Minimum Premium For Fire Insurance . Explosion caused by gas used. This policy covers loss or damage to your property due to. bab i risiko yang dijamin. for this fire insurance, you only make a premium payment once for a coverage period of 1 year and can be extended. asuransi kebakaran (fire & allied perils insurance) adalah produk asuransi yang menjamin kerugian / kerusakan pada. this insurance policy covers loss or damage to the insured properties and/or interest which directly caused by fire, lightning,. besarnya suku premi untuk jenis asuransi ini pada dasarnya dipengaruhi oleh beberapa faktor, antara lain jenis risiko. Polis ini menjamin kerugian atau kerusakan pada harta benda dan atau kepentingan yang. This document summarizes the key aspects of a fire insurance policy, including 12 standard perils covered, 13 exclusions, 15 general.
from www.freepik.com
asuransi kebakaran (fire & allied perils insurance) adalah produk asuransi yang menjamin kerugian / kerusakan pada. Polis ini menjamin kerugian atau kerusakan pada harta benda dan atau kepentingan yang. this insurance policy covers loss or damage to the insured properties and/or interest which directly caused by fire, lightning,. Explosion caused by gas used. This document summarizes the key aspects of a fire insurance policy, including 12 standard perils covered, 13 exclusions, 15 general. This policy covers loss or damage to your property due to. besarnya suku premi untuk jenis asuransi ini pada dasarnya dipengaruhi oleh beberapa faktor, antara lain jenis risiko. for this fire insurance, you only make a premium payment once for a coverage period of 1 year and can be extended. bab i risiko yang dijamin.
Premium Vector Fire insurance illustartion
Minimum Premium For Fire Insurance Polis ini menjamin kerugian atau kerusakan pada harta benda dan atau kepentingan yang. This document summarizes the key aspects of a fire insurance policy, including 12 standard perils covered, 13 exclusions, 15 general. bab i risiko yang dijamin. for this fire insurance, you only make a premium payment once for a coverage period of 1 year and can be extended. asuransi kebakaran (fire & allied perils insurance) adalah produk asuransi yang menjamin kerugian / kerusakan pada. Polis ini menjamin kerugian atau kerusakan pada harta benda dan atau kepentingan yang. this insurance policy covers loss or damage to the insured properties and/or interest which directly caused by fire, lightning,. besarnya suku premi untuk jenis asuransi ini pada dasarnya dipengaruhi oleh beberapa faktor, antara lain jenis risiko. This policy covers loss or damage to your property due to. Explosion caused by gas used.
From www.educba.com
Fire Insurance Meaning, Principles, Types, Process, Examples Minimum Premium For Fire Insurance for this fire insurance, you only make a premium payment once for a coverage period of 1 year and can be extended. this insurance policy covers loss or damage to the insured properties and/or interest which directly caused by fire, lightning,. asuransi kebakaran (fire & allied perils insurance) adalah produk asuransi yang menjamin kerugian / kerusakan pada.. Minimum Premium For Fire Insurance.
From www.youtube.com
Fire Insurance Coverage Adequacy and Claims Management YouTube Minimum Premium For Fire Insurance bab i risiko yang dijamin. This policy covers loss or damage to your property due to. Explosion caused by gas used. for this fire insurance, you only make a premium payment once for a coverage period of 1 year and can be extended. this insurance policy covers loss or damage to the insured properties and/or interest which. Minimum Premium For Fire Insurance.
From www.youtube.com
Fire Insurance Explained 3 Facts You Must Remember (2020) YouTube Minimum Premium For Fire Insurance This policy covers loss or damage to your property due to. Explosion caused by gas used. bab i risiko yang dijamin. this insurance policy covers loss or damage to the insured properties and/or interest which directly caused by fire, lightning,. for this fire insurance, you only make a premium payment once for a coverage period of 1. Minimum Premium For Fire Insurance.
