Baking Soda And Lemon Juice React To Form Carbon Dioxide Gas . What happens when you mix baking soda and lemon juice? This reaction produces carbon dioxide gas, which creates the fun fizzing and bubbling effect that looks like a mini volcano erupting. When baking soda (sodium bicarbonate) and lemon juice (citric acid) are. When a baking soda is mixed with the lemon juice then carbon dioxide (co 2) gas is released in the form of bubbles. The acid in the lemon juice (citric acid) reacts with the base in the baking soda (sodium bicarbonate), resulting in the. Specifically, the baking soda (a base) reacts with the acid to give you carbon dioxide gas, water, and salt. The mixing of baking soda (sodium bicarbonate) with lemon juice (citric acid) results in a chemical reaction, producing carbon dioxide gas, water,. When the acid of the lemon juice (citric acid) came in contact with the carbonate base (baking soda) a chemical reaction took. This works in the same way as a classic baking soda and.
from www.sciencephoto.com
The acid in the lemon juice (citric acid) reacts with the base in the baking soda (sodium bicarbonate), resulting in the. When the acid of the lemon juice (citric acid) came in contact with the carbonate base (baking soda) a chemical reaction took. When a baking soda is mixed with the lemon juice then carbon dioxide (co 2) gas is released in the form of bubbles. The mixing of baking soda (sodium bicarbonate) with lemon juice (citric acid) results in a chemical reaction, producing carbon dioxide gas, water,. This works in the same way as a classic baking soda and. Specifically, the baking soda (a base) reacts with the acid to give you carbon dioxide gas, water, and salt. This reaction produces carbon dioxide gas, which creates the fun fizzing and bubbling effect that looks like a mini volcano erupting. When baking soda (sodium bicarbonate) and lemon juice (citric acid) are. What happens when you mix baking soda and lemon juice?
Lemon reacting with baking soda Stock Image C017/4025 Science
Baking Soda And Lemon Juice React To Form Carbon Dioxide Gas When the acid of the lemon juice (citric acid) came in contact with the carbonate base (baking soda) a chemical reaction took. What happens when you mix baking soda and lemon juice? Specifically, the baking soda (a base) reacts with the acid to give you carbon dioxide gas, water, and salt. The mixing of baking soda (sodium bicarbonate) with lemon juice (citric acid) results in a chemical reaction, producing carbon dioxide gas, water,. The acid in the lemon juice (citric acid) reacts with the base in the baking soda (sodium bicarbonate), resulting in the. This works in the same way as a classic baking soda and. When a baking soda is mixed with the lemon juice then carbon dioxide (co 2) gas is released in the form of bubbles. This reaction produces carbon dioxide gas, which creates the fun fizzing and bubbling effect that looks like a mini volcano erupting. When baking soda (sodium bicarbonate) and lemon juice (citric acid) are. When the acid of the lemon juice (citric acid) came in contact with the carbonate base (baking soda) a chemical reaction took.
From www.youtube.com
Chemical Reaction Of Baking Soda And Vinegar (Sodium Bicarbonate And Baking Soda And Lemon Juice React To Form Carbon Dioxide Gas When the acid of the lemon juice (citric acid) came in contact with the carbonate base (baking soda) a chemical reaction took. What happens when you mix baking soda and lemon juice? When a baking soda is mixed with the lemon juice then carbon dioxide (co 2) gas is released in the form of bubbles. This reaction produces carbon dioxide. Baking Soda And Lemon Juice React To Form Carbon Dioxide Gas.
From www.thebestideasforkids.com
Lemon Volcano (with Video Tutorial) The Best Ideas for Kids Baking Soda And Lemon Juice React To Form Carbon Dioxide Gas When the acid of the lemon juice (citric acid) came in contact with the carbonate base (baking soda) a chemical reaction took. The acid in the lemon juice (citric acid) reacts with the base in the baking soda (sodium bicarbonate), resulting in the. This works in the same way as a classic baking soda and. This reaction produces carbon dioxide. Baking Soda And Lemon Juice React To Form Carbon Dioxide Gas.
