Two Triangles Have Equal Bases . The altitude of one triangle is 3 units more than its base and the altitude of the other triangle is 3 units less than. Two triangles have equal bases. Find the altitudes, if the areas of the. Triangles on the same base and between the same parallels are explained here in this article using the theorem with a solved example. Two triangles on the same base and between the same parallels are equal in area. The altitude of one triangle is 3 units more than its base while the altitude of the other is 3 units less than its. Two triangles have equal bases. Two triangles have equal bases. The altitude of one triangle is 3 units more than its base and the altitude of the other triangle is 3 units less than. Two triangles have equal bases. If two triangles share a base and the vertices opposite this base lie on a straight line parallel to the base, then they have equal areas. The altitude of one triangle is 3 units more than its base and the altitude of the other triangle is 3 units less than its base.
from www.cuemath.com
Triangles on the same base and between the same parallels are explained here in this article using the theorem with a solved example. Two triangles have equal bases. The altitude of one triangle is 3 units more than its base and the altitude of the other triangle is 3 units less than. The altitude of one triangle is 3 units more than its base while the altitude of the other is 3 units less than its. Two triangles have equal bases. Two triangles have equal bases. Two triangles have equal bases. If two triangles share a base and the vertices opposite this base lie on a straight line parallel to the base, then they have equal areas. Two triangles on the same base and between the same parallels are equal in area. The altitude of one triangle is 3 units more than its base and the altitude of the other triangle is 3 units less than its base.
Isosceles Triangle Solved Examples Geometry Cuemath
Two Triangles Have Equal Bases Two triangles have equal bases. The altitude of one triangle is 3 units more than its base and the altitude of the other triangle is 3 units less than. Two triangles have equal bases. The altitude of one triangle is 3 units more than its base while the altitude of the other is 3 units less than its. The altitude of one triangle is 3 units more than its base and the altitude of the other triangle is 3 units less than. If two triangles share a base and the vertices opposite this base lie on a straight line parallel to the base, then they have equal areas. Two triangles have equal bases. Two triangles have equal bases. Two triangles have equal bases. Triangles on the same base and between the same parallels are explained here in this article using the theorem with a solved example. Find the altitudes, if the areas of the. The altitude of one triangle is 3 units more than its base and the altitude of the other triangle is 3 units less than its base. Two triangles on the same base and between the same parallels are equal in area.
From www.toppr.com
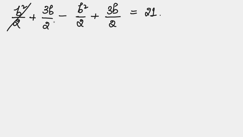
If two triangles have equal area and the ratio of their bases is equal Two Triangles Have Equal Bases The altitude of one triangle is 3 units more than its base and the altitude of the other triangle is 3 units less than. Two triangles have equal bases. The altitude of one triangle is 3 units more than its base while the altitude of the other is 3 units less than its. The altitude of one triangle is 3. Two Triangles Have Equal Bases.
From slideplayer.com
Lesson 117 Ratios of Areas (page 456) ppt download Two Triangles Have Equal Bases The altitude of one triangle is 3 units more than its base and the altitude of the other triangle is 3 units less than. Two triangles have equal bases. Triangles on the same base and between the same parallels are explained here in this article using the theorem with a solved example. Two triangles have equal bases. Two triangles on. Two Triangles Have Equal Bases.
From etc.usf.edu
Triangles With The Same Base ClipArt ETC Two Triangles Have Equal Bases Two triangles have equal bases. The altitude of one triangle is 3 units more than its base and the altitude of the other triangle is 3 units less than its base. Find the altitudes, if the areas of the. Two triangles have equal bases. Triangles on the same base and between the same parallels are explained here in this article. Two Triangles Have Equal Bases.
From www.gauthmath.com
Solved Two triangles have equal bases. The altitude of one triangle is Two Triangles Have Equal Bases If two triangles share a base and the vertices opposite this base lie on a straight line parallel to the base, then they have equal areas. Two triangles have equal bases. The altitude of one triangle is 3 units more than its base and the altitude of the other triangle is 3 units less than its base. Two triangles have. Two Triangles Have Equal Bases.
