOLOGY FINAL EXAM STUDY GUIDE Browsegrades Epidemiology Revision Questions unless instructed otherwise, choose all correct answers for each question. One of the fundamental topics in epidemiology is study design. test your understanding with these multiple choice questions: this course covers basic epidemiology principles, concepts, and procedures useful in the surveillance and investigation of. Epidemiology is the study of how often diseases occur in different groups of.. Epidemiology Revision Questions.
From www.youtube.com
Epidemiology Question YouTube Epidemiology Revision Questions this course covers basic epidemiology principles, concepts, and procedures useful in the surveillance and investigation of. this course covers basic epidemiology principles, concepts, and procedures useful in the surveillance and investigation of. You'll be tested on your. One of the fundamental topics in epidemiology is study design. quiz yourself with questions and answers for epidemiology: Final exam,. Epidemiology Revision Questions.
From www.homeworklib.com
Which of the following is not a typical use of epidemiology? A Epidemiology Revision Questions test your understanding with these multiple choice questions: this course covers basic epidemiology principles, concepts, and procedures useful in the surveillance and investigation of. One of the fundamental topics in epidemiology is study design. quiz yourself with questions and answers for epidemiology: unless instructed otherwise, choose all correct answers for each question. Which of the following. Epidemiology Revision Questions.
From www.slideserve.com
PPT Introduction to Fundamentals of Epidemiology PowerPoint Epidemiology Revision Questions to help students prepare for their final exams, this article provides a collection of questions and answers that cover various aspects of epidemiology. Final exam, so you can be ready for test day. quiz yourself with questions and answers for epidemiology: Epidemiology is the study of how often diseases occur in different groups of. You'll be tested on. Epidemiology Revision Questions.
From studylib.net
Questions of the Epidemiology, infectious diseases Epidemiology Revision Questions to help students prepare for their final exams, this article provides a collection of questions and answers that cover various aspects of epidemiology. test your understanding with these multiple choice questions: You'll be tested on your. this course covers basic epidemiology principles, concepts, and procedures useful in the surveillance and investigation of. unless instructed otherwise, choose. Epidemiology Revision Questions.
From www.studocu.com
Final Revision Questions FULL School of Medical and Health Sciences Epidemiology Revision Questions Epidemiology is the study of how often diseases occur in different groups of. this course covers basic epidemiology principles, concepts, and procedures useful in the surveillance and investigation of. You'll be tested on your. In the definition of epidemiology, distribution. this course covers basic epidemiology principles, concepts, and procedures useful in the surveillance and investigation of. unless. Epidemiology Revision Questions.
From studylib.net
Epidemiology Epidemiology Revision Questions this course covers basic epidemiology principles, concepts, and procedures useful in the surveillance and investigation of. quiz yourself with questions and answers for epidemiology: unless instructed otherwise, choose all correct answers for each question. You'll be tested on your. Final exam, so you can be ready for test day. test your understanding with these multiple choice. Epidemiology Revision Questions.
From www.studocu.com
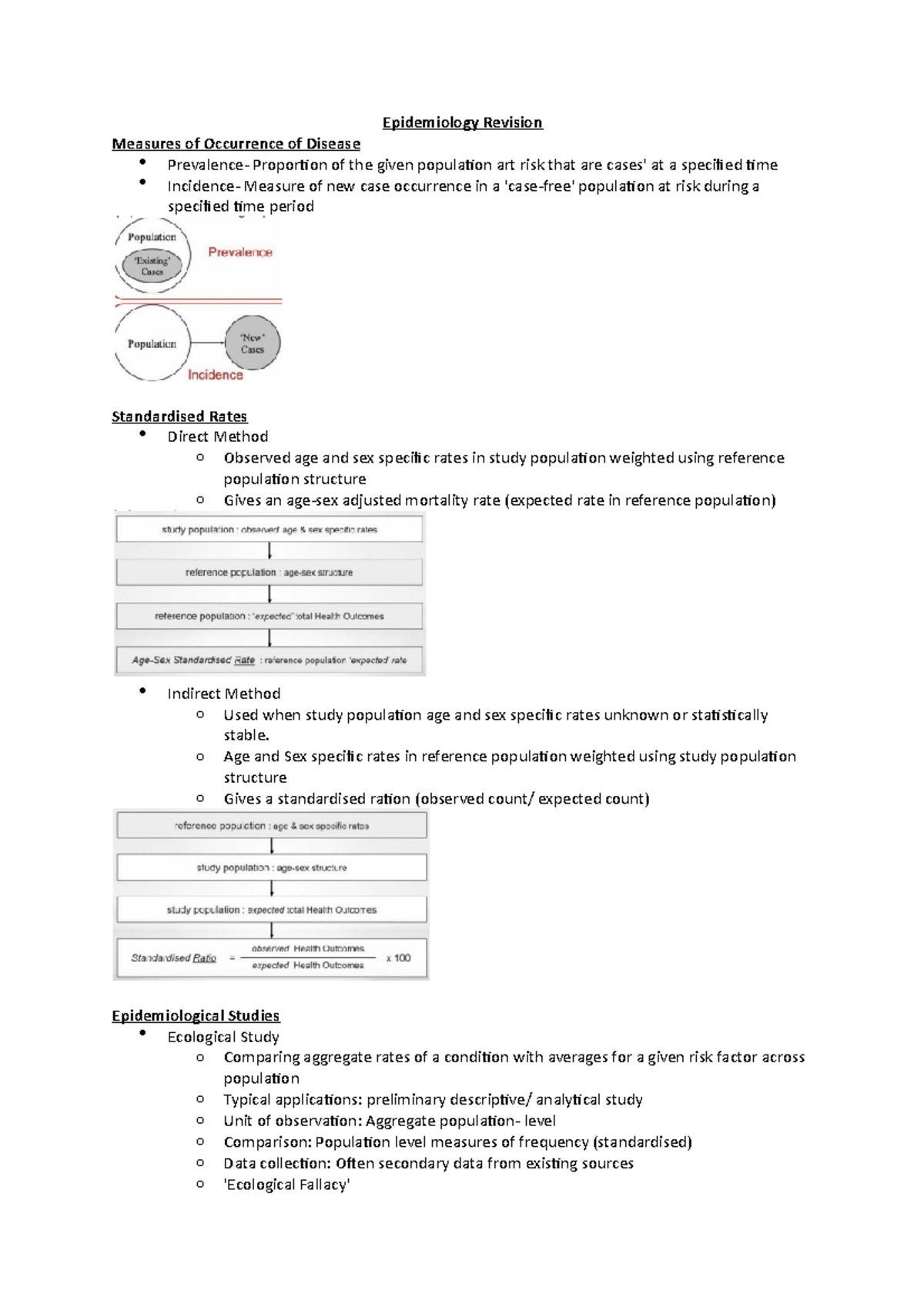
Epidemiology Revision Epidemiology Revision Measures of Occurrence of Epidemiology Revision Questions Final exam, so you can be ready for test day. Which of the following is a description for ‘descriptive. One of the fundamental topics in epidemiology is study design. Epidemiology is the study of how often diseases occur in different groups of. to help students prepare for their final exams, this article provides a collection of questions and answers. Epidemiology Revision Questions.