From ar.inspiredpencil.com
Mixing Baking Soda And Vinegar To Produce Carbon Dioxide Gas Baking Soda And Lemon Juice React To Form Carbon Dioxide Gas This works in the same way as a classic baking soda and. What happens when you mix baking soda and lemon juice? Specifically, the baking soda (a base) reacts with the acid to give you carbon dioxide gas, water, and salt. The mixing of baking soda (sodium bicarbonate) with lemon juice (citric acid) results in a chemical reaction, producing carbon. Baking Soda And Lemon Juice React To Form Carbon Dioxide Gas.
From www.thedailymeal.com
The Easy Lemon Juice Trick You Need For Gauging The Freshness Of Baking Baking Soda And Lemon Juice React To Form Carbon Dioxide Gas When baking soda (sodium bicarbonate) and lemon juice (citric acid) are. This reaction produces carbon dioxide gas, which creates the fun fizzing and bubbling effect that looks like a mini volcano erupting. The acid in the lemon juice (citric acid) reacts with the base in the baking soda (sodium bicarbonate), resulting in the. This works in the same way as. Baking Soda And Lemon Juice React To Form Carbon Dioxide Gas.
From eatwhatweeat.com
Top 15 Most Shared Baking soda and Lemon Juice Easy Recipes To Make Baking Soda And Lemon Juice React To Form Carbon Dioxide Gas This works in the same way as a classic baking soda and. When baking soda (sodium bicarbonate) and lemon juice (citric acid) are. The acid in the lemon juice (citric acid) reacts with the base in the baking soda (sodium bicarbonate), resulting in the. Specifically, the baking soda (a base) reacts with the acid to give you carbon dioxide gas,. Baking Soda And Lemon Juice React To Form Carbon Dioxide Gas.
From handsonaswegrow.com
Baking Soda and Vinegar Experiment to Find Out What's Best! Baking Soda And Lemon Juice React To Form Carbon Dioxide Gas When the acid of the lemon juice (citric acid) came in contact with the carbonate base (baking soda) a chemical reaction took. When a baking soda is mixed with the lemon juice then carbon dioxide (co 2) gas is released in the form of bubbles. This works in the same way as a classic baking soda and. The mixing of. Baking Soda And Lemon Juice React To Form Carbon Dioxide Gas.
From www.youtube.com
Treat Abdominal Gas Quickly With Baking Soda & Lemon How To Use Lemon Baking Soda And Lemon Juice React To Form Carbon Dioxide Gas This reaction produces carbon dioxide gas, which creates the fun fizzing and bubbling effect that looks like a mini volcano erupting. Specifically, the baking soda (a base) reacts with the acid to give you carbon dioxide gas, water, and salt. The acid in the lemon juice (citric acid) reacts with the base in the baking soda (sodium bicarbonate), resulting in. Baking Soda And Lemon Juice React To Form Carbon Dioxide Gas.
From www.youtube.com
Releasing Carbon Dioxide from Baking Soda YouTube Baking Soda And Lemon Juice React To Form Carbon Dioxide Gas This works in the same way as a classic baking soda and. When a baking soda is mixed with the lemon juice then carbon dioxide (co 2) gas is released in the form of bubbles. What happens when you mix baking soda and lemon juice? When the acid of the lemon juice (citric acid) came in contact with the carbonate. Baking Soda And Lemon Juice React To Form Carbon Dioxide Gas.