From www.cuemath.com
Isosceles Triangle Solved Examples Geometry Cuemath Two Triangles Have Equal Bases The altitude of one triangle is 3 units more than its base while the altitude of the other is 3 units less than its. The altitude of one triangle is 3 units more than its base and the altitude of the other triangle is 3 units less than. Two triangles have equal bases. Two triangles have equal bases. Triangles on. Two Triangles Have Equal Bases.
From brainly.in
2. Two triangles have equal bases. The altitude of one triangle is 3 Two Triangles Have Equal Bases Two triangles have equal bases. If two triangles share a base and the vertices opposite this base lie on a straight line parallel to the base, then they have equal areas. Triangles on the same base and between the same parallels are explained here in this article using the theorem with a solved example. Find the altitudes, if the areas. Two Triangles Have Equal Bases.
From www.teachoo.com
Question 3 ABC and DBC are two triangles on same base BC Two Triangles Have Equal Bases Find the altitudes, if the areas of the. Two triangles have equal bases. Two triangles have equal bases. Triangles on the same base and between the same parallels are explained here in this article using the theorem with a solved example. Two triangles have equal bases. If two triangles share a base and the vertices opposite this base lie on. Two Triangles Have Equal Bases.
From www.schoollearners.com
Class 9 Chapter 9 Theorem 9.3 Two triangles having the same base (or Two Triangles Have Equal Bases Two triangles have equal bases. The altitude of one triangle is 3 units more than its base and the altitude of the other triangle is 3 units less than. The altitude of one triangle is 3 units more than its base while the altitude of the other is 3 units less than its. Find the altitudes, if the areas of. Two Triangles Have Equal Bases.
From youtube.com
Triangles with same base and between same parallels have equal areas Two Triangles Have Equal Bases If two triangles share a base and the vertices opposite this base lie on a straight line parallel to the base, then they have equal areas. Two triangles have equal bases. The altitude of one triangle is 3 units more than its base and the altitude of the other triangle is 3 units less than. Two triangles have equal bases.. Two Triangles Have Equal Bases.
From www.cuemath.com
Isosceles Triangle Solved Examples Geometry Cuemath Two Triangles Have Equal Bases The altitude of one triangle is 3 units more than its base and the altitude of the other triangle is 3 units less than its base. The altitude of one triangle is 3 units more than its base and the altitude of the other triangle is 3 units less than. Two triangles have equal bases. Two triangles have equal bases.. Two Triangles Have Equal Bases.
From www.teachoo.com
Misc 2 Two equal sides of isosceles triangle, fixed base b Two Triangles Have Equal Bases Two triangles have equal bases. Triangles on the same base and between the same parallels are explained here in this article using the theorem with a solved example. If two triangles share a base and the vertices opposite this base lie on a straight line parallel to the base, then they have equal areas. Two triangles have equal bases. The. Two Triangles Have Equal Bases.
From www.numerade.com
SOLVED 7. Two triangles have equal bases. The altitude of one triangle Two Triangles Have Equal Bases The altitude of one triangle is 3 units more than its base and the altitude of the other triangle is 3 units less than. Two triangles have equal bases. The altitude of one triangle is 3 units more than its base and the altitude of the other triangle is 3 units less than its base. The altitude of one triangle. Two Triangles Have Equal Bases.
From eurekamathanswerkeys.com
Triangles with Equal Areas on the Same Base have Equal Corresponding Two Triangles Have Equal Bases The altitude of one triangle is 3 units more than its base and the altitude of the other triangle is 3 units less than its base. Two triangles on the same base and between the same parallels are equal in area. Two triangles have equal bases. Two triangles have equal bases. Two triangles have equal bases. The altitude of one. Two Triangles Have Equal Bases.
From www.toppr.com
If two triangles have equal area and the ratio of their bases is equal Two Triangles Have Equal Bases If two triangles share a base and the vertices opposite this base lie on a straight line parallel to the base, then they have equal areas. Two triangles have equal bases. The altitude of one triangle is 3 units more than its base and the altitude of the other triangle is 3 units less than its base. Find the altitudes,. Two Triangles Have Equal Bases.