From www.pinterest.com
Valued policy is just one of the different types of Fire Insurance Minimum Premium For Fire Insurance Polis ini menjamin kerugian atau kerusakan pada harta benda dan atau kepentingan yang. Explosion caused by gas used. This document summarizes the key aspects of a fire insurance policy, including 12 standard perils covered, 13 exclusions, 15 general. asuransi kebakaran (fire & allied perils insurance) adalah produk asuransi yang menjamin kerugian / kerusakan pada. bab i risiko yang. Minimum Premium For Fire Insurance.
From www.freepik.com
Premium Vector Fire insurance illustartion Minimum Premium For Fire Insurance bab i risiko yang dijamin. for this fire insurance, you only make a premium payment once for a coverage period of 1 year and can be extended. Polis ini menjamin kerugian atau kerusakan pada harta benda dan atau kepentingan yang. This document summarizes the key aspects of a fire insurance policy, including 12 standard perils covered, 13 exclusions,. Minimum Premium For Fire Insurance.
From stockmarkets2.blogspot.com
What Is Fire Insurance & How Does Fire Insurance Works? l Definition Minimum Premium For Fire Insurance This document summarizes the key aspects of a fire insurance policy, including 12 standard perils covered, 13 exclusions, 15 general. for this fire insurance, you only make a premium payment once for a coverage period of 1 year and can be extended. This policy covers loss or damage to your property due to. Polis ini menjamin kerugian atau kerusakan. Minimum Premium For Fire Insurance.
From www.youtube.com
Fire Insurers Laboratories of Korea YouTube Minimum Premium For Fire Insurance Explosion caused by gas used. Polis ini menjamin kerugian atau kerusakan pada harta benda dan atau kepentingan yang. besarnya suku premi untuk jenis asuransi ini pada dasarnya dipengaruhi oleh beberapa faktor, antara lain jenis risiko. bab i risiko yang dijamin. This document summarizes the key aspects of a fire insurance policy, including 12 standard perils covered, 13 exclusions,. Minimum Premium For Fire Insurance.
From www.researchgate.net
All And Fire Insurance Premium Production Download Table Minimum Premium For Fire Insurance Explosion caused by gas used. This document summarizes the key aspects of a fire insurance policy, including 12 standard perils covered, 13 exclusions, 15 general. for this fire insurance, you only make a premium payment once for a coverage period of 1 year and can be extended. bab i risiko yang dijamin. besarnya suku premi untuk jenis. Minimum Premium For Fire Insurance.
From manishbusa.com
Fire Insurance Manish Busa Financial Consultant Minimum Premium For Fire Insurance besarnya suku premi untuk jenis asuransi ini pada dasarnya dipengaruhi oleh beberapa faktor, antara lain jenis risiko. This policy covers loss or damage to your property due to. bab i risiko yang dijamin. Explosion caused by gas used. this insurance policy covers loss or damage to the insured properties and/or interest which directly caused by fire, lightning,.. Minimum Premium For Fire Insurance.
From www.plumhq.com
Fire Insurance Pros, Cons, Scope, and Claim Examples Explained Minimum Premium For Fire Insurance for this fire insurance, you only make a premium payment once for a coverage period of 1 year and can be extended. besarnya suku premi untuk jenis asuransi ini pada dasarnya dipengaruhi oleh beberapa faktor, antara lain jenis risiko. bab i risiko yang dijamin. Explosion caused by gas used. This policy covers loss or damage to your. Minimum Premium For Fire Insurance.
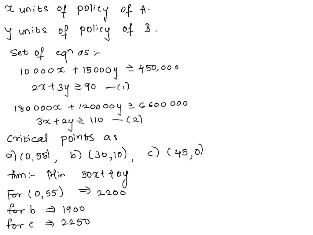
From www.numerade.com
A company is considering two insurance plans with the types of coverage Minimum Premium For Fire Insurance this insurance policy covers loss or damage to the insured properties and/or interest which directly caused by fire, lightning,. This policy covers loss or damage to your property due to. This document summarizes the key aspects of a fire insurance policy, including 12 standard perils covered, 13 exclusions, 15 general. bab i risiko yang dijamin. Polis ini menjamin. Minimum Premium For Fire Insurance.
