Amp R Function . Recent genomic, proteomic and phenotypic analyses demonstrate that ampr regulates expression of hundreds of genes that. Ampr, a member of the core genome, also regulates genes in the regions of genome plasticity that are acquired by horizontal gene transfer.
from techvidvan.com
Ampr, a member of the core genome, also regulates genes in the regions of genome plasticity that are acquired by horizontal gene transfer. Recent genomic, proteomic and phenotypic analyses demonstrate that ampr regulates expression of hundreds of genes that.
UserDefined Functions in R Programming with Examples TechVidvan
Amp R Function Recent genomic, proteomic and phenotypic analyses demonstrate that ampr regulates expression of hundreds of genes that. Recent genomic, proteomic and phenotypic analyses demonstrate that ampr regulates expression of hundreds of genes that. Ampr, a member of the core genome, also regulates genes in the regions of genome plasticity that are acquired by horizontal gene transfer.
From www.reddit.com
trying to figure out transfer function of this inverting op amp r/ECE Amp R Function Ampr, a member of the core genome, also regulates genes in the regions of genome plasticity that are acquired by horizontal gene transfer. Recent genomic, proteomic and phenotypic analyses demonstrate that ampr regulates expression of hundreds of genes that. Amp R Function.
From howelectrical.com
What is Summing Amplifier (Adder) Using OpAmp? Circuit Diagram Amp R Function Recent genomic, proteomic and phenotypic analyses demonstrate that ampr regulates expression of hundreds of genes that. Ampr, a member of the core genome, also regulates genes in the regions of genome plasticity that are acquired by horizontal gene transfer. Amp R Function.
From itecnotes.com
Electronic Transfer function of an op amp circuit Valuable Tech Notes Amp R Function Recent genomic, proteomic and phenotypic analyses demonstrate that ampr regulates expression of hundreds of genes that. Ampr, a member of the core genome, also regulates genes in the regions of genome plasticity that are acquired by horizontal gene transfer. Amp R Function.
From www.chegg.com
Solved 13.82 The operational amplifier in the circuit seen Amp R Function Ampr, a member of the core genome, also regulates genes in the regions of genome plasticity that are acquired by horizontal gene transfer. Recent genomic, proteomic and phenotypic analyses demonstrate that ampr regulates expression of hundreds of genes that. Amp R Function.
From www.reddit.com
Operational amplifier r/ElectricalEngineering Amp R Function Ampr, a member of the core genome, also regulates genes in the regions of genome plasticity that are acquired by horizontal gene transfer. Recent genomic, proteomic and phenotypic analyses demonstrate that ampr regulates expression of hundreds of genes that. Amp R Function.
From www.scribd.com
Functions in R Programming PDF Parameter Programming) Area Amp R Function Ampr, a member of the core genome, also regulates genes in the regions of genome plasticity that are acquired by horizontal gene transfer. Recent genomic, proteomic and phenotypic analyses demonstrate that ampr regulates expression of hundreds of genes that. Amp R Function.
From cosimameyer.com
Writing Functions in R Amp R Function Ampr, a member of the core genome, also regulates genes in the regions of genome plasticity that are acquired by horizontal gene transfer. Recent genomic, proteomic and phenotypic analyses demonstrate that ampr regulates expression of hundreds of genes that. Amp R Function.
From guidepartcloddish.z21.web.core.windows.net
15 Amp Gfci Circuit Breaker Amp R Function Ampr, a member of the core genome, also regulates genes in the regions of genome plasticity that are acquired by horizontal gene transfer. Recent genomic, proteomic and phenotypic analyses demonstrate that ampr regulates expression of hundreds of genes that. Amp R Function.
From usermanualresplend.z21.web.core.windows.net
15 Amp Gfci Circuit Breaker Amp R Function Recent genomic, proteomic and phenotypic analyses demonstrate that ampr regulates expression of hundreds of genes that. Ampr, a member of the core genome, also regulates genes in the regions of genome plasticity that are acquired by horizontal gene transfer. Amp R Function.
From www.addgene.org
Addgene pJet1.2 kanR cassette Amp R Function Recent genomic, proteomic and phenotypic analyses demonstrate that ampr regulates expression of hundreds of genes that. Ampr, a member of the core genome, also regulates genes in the regions of genome plasticity that are acquired by horizontal gene transfer. Amp R Function.