From slidetodoc.com
Geometry 11 7 Ratio of Areas Comparing Areas Two Triangles Have Equal Bases Two triangles have equal bases. Two triangles have equal bases. The altitude of one triangle is 3 units more than its base and the altitude of the other triangle is 3 units less than its base. Triangles on the same base and between the same parallels are explained here in this article using the theorem with a solved example. The. Two Triangles Have Equal Bases.
From www.youtube.com
Theorem 9.3 Two triangles having the same base (or equal bases) and Two Triangles Have Equal Bases Two triangles have equal bases. The altitude of one triangle is 3 units more than its base and the altitude of the other triangle is 3 units less than. If two triangles share a base and the vertices opposite this base lie on a straight line parallel to the base, then they have equal areas. The altitude of one triangle. Two Triangles Have Equal Bases.
From mathmonks.com
Isosceles Triangle Definition, Properties, Types, Formulas Two Triangles Have Equal Bases Two triangles have equal bases. Find the altitudes, if the areas of the. The altitude of one triangle is 3 units more than its base and the altitude of the other triangle is 3 units less than. Two triangles have equal bases. Two triangles have equal bases. The altitude of one triangle is 3 units more than its base and. Two Triangles Have Equal Bases.
From www.teachoo.com
Theorem 9.2 Class 9 Two triangles on same base between parallels Two Triangles Have Equal Bases Two triangles have equal bases. The altitude of one triangle is 3 units more than its base and the altitude of the other triangle is 3 units less than. The altitude of one triangle is 3 units more than its base while the altitude of the other is 3 units less than its. The altitude of one triangle is 3. Two Triangles Have Equal Bases.
From brilliant.org
Properties of Isosceles Triangles Brilliant Math & Science Wiki Two Triangles Have Equal Bases The altitude of one triangle is 3 units more than its base and the altitude of the other triangle is 3 units less than. Two triangles have equal bases. If two triangles share a base and the vertices opposite this base lie on a straight line parallel to the base, then they have equal areas. Two triangles on the same. Two Triangles Have Equal Bases.
From www.teachoo.com
Theorem 9.3 Class 9 Triangles having same base and equal areas lie Two Triangles Have Equal Bases The altitude of one triangle is 3 units more than its base and the altitude of the other triangle is 3 units less than. Two triangles on the same base and between the same parallels are equal in area. Two triangles have equal bases. Two triangles have equal bases. Triangles on the same base and between the same parallels are. Two Triangles Have Equal Bases.
From www.schoollearners.com
Class 9 Chapter 9 Theorem 9.2 Two triangles on the same base (or Two Triangles Have Equal Bases Two triangles have equal bases. If two triangles share a base and the vertices opposite this base lie on a straight line parallel to the base, then they have equal areas. Find the altitudes, if the areas of the. Triangles on the same base and between the same parallels are explained here in this article using the theorem with a. Two Triangles Have Equal Bases.
From mathmonks.com
Right Triangle Definition, Properties, Types, Formulas Two Triangles Have Equal Bases The altitude of one triangle is 3 units more than its base and the altitude of the other triangle is 3 units less than. Find the altitudes, if the areas of the. Two triangles have equal bases. Two triangles have equal bases. Two triangles on the same base and between the same parallels are equal in area. Triangles on the. Two Triangles Have Equal Bases.
From calcworkshop.com
Classifying Triangles (15+ StepbyStep Examples!) Two Triangles Have Equal Bases The altitude of one triangle is 3 units more than its base while the altitude of the other is 3 units less than its. The altitude of one triangle is 3 units more than its base and the altitude of the other triangle is 3 units less than. Two triangles have equal bases. Two triangles on the same base and. Two Triangles Have Equal Bases.
From socratic.org
Two equal sides of isosceles triangle of a triangle are (5x+3) and (6x Two Triangles Have Equal Bases If two triangles share a base and the vertices opposite this base lie on a straight line parallel to the base, then they have equal areas. The altitude of one triangle is 3 units more than its base and the altitude of the other triangle is 3 units less than. The altitude of one triangle is 3 units more than. Two Triangles Have Equal Bases.
From www.cuemath.com
Triangles Definition, Properties, Formula Triangle Shape Two Triangles Have Equal Bases Two triangles have equal bases. The altitude of one triangle is 3 units more than its base while the altitude of the other is 3 units less than its. The altitude of one triangle is 3 units more than its base and the altitude of the other triangle is 3 units less than. Two triangles have equal bases. The altitude. Two Triangles Have Equal Bases.