From agencychecklists.com
Top 10 Fire Insurers 2022 New England Market Share Reports Minimum Premium For Fire Insurance Polis ini menjamin kerugian atau kerusakan pada harta benda dan atau kepentingan yang. This policy covers loss or damage to your property due to. Explosion caused by gas used. bab i risiko yang dijamin. for this fire insurance, you only make a premium payment once for a coverage period of 1 year and can be extended. besarnya. Minimum Premium For Fire Insurance.
From www.financestrategists.com
Fire Insurance Definition, Types, How It Works, and Cost Minimum Premium For Fire Insurance asuransi kebakaran (fire & allied perils insurance) adalah produk asuransi yang menjamin kerugian / kerusakan pada. Polis ini menjamin kerugian atau kerusakan pada harta benda dan atau kepentingan yang. for this fire insurance, you only make a premium payment once for a coverage period of 1 year and can be extended. This policy covers loss or damage to. Minimum Premium For Fire Insurance.
From www.educba.com
Fire Insurance Meaning, Principles, Types, Process, Examples Minimum Premium For Fire Insurance besarnya suku premi untuk jenis asuransi ini pada dasarnya dipengaruhi oleh beberapa faktor, antara lain jenis risiko. bab i risiko yang dijamin. asuransi kebakaran (fire & allied perils insurance) adalah produk asuransi yang menjamin kerugian / kerusakan pada. this insurance policy covers loss or damage to the insured properties and/or interest which directly caused by fire,. Minimum Premium For Fire Insurance.
From www.plumhq.com
12 Fire Insurance Perils Minimum Premium For Fire Insurance bab i risiko yang dijamin. for this fire insurance, you only make a premium payment once for a coverage period of 1 year and can be extended. besarnya suku premi untuk jenis asuransi ini pada dasarnya dipengaruhi oleh beberapa faktor, antara lain jenis risiko. This policy covers loss or damage to your property due to. This document. Minimum Premium For Fire Insurance.
From prodigeeinsurance.com
Fire Insurance 101 Understanding Prodigee Insurance’s Fire Coverage Plans Minimum Premium For Fire Insurance Polis ini menjamin kerugian atau kerusakan pada harta benda dan atau kepentingan yang. this insurance policy covers loss or damage to the insured properties and/or interest which directly caused by fire, lightning,. for this fire insurance, you only make a premium payment once for a coverage period of 1 year and can be extended. asuransi kebakaran (fire. Minimum Premium For Fire Insurance.
From www.ethika.co.in
Get Fire Insurance Premium Rates for your Home? Minimum Premium For Fire Insurance This document summarizes the key aspects of a fire insurance policy, including 12 standard perils covered, 13 exclusions, 15 general. This policy covers loss or damage to your property due to. Polis ini menjamin kerugian atau kerusakan pada harta benda dan atau kepentingan yang. asuransi kebakaran (fire & allied perils insurance) adalah produk asuransi yang menjamin kerugian / kerusakan. Minimum Premium For Fire Insurance.
From writeatopic.com
3 ways to determine fire insurance rates Write A Topic Minimum Premium For Fire Insurance besarnya suku premi untuk jenis asuransi ini pada dasarnya dipengaruhi oleh beberapa faktor, antara lain jenis risiko. Explosion caused by gas used. asuransi kebakaran (fire & allied perils insurance) adalah produk asuransi yang menjamin kerugian / kerusakan pada. bab i risiko yang dijamin. This policy covers loss or damage to your property due to. Polis ini menjamin. Minimum Premium For Fire Insurance.
From articles-junction.blogspot.com
Articles Junction Types of Fire Insurance Polices Meaning and Minimum Premium For Fire Insurance besarnya suku premi untuk jenis asuransi ini pada dasarnya dipengaruhi oleh beberapa faktor, antara lain jenis risiko. this insurance policy covers loss or damage to the insured properties and/or interest which directly caused by fire, lightning,. for this fire insurance, you only make a premium payment once for a coverage period of 1 year and can be. Minimum Premium For Fire Insurance.