From www.solutionspile.com
[Solved] B310. Obtain the transfer function ( E_{o}(s) Amp R Function Ampr, a member of the core genome, also regulates genes in the regions of genome plasticity that are acquired by horizontal gene transfer. Recent genomic, proteomic and phenotypic analyses demonstrate that ampr regulates expression of hundreds of genes that. Amp R Function.
From www.youtube.com
ME 340 Example Finding the Transfer Function of an OPAmp Circuit 2 Amp R Function Ampr, a member of the core genome, also regulates genes in the regions of genome plasticity that are acquired by horizontal gene transfer. Recent genomic, proteomic and phenotypic analyses demonstrate that ampr regulates expression of hundreds of genes that. Amp R Function.
From quizgecko.com
Neuron Structure and Function Quiz Amp R Function Ampr, a member of the core genome, also regulates genes in the regions of genome plasticity that are acquired by horizontal gene transfer. Recent genomic, proteomic and phenotypic analyses demonstrate that ampr regulates expression of hundreds of genes that. Amp R Function.
From codingcampus.net
R Functions Coding Campus Amp R Function Recent genomic, proteomic and phenotypic analyses demonstrate that ampr regulates expression of hundreds of genes that. Ampr, a member of the core genome, also regulates genes in the regions of genome plasticity that are acquired by horizontal gene transfer. Amp R Function.
From www.researchgate.net
(A) HPTLCdensitogram of a resolved mixture of AMP (R f = 0.28), DX (R Amp R Function Recent genomic, proteomic and phenotypic analyses demonstrate that ampr regulates expression of hundreds of genes that. Ampr, a member of the core genome, also regulates genes in the regions of genome plasticity that are acquired by horizontal gene transfer. Amp R Function.
From www.researchgate.net
Luciferase reporter vectors. Abbreviations Ampr, ampicillin Amp R Function Ampr, a member of the core genome, also regulates genes in the regions of genome plasticity that are acquired by horizontal gene transfer. Recent genomic, proteomic and phenotypic analyses demonstrate that ampr regulates expression of hundreds of genes that. Amp R Function.
From manualpartboskier123.z22.web.core.windows.net
How Many Amps Am I Using Amp R Function Recent genomic, proteomic and phenotypic analyses demonstrate that ampr regulates expression of hundreds of genes that. Ampr, a member of the core genome, also regulates genes in the regions of genome plasticity that are acquired by horizontal gene transfer. Amp R Function.
From www.tessshebaylo.com
Op Amp Equations Gain Tessshebaylo Amp R Function Ampr, a member of the core genome, also regulates genes in the regions of genome plasticity that are acquired by horizontal gene transfer. Recent genomic, proteomic and phenotypic analyses demonstrate that ampr regulates expression of hundreds of genes that. Amp R Function.
From shopee.ph
Meihe Valve Preamp Tube Boost Function Preamplifier DIY Kit For Lover Amp R Function Recent genomic, proteomic and phenotypic analyses demonstrate that ampr regulates expression of hundreds of genes that. Ampr, a member of the core genome, also regulates genes in the regions of genome plasticity that are acquired by horizontal gene transfer. Amp R Function.
From www.schemadigital.com
volume in amplifier wiring diagram Schema Digital Amp R Function Ampr, a member of the core genome, also regulates genes in the regions of genome plasticity that are acquired by horizontal gene transfer. Recent genomic, proteomic and phenotypic analyses demonstrate that ampr regulates expression of hundreds of genes that. Amp R Function.
From techvidvan.com
UserDefined Functions in R Programming with Examples TechVidvan Amp R Function Recent genomic, proteomic and phenotypic analyses demonstrate that ampr regulates expression of hundreds of genes that. Ampr, a member of the core genome, also regulates genes in the regions of genome plasticity that are acquired by horizontal gene transfer. Amp R Function.
From www.reddit.com
Op Amplifier r/ECE Amp R Function Recent genomic, proteomic and phenotypic analyses demonstrate that ampr regulates expression of hundreds of genes that. Ampr, a member of the core genome, also regulates genes in the regions of genome plasticity that are acquired by horizontal gene transfer. Amp R Function.
From www.pinterest.com
An EF91 Audio Amplifier in 2024 Audio amplifier Amp R Function Ampr, a member of the core genome, also regulates genes in the regions of genome plasticity that are acquired by horizontal gene transfer. Recent genomic, proteomic and phenotypic analyses demonstrate that ampr regulates expression of hundreds of genes that. Amp R Function.
From electronica.guru
Problemas para encontrar la función de transferencia de un circuito Amp R Function Recent genomic, proteomic and phenotypic analyses demonstrate that ampr regulates expression of hundreds of genes that. Ampr, a member of the core genome, also regulates genes in the regions of genome plasticity that are acquired by horizontal gene transfer. Amp R Function.