From www.numerade.com
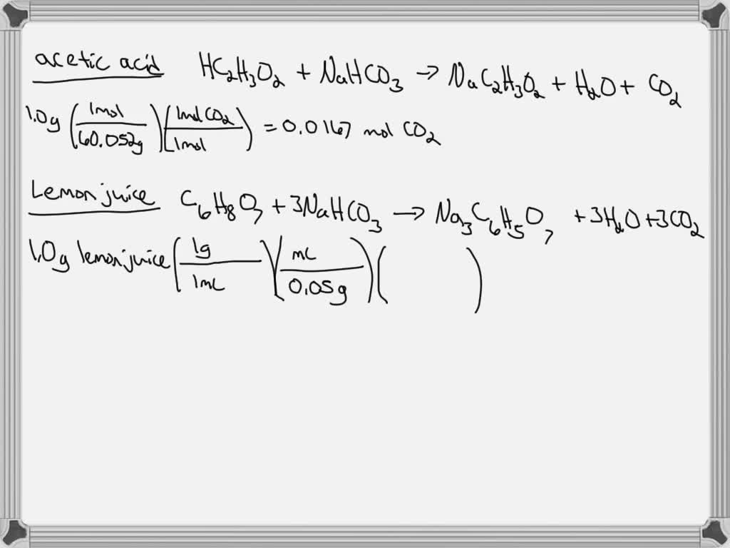
SOLVED If 1 g each of vinegar, lemon juice, and lactic acid react with Baking Soda And Lemon Juice React To Form Carbon Dioxide Gas This reaction produces carbon dioxide gas, which creates the fun fizzing and bubbling effect that looks like a mini volcano erupting. This works in the same way as a classic baking soda and. Specifically, the baking soda (a base) reacts with the acid to give you carbon dioxide gas, water, and salt. The acid in the lemon juice (citric acid). Baking Soda And Lemon Juice React To Form Carbon Dioxide Gas.
From www.youtube.com
Baking soda and lemon juice experiment Changes of matter YouTube Baking Soda And Lemon Juice React To Form Carbon Dioxide Gas This reaction produces carbon dioxide gas, which creates the fun fizzing and bubbling effect that looks like a mini volcano erupting. When the acid of the lemon juice (citric acid) came in contact with the carbonate base (baking soda) a chemical reaction took. What happens when you mix baking soda and lemon juice? The mixing of baking soda (sodium bicarbonate). Baking Soda And Lemon Juice React To Form Carbon Dioxide Gas.
From www.scienceshorts.com
What Happens When Baking Soda is Mixed With Water Baking Soda And Lemon Juice React To Form Carbon Dioxide Gas The acid in the lemon juice (citric acid) reacts with the base in the baking soda (sodium bicarbonate), resulting in the. This reaction produces carbon dioxide gas, which creates the fun fizzing and bubbling effect that looks like a mini volcano erupting. This works in the same way as a classic baking soda and. When the acid of the lemon. Baking Soda And Lemon Juice React To Form Carbon Dioxide Gas.
From www.numerade.com
SOLVED Baking soda and vinegar react according to the following Baking Soda And Lemon Juice React To Form Carbon Dioxide Gas What happens when you mix baking soda and lemon juice? When the acid of the lemon juice (citric acid) came in contact with the carbonate base (baking soda) a chemical reaction took. The acid in the lemon juice (citric acid) reacts with the base in the baking soda (sodium bicarbonate), resulting in the. The mixing of baking soda (sodium bicarbonate). Baking Soda And Lemon Juice React To Form Carbon Dioxide Gas.
From www.teachoo.com
Assertion (A) Carbon dioxide turns lime water milky. Reason (R) Baking Soda And Lemon Juice React To Form Carbon Dioxide Gas The mixing of baking soda (sodium bicarbonate) with lemon juice (citric acid) results in a chemical reaction, producing carbon dioxide gas, water,. When baking soda (sodium bicarbonate) and lemon juice (citric acid) are. When a baking soda is mixed with the lemon juice then carbon dioxide (co 2) gas is released in the form of bubbles. What happens when you. Baking Soda And Lemon Juice React To Form Carbon Dioxide Gas.
From www.youtube.com
Science Experiment Lemon With Baking Soda YouTube Baking Soda And Lemon Juice React To Form Carbon Dioxide Gas When the acid of the lemon juice (citric acid) came in contact with the carbonate base (baking soda) a chemical reaction took. This works in the same way as a classic baking soda and. What happens when you mix baking soda and lemon juice? Specifically, the baking soda (a base) reacts with the acid to give you carbon dioxide gas,. Baking Soda And Lemon Juice React To Form Carbon Dioxide Gas.