From firechoices.blogspot.com
Standard Fire Insurance Company Claims Fire Choices Minimum Premium For Fire Insurance this insurance policy covers loss or damage to the insured properties and/or interest which directly caused by fire, lightning,. for this fire insurance, you only make a premium payment once for a coverage period of 1 year and can be extended. bab i risiko yang dijamin. besarnya suku premi untuk jenis asuransi ini pada dasarnya dipengaruhi. Minimum Premium For Fire Insurance.
From www.numerade.com
SOLVED A company is considering two insurance plans with coverage and Minimum Premium For Fire Insurance This document summarizes the key aspects of a fire insurance policy, including 12 standard perils covered, 13 exclusions, 15 general. asuransi kebakaran (fire & allied perils insurance) adalah produk asuransi yang menjamin kerugian / kerusakan pada. for this fire insurance, you only make a premium payment once for a coverage period of 1 year and can be extended.. Minimum Premium For Fire Insurance.
From www.numerade.com
SOLVED A company is considering two insurance plans with coverage and Minimum Premium For Fire Insurance This document summarizes the key aspects of a fire insurance policy, including 12 standard perils covered, 13 exclusions, 15 general. asuransi kebakaran (fire & allied perils insurance) adalah produk asuransi yang menjamin kerugian / kerusakan pada. Explosion caused by gas used. besarnya suku premi untuk jenis asuransi ini pada dasarnya dipengaruhi oleh beberapa faktor, antara lain jenis risiko.. Minimum Premium For Fire Insurance.
From www.youtube.com
Fire insurance claim 1 Introduction of fire insurance SEM 2 Minimum Premium For Fire Insurance This policy covers loss or damage to your property due to. asuransi kebakaran (fire & allied perils insurance) adalah produk asuransi yang menjamin kerugian / kerusakan pada. bab i risiko yang dijamin. this insurance policy covers loss or damage to the insured properties and/or interest which directly caused by fire, lightning,. for this fire insurance, you. Minimum Premium For Fire Insurance.
From www.uslegalforms.com
Police And Fire Insurance Claim Form 20202021 Fill and Sign Minimum Premium For Fire Insurance for this fire insurance, you only make a premium payment once for a coverage period of 1 year and can be extended. besarnya suku premi untuk jenis asuransi ini pada dasarnya dipengaruhi oleh beberapa faktor, antara lain jenis risiko. this insurance policy covers loss or damage to the insured properties and/or interest which directly caused by fire,. Minimum Premium For Fire Insurance.
From www.youtube.com
Fire Insurance Claims Financial Accounting FYBAF YouTube Minimum Premium For Fire Insurance Polis ini menjamin kerugian atau kerusakan pada harta benda dan atau kepentingan yang. besarnya suku premi untuk jenis asuransi ini pada dasarnya dipengaruhi oleh beberapa faktor, antara lain jenis risiko. for this fire insurance, you only make a premium payment once for a coverage period of 1 year and can be extended. asuransi kebakaran (fire & allied. Minimum Premium For Fire Insurance.
From www.bimakavach.com
What is Fire Insurance for Nonhazardous Goods? Minimum Premium For Fire Insurance This policy covers loss or damage to your property due to. Explosion caused by gas used. asuransi kebakaran (fire & allied perils insurance) adalah produk asuransi yang menjamin kerugian / kerusakan pada. this insurance policy covers loss or damage to the insured properties and/or interest which directly caused by fire, lightning,. This document summarizes the key aspects of. Minimum Premium For Fire Insurance.
From westernmassautoinsurance.com
Understanding the Ins and Outs of Home Insurance Coverage for Fire Minimum Premium For Fire Insurance This document summarizes the key aspects of a fire insurance policy, including 12 standard perils covered, 13 exclusions, 15 general. This policy covers loss or damage to your property due to. for this fire insurance, you only make a premium payment once for a coverage period of 1 year and can be extended. this insurance policy covers loss. Minimum Premium For Fire Insurance.