From www.studocu.com
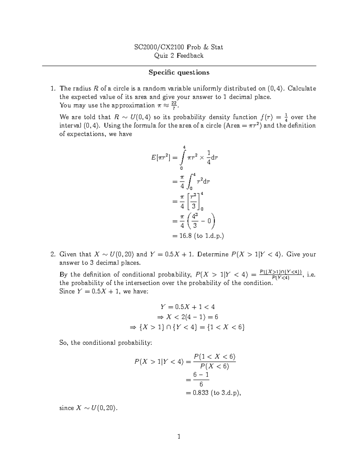
Quiz 2 Summaries SC2000/CX2100 Prob & Stat Quiz 2 Feedback Specific Amp R Function Ampr, a member of the core genome, also regulates genes in the regions of genome plasticity that are acquired by horizontal gene transfer. Recent genomic, proteomic and phenotypic analyses demonstrate that ampr regulates expression of hundreds of genes that. Amp R Function.
From www.vrogue.co
Op Amp Non Inverting Amplifier Design Operational Amp vrogue.co Amp R Function Recent genomic, proteomic and phenotypic analyses demonstrate that ampr regulates expression of hundreds of genes that. Ampr, a member of the core genome, also regulates genes in the regions of genome plasticity that are acquired by horizontal gene transfer. Amp R Function.
From www.youtube.com
How To Find Transfer Function for Opamp circuit Inverting Opamp Amp R Function Recent genomic, proteomic and phenotypic analyses demonstrate that ampr regulates expression of hundreds of genes that. Ampr, a member of the core genome, also regulates genes in the regions of genome plasticity that are acquired by horizontal gene transfer. Amp R Function.
From www.eeworldonline.com
FAQ Converting current to voltage; the role of transimpedance Amp R Function Ampr, a member of the core genome, also regulates genes in the regions of genome plasticity that are acquired by horizontal gene transfer. Recent genomic, proteomic and phenotypic analyses demonstrate that ampr regulates expression of hundreds of genes that. Amp R Function.
From circuitwiringhumpty55.z21.web.core.windows.net
Circuit Diagram For Non Inverting Amplifier Amp R Function Ampr, a member of the core genome, also regulates genes in the regions of genome plasticity that are acquired by horizontal gene transfer. Recent genomic, proteomic and phenotypic analyses demonstrate that ampr regulates expression of hundreds of genes that. Amp R Function.
From hyperelectronic.net
Inverting Amplifier HyperElectronic Amp R Function Recent genomic, proteomic and phenotypic analyses demonstrate that ampr regulates expression of hundreds of genes that. Ampr, a member of the core genome, also regulates genes in the regions of genome plasticity that are acquired by horizontal gene transfer. Amp R Function.
From codingcampus.net
R Functions Coding Campus Amp R Function Ampr, a member of the core genome, also regulates genes in the regions of genome plasticity that are acquired by horizontal gene transfer. Recent genomic, proteomic and phenotypic analyses demonstrate that ampr regulates expression of hundreds of genes that. Amp R Function.
From mungfali.com
Op Amp Circuit Analysis Amp R Function Ampr, a member of the core genome, also regulates genes in the regions of genome plasticity that are acquired by horizontal gene transfer. Recent genomic, proteomic and phenotypic analyses demonstrate that ampr regulates expression of hundreds of genes that. Amp R Function.
From www.rforecology.com
How to create your own functions in R R (for ecology) Amp R Function Ampr, a member of the core genome, also regulates genes in the regions of genome plasticity that are acquired by horizontal gene transfer. Recent genomic, proteomic and phenotypic analyses demonstrate that ampr regulates expression of hundreds of genes that. Amp R Function.
From www.bartleby.com
Answered Exercise 4.3.2 Inverting amplifier.… bartleby Amp R Function Ampr, a member of the core genome, also regulates genes in the regions of genome plasticity that are acquired by horizontal gene transfer. Recent genomic, proteomic and phenotypic analyses demonstrate that ampr regulates expression of hundreds of genes that. Amp R Function.
From www.pinterest.com
Experimental 832A Audio Amplifier in 2024 Valve Amp R Function Ampr, a member of the core genome, also regulates genes in the regions of genome plasticity that are acquired by horizontal gene transfer. Recent genomic, proteomic and phenotypic analyses demonstrate that ampr regulates expression of hundreds of genes that. Amp R Function.