From igrovyeavtomaty.org
15 Great Lemon Juice and Baking soda How to Make Perfect Recipes Baking Soda And Lemon Juice React To Form Carbon Dioxide Gas This works in the same way as a classic baking soda and. When a baking soda is mixed with the lemon juice then carbon dioxide (co 2) gas is released in the form of bubbles. Specifically, the baking soda (a base) reacts with the acid to give you carbon dioxide gas, water, and salt. The mixing of baking soda (sodium. Baking Soda And Lemon Juice React To Form Carbon Dioxide Gas.
From www.kvaroyarctic.com
Easy Carbon Dioxide Experiment with a Balloon — Kvaroy Arctic Baking Soda And Lemon Juice React To Form Carbon Dioxide Gas Specifically, the baking soda (a base) reacts with the acid to give you carbon dioxide gas, water, and salt. When baking soda (sodium bicarbonate) and lemon juice (citric acid) are. What happens when you mix baking soda and lemon juice? The mixing of baking soda (sodium bicarbonate) with lemon juice (citric acid) results in a chemical reaction, producing carbon dioxide. Baking Soda And Lemon Juice React To Form Carbon Dioxide Gas.
From www.dreamstime.com
The Chemical Reaction of Vinegar and Baking Soda Produces Carbon Baking Soda And Lemon Juice React To Form Carbon Dioxide Gas When a baking soda is mixed with the lemon juice then carbon dioxide (co 2) gas is released in the form of bubbles. This works in the same way as a classic baking soda and. When the acid of the lemon juice (citric acid) came in contact with the carbonate base (baking soda) a chemical reaction took. Specifically, the baking. Baking Soda And Lemon Juice React To Form Carbon Dioxide Gas.
From www.numerade.com
SOLVEDIf 1 g each of vinegar, lemon juice, and lactic acid react with Baking Soda And Lemon Juice React To Form Carbon Dioxide Gas This reaction produces carbon dioxide gas, which creates the fun fizzing and bubbling effect that looks like a mini volcano erupting. What happens when you mix baking soda and lemon juice? The acid in the lemon juice (citric acid) reacts with the base in the baking soda (sodium bicarbonate), resulting in the. When the acid of the lemon juice (citric. Baking Soda And Lemon Juice React To Form Carbon Dioxide Gas.
From presprimarytralee.com
6th class did the experiment of inflating a balloon using water, lemon Baking Soda And Lemon Juice React To Form Carbon Dioxide Gas What happens when you mix baking soda and lemon juice? Specifically, the baking soda (a base) reacts with the acid to give you carbon dioxide gas, water, and salt. When the acid of the lemon juice (citric acid) came in contact with the carbonate base (baking soda) a chemical reaction took. The acid in the lemon juice (citric acid) reacts. Baking Soda And Lemon Juice React To Form Carbon Dioxide Gas.
From kongsihktong.com
Baking Soda and Lemon Juice Powerful Combination for Cleaning and Health Baking Soda And Lemon Juice React To Form Carbon Dioxide Gas The acid in the lemon juice (citric acid) reacts with the base in the baking soda (sodium bicarbonate), resulting in the. When a baking soda is mixed with the lemon juice then carbon dioxide (co 2) gas is released in the form of bubbles. The mixing of baking soda (sodium bicarbonate) with lemon juice (citric acid) results in a chemical. Baking Soda And Lemon Juice React To Form Carbon Dioxide Gas.
From www.tessshebaylo.com
Chemical Equation For Baking Soda Citric Acid And Water Tessshebaylo Baking Soda And Lemon Juice React To Form Carbon Dioxide Gas This works in the same way as a classic baking soda and. The mixing of baking soda (sodium bicarbonate) with lemon juice (citric acid) results in a chemical reaction, producing carbon dioxide gas, water,. This reaction produces carbon dioxide gas, which creates the fun fizzing and bubbling effect that looks like a mini volcano erupting. Specifically, the baking soda (a. Baking Soda And Lemon Juice React To Form Carbon Dioxide Gas.