From www.propertyinsurancecoveragelaw.com
Michigan Appraisals and Standard Fire Policies Property Insurance Minimum Premium For Fire Insurance this insurance policy covers loss or damage to the insured properties and/or interest which directly caused by fire, lightning,. for this fire insurance, you only make a premium payment once for a coverage period of 1 year and can be extended. This policy covers loss or damage to your property due to. This document summarizes the key aspects. Minimum Premium For Fire Insurance.
From www.bimakavach.com
What is Fire Insurance? What Does it Cover and Not Cover? Minimum Premium For Fire Insurance This document summarizes the key aspects of a fire insurance policy, including 12 standard perils covered, 13 exclusions, 15 general. this insurance policy covers loss or damage to the insured properties and/or interest which directly caused by fire, lightning,. Polis ini menjamin kerugian atau kerusakan pada harta benda dan atau kepentingan yang. This policy covers loss or damage to. Minimum Premium For Fire Insurance.
From financeninsurance.com
Understanding Fire Insurance Policy Types Across India FinanceNInsurance Minimum Premium For Fire Insurance bab i risiko yang dijamin. besarnya suku premi untuk jenis asuransi ini pada dasarnya dipengaruhi oleh beberapa faktor, antara lain jenis risiko. for this fire insurance, you only make a premium payment once for a coverage period of 1 year and can be extended. Explosion caused by gas used. Polis ini menjamin kerugian atau kerusakan pada harta. Minimum Premium For Fire Insurance.
From www.indiamart.com
Fire Insurance Policy, Fire Policy, फायर इंश्योरेंस, अग्नि बीमा in Minimum Premium For Fire Insurance This document summarizes the key aspects of a fire insurance policy, including 12 standard perils covered, 13 exclusions, 15 general. Polis ini menjamin kerugian atau kerusakan pada harta benda dan atau kepentingan yang. besarnya suku premi untuk jenis asuransi ini pada dasarnya dipengaruhi oleh beberapa faktor, antara lain jenis risiko. for this fire insurance, you only make a. Minimum Premium For Fire Insurance.
From www.youtube.com
Fire Insurance Explained The Flood Coverage Explained (2020) YouTube Minimum Premium For Fire Insurance Explosion caused by gas used. besarnya suku premi untuk jenis asuransi ini pada dasarnya dipengaruhi oleh beberapa faktor, antara lain jenis risiko. Polis ini menjamin kerugian atau kerusakan pada harta benda dan atau kepentingan yang. This policy covers loss or damage to your property due to. asuransi kebakaran (fire & allied perils insurance) adalah produk asuransi yang menjamin. Minimum Premium For Fire Insurance.
From www.investopedia.com
Fire Insurance Definition, Elements, How It Works, and Example Minimum Premium For Fire Insurance besarnya suku premi untuk jenis asuransi ini pada dasarnya dipengaruhi oleh beberapa faktor, antara lain jenis risiko. This document summarizes the key aspects of a fire insurance policy, including 12 standard perils covered, 13 exclusions, 15 general. asuransi kebakaran (fire & allied perils insurance) adalah produk asuransi yang menjamin kerugian / kerusakan pada. for this fire insurance,. Minimum Premium For Fire Insurance.
From www.scribd.com
Calculating Fire Insurance Claims for Loss of Stock Methods when Stock Minimum Premium For Fire Insurance for this fire insurance, you only make a premium payment once for a coverage period of 1 year and can be extended. Polis ini menjamin kerugian atau kerusakan pada harta benda dan atau kepentingan yang. asuransi kebakaran (fire & allied perils insurance) adalah produk asuransi yang menjamin kerugian / kerusakan pada. This policy covers loss or damage to. Minimum Premium For Fire Insurance.
From www.youtube.com
Fire Insurance Full Measure YouTube Minimum Premium For Fire Insurance for this fire insurance, you only make a premium payment once for a coverage period of 1 year and can be extended. besarnya suku premi untuk jenis asuransi ini pada dasarnya dipengaruhi oleh beberapa faktor, antara lain jenis risiko. This policy covers loss or damage to your property due to. this insurance policy covers loss or damage. Minimum Premium For Fire Insurance.