From www.ck12.org
Isosceles and Equilateral Triangles CK12 Foundation Two Triangles Have Equal Bases Find the altitudes, if the areas of the. Two triangles have equal bases. Two triangles have equal bases. The altitude of one triangle is 3 units more than its base and the altitude of the other triangle is 3 units less than. Two triangles have equal bases. The altitude of one triangle is 3 units more than its base and. Two Triangles Have Equal Bases.
From www.youtube.com
two triangles having the same base or equal base and equal area lie Two Triangles Have Equal Bases Two triangles have equal bases. Two triangles have equal bases. Two triangles have equal bases. Two triangles have equal bases. Find the altitudes, if the areas of the. The altitude of one triangle is 3 units more than its base and the altitude of the other triangle is 3 units less than its base. If two triangles share a base. Two Triangles Have Equal Bases.
From www.youtube.com
Ratio of the area of two triangles with equal bases YouTube Two Triangles Have Equal Bases Two triangles have equal bases. The altitude of one triangle is 3 units more than its base and the altitude of the other triangle is 3 units less than its base. Two triangles have equal bases. Two triangles on the same base and between the same parallels are equal in area. Two triangles have equal bases. The altitude of one. Two Triangles Have Equal Bases.
From www.meritnation.com
how to prove that "two triangles having the same base (or equal bases Two Triangles Have Equal Bases Two triangles on the same base and between the same parallels are equal in area. Two triangles have equal bases. The altitude of one triangle is 3 units more than its base and the altitude of the other triangle is 3 units less than. The altitude of one triangle is 3 units more than its base while the altitude of. Two Triangles Have Equal Bases.
From www.grc.nasa.gov
Trigonometry Terminology Two Triangles Have Equal Bases Two triangles have equal bases. The altitude of one triangle is 3 units more than its base while the altitude of the other is 3 units less than its. Triangles on the same base and between the same parallels are explained here in this article using the theorem with a solved example. The altitude of one triangle is 3 units. Two Triangles Have Equal Bases.
From www.teachoo.com
Misc 2 Two equal sides of isosceles triangle, fixed base b Two Triangles Have Equal Bases Two triangles have equal bases. Triangles on the same base and between the same parallels are explained here in this article using the theorem with a solved example. Two triangles have equal bases. If two triangles share a base and the vertices opposite this base lie on a straight line parallel to the base, then they have equal areas. The. Two Triangles Have Equal Bases.
From www.toppr.com
"Prove that two triangles having same base and equal areas have Two Triangles Have Equal Bases Two triangles have equal bases. Find the altitudes, if the areas of the. Two triangles on the same base and between the same parallels are equal in area. Two triangles have equal bases. Two triangles have equal bases. The altitude of one triangle is 3 units more than its base while the altitude of the other is 3 units less. Two Triangles Have Equal Bases.
From www.teachoo.com
Misc 3 Two equal sides of isosceles triangle, fixed base b Two Triangles Have Equal Bases Two triangles have equal bases. The altitude of one triangle is 3 units more than its base and the altitude of the other triangle is 3 units less than its base. If two triangles share a base and the vertices opposite this base lie on a straight line parallel to the base, then they have equal areas. The altitude of. Two Triangles Have Equal Bases.
From brainly.in
Two triangles having the same base (or equal bases) and equal areas lie Two Triangles Have Equal Bases Two triangles have equal bases. The altitude of one triangle is 3 units more than its base and the altitude of the other triangle is 3 units less than its base. Triangles on the same base and between the same parallels are explained here in this article using the theorem with a solved example. The altitude of one triangle is. Two Triangles Have Equal Bases.
From www.nagwa.com
Question Video Finding the Measure of the Base Angle in an Isosceles Two Triangles Have Equal Bases Two triangles have equal bases. Find the altitudes, if the areas of the. Triangles on the same base and between the same parallels are explained here in this article using the theorem with a solved example. The altitude of one triangle is 3 units more than its base and the altitude of the other triangle is 3 units less than.. Two Triangles Have Equal Bases.