From www.numerade.com
SOLVED Carbon disulfide gas and oxygen gas react to form sulfur Baking Soda And Lemon Juice React To Form Carbon Dioxide Gas The mixing of baking soda (sodium bicarbonate) with lemon juice (citric acid) results in a chemical reaction, producing carbon dioxide gas, water,. Specifically, the baking soda (a base) reacts with the acid to give you carbon dioxide gas, water, and salt. When baking soda (sodium bicarbonate) and lemon juice (citric acid) are. This reaction produces carbon dioxide gas, which creates. Baking Soda And Lemon Juice React To Form Carbon Dioxide Gas.
From www.thoughtco.com
Lemon Juice and Baking Soda Reaction Project Baking Soda And Lemon Juice React To Form Carbon Dioxide Gas What happens when you mix baking soda and lemon juice? Specifically, the baking soda (a base) reacts with the acid to give you carbon dioxide gas, water, and salt. When baking soda (sodium bicarbonate) and lemon juice (citric acid) are. This reaction produces carbon dioxide gas, which creates the fun fizzing and bubbling effect that looks like a mini volcano. Baking Soda And Lemon Juice React To Form Carbon Dioxide Gas.
From www.slideserve.com
PPT Leavening Agents PowerPoint Presentation ID1551162 Baking Soda And Lemon Juice React To Form Carbon Dioxide Gas When the acid of the lemon juice (citric acid) came in contact with the carbonate base (baking soda) a chemical reaction took. When baking soda (sodium bicarbonate) and lemon juice (citric acid) are. This reaction produces carbon dioxide gas, which creates the fun fizzing and bubbling effect that looks like a mini volcano erupting. The acid in the lemon juice. Baking Soda And Lemon Juice React To Form Carbon Dioxide Gas.
From www.youtube.com
Citric acid and Baking Soda Reaction YouTube Baking Soda And Lemon Juice React To Form Carbon Dioxide Gas When baking soda (sodium bicarbonate) and lemon juice (citric acid) are. The mixing of baking soda (sodium bicarbonate) with lemon juice (citric acid) results in a chemical reaction, producing carbon dioxide gas, water,. This works in the same way as a classic baking soda and. When a baking soda is mixed with the lemon juice then carbon dioxide (co 2). Baking Soda And Lemon Juice React To Form Carbon Dioxide Gas.
From freelancebetta.weebly.com
How to make baking powder with baking soda and lemon juice freelancebetta Baking Soda And Lemon Juice React To Form Carbon Dioxide Gas Specifically, the baking soda (a base) reacts with the acid to give you carbon dioxide gas, water, and salt. This works in the same way as a classic baking soda and. What happens when you mix baking soda and lemon juice? When the acid of the lemon juice (citric acid) came in contact with the carbonate base (baking soda) a. Baking Soda And Lemon Juice React To Form Carbon Dioxide Gas.
From jovis.edu.vn
Collection 90+ Wallpaper Apple Cider Vinegar Baking Soda And Lemon Baking Soda And Lemon Juice React To Form Carbon Dioxide Gas This works in the same way as a classic baking soda and. The mixing of baking soda (sodium bicarbonate) with lemon juice (citric acid) results in a chemical reaction, producing carbon dioxide gas, water,. The acid in the lemon juice (citric acid) reacts with the base in the baking soda (sodium bicarbonate), resulting in the. Specifically, the baking soda (a. Baking Soda And Lemon Juice React To Form Carbon Dioxide Gas.
From nexusnewsfeed.com
Lemon and baking soda a powerful healing combination Nexus Newsfeed Baking Soda And Lemon Juice React To Form Carbon Dioxide Gas Specifically, the baking soda (a base) reacts with the acid to give you carbon dioxide gas, water, and salt. This works in the same way as a classic baking soda and. This reaction produces carbon dioxide gas, which creates the fun fizzing and bubbling effect that looks like a mini volcano erupting. The mixing of baking soda (sodium bicarbonate) with. Baking Soda And Lemon Juice React To Form Carbon Dioxide Gas.
From www.ingridscience.ca
Soda drink ingridscience.ca Baking Soda And Lemon Juice React To Form Carbon Dioxide Gas This reaction produces carbon dioxide gas, which creates the fun fizzing and bubbling effect that looks like a mini volcano erupting. The mixing of baking soda (sodium bicarbonate) with lemon juice (citric acid) results in a chemical reaction, producing carbon dioxide gas, water,. The acid in the lemon juice (citric acid) reacts with the base in the baking soda (sodium. Baking Soda And Lemon Juice React To Form Carbon Dioxide Gas.
From www.sciencephoto.com
Lemon reacting with baking soda Stock Image C017/4025 Science Baking Soda And Lemon Juice React To Form Carbon Dioxide Gas When the acid of the lemon juice (citric acid) came in contact with the carbonate base (baking soda) a chemical reaction took. Specifically, the baking soda (a base) reacts with the acid to give you carbon dioxide gas, water, and salt. The mixing of baking soda (sodium bicarbonate) with lemon juice (citric acid) results in a chemical reaction, producing carbon. Baking Soda And Lemon Juice React To Form Carbon Dioxide Gas.
From www.motorbiscuit.com
How to Use a Lemon and Baking Soda to Clean Your Car's Headlights Baking Soda And Lemon Juice React To Form Carbon Dioxide Gas When a baking soda is mixed with the lemon juice then carbon dioxide (co 2) gas is released in the form of bubbles. The acid in the lemon juice (citric acid) reacts with the base in the baking soda (sodium bicarbonate), resulting in the. This reaction produces carbon dioxide gas, which creates the fun fizzing and bubbling effect that looks. Baking Soda And Lemon Juice React To Form Carbon Dioxide Gas.
From brainly.in
what happens when baking soda is mixed with lemon juice write the Baking Soda And Lemon Juice React To Form Carbon Dioxide Gas This reaction produces carbon dioxide gas, which creates the fun fizzing and bubbling effect that looks like a mini volcano erupting. When the acid of the lemon juice (citric acid) came in contact with the carbonate base (baking soda) a chemical reaction took. When a baking soda is mixed with the lemon juice then carbon dioxide (co 2) gas is. Baking Soda And Lemon Juice React To Form Carbon Dioxide Gas.
From printables.it.com
Baking Soda Science Printables Chemical Reaction Free Printable Download Baking Soda And Lemon Juice React To Form Carbon Dioxide Gas The acid in the lemon juice (citric acid) reacts with the base in the baking soda (sodium bicarbonate), resulting in the. The mixing of baking soda (sodium bicarbonate) with lemon juice (citric acid) results in a chemical reaction, producing carbon dioxide gas, water,. When baking soda (sodium bicarbonate) and lemon juice (citric acid) are. When the acid of the lemon. Baking Soda And Lemon Juice React To Form Carbon Dioxide Gas.
From www.pinterest.com
How to Make a DIY Lemon and Baking Soda Scrub! Baking soda scrub Baking Soda And Lemon Juice React To Form Carbon Dioxide Gas Specifically, the baking soda (a base) reacts with the acid to give you carbon dioxide gas, water, and salt. What happens when you mix baking soda and lemon juice? When baking soda (sodium bicarbonate) and lemon juice (citric acid) are. The mixing of baking soda (sodium bicarbonate) with lemon juice (citric acid) results in a chemical reaction, producing carbon dioxide. Baking Soda And Lemon Juice React To Form Carbon Dioxide Gas.
From thomasyouthhouse.blogspot.com
Sodium Bicarbonate and Acetic Acid Balanced Chemical Equation Baking Soda And Lemon Juice React To Form Carbon Dioxide Gas The acid in the lemon juice (citric acid) reacts with the base in the baking soda (sodium bicarbonate), resulting in the. This works in the same way as a classic baking soda and. The mixing of baking soda (sodium bicarbonate) with lemon juice (citric acid) results in a chemical reaction, producing carbon dioxide gas, water,. What happens when you mix. Baking Soda And Lemon Juice React To Form Carbon Dioxide Gas.