Pedal Equation For 2A/R=1+Cos Theta . Pedal equation of a parabola. We can easily give parametric equations for the cardioid, namely. Find the pedal equation of the curve r^m=a^m (cosm (theta)+sinm (theta)). Pedal equation of a polar curve. P = \frac {4a \sin. As θ goes through the values in [0, 2π], the value of r tracks the value of y, forming the “cardioid” shape of figure 10.1.2. For example, when θ = π/2, = 1 + cos(π/2) = 1, so we graph the point at. For a parabola y2 = 4ax, with the pedal point at the focus, the pedal equation is: Pedal equation of a polar curve. Find the pedal equation of 2a/r=1+cos (theta) obtain the pedal. Steps to follow to find the pedal equation of the polar curve. Find the pedal equation of the curve.
from brilliant.org
For example, when θ = π/2, = 1 + cos(π/2) = 1, so we graph the point at. Find the pedal equation of 2a/r=1+cos (theta) obtain the pedal. We can easily give parametric equations for the cardioid, namely. Pedal equation of a parabola. For a parabola y2 = 4ax, with the pedal point at the focus, the pedal equation is: Find the pedal equation of the curve r^m=a^m (cosm (theta)+sinm (theta)). Pedal equation of a polar curve. Find the pedal equation of the curve. Pedal equation of a polar curve. Steps to follow to find the pedal equation of the polar curve.
Polar Curves Brilliant Math & Science Wiki
Pedal Equation For 2A/R=1+Cos Theta Steps to follow to find the pedal equation of the polar curve. Steps to follow to find the pedal equation of the polar curve. We can easily give parametric equations for the cardioid, namely. Pedal equation of a parabola. Find the pedal equation of 2a/r=1+cos (theta) obtain the pedal. Pedal equation of a polar curve. For example, when θ = π/2, = 1 + cos(π/2) = 1, so we graph the point at. Pedal equation of a polar curve. For a parabola y2 = 4ax, with the pedal point at the focus, the pedal equation is: Find the pedal equation of the curve. Find the pedal equation of the curve r^m=a^m (cosm (theta)+sinm (theta)). P = \frac {4a \sin. As θ goes through the values in [0, 2π], the value of r tracks the value of y, forming the “cardioid” shape of figure 10.1.2.
From www.youtube.com
18MAT11 Module 1 Pedal equation of the polar curve of 2a/r=(1+cosθ Pedal Equation For 2A/R=1+Cos Theta Pedal equation of a polar curve. Pedal equation of a polar curve. For a parabola y2 = 4ax, with the pedal point at the focus, the pedal equation is: Steps to follow to find the pedal equation of the polar curve. We can easily give parametric equations for the cardioid, namely. For example, when θ = π/2, = 1 +. Pedal Equation For 2A/R=1+Cos Theta.
From brainly.in
Show that the pedal equation of the curve l/r = 1 + e cos theta is 1/p Pedal Equation For 2A/R=1+Cos Theta P = \frac {4a \sin. For example, when θ = π/2, = 1 + cos(π/2) = 1, so we graph the point at. Pedal equation of a parabola. Find the pedal equation of the curve r^m=a^m (cosm (theta)+sinm (theta)). Find the pedal equation of the curve. Steps to follow to find the pedal equation of the polar curve. Pedal equation. Pedal Equation For 2A/R=1+Cos Theta.
From www.youtube.com
Identify and graph polar equation r = 1 cos theta. Cardioid. Test for Pedal Equation For 2A/R=1+Cos Theta Pedal equation of a parabola. Find the pedal equation of the curve. As θ goes through the values in [0, 2π], the value of r tracks the value of y, forming the “cardioid” shape of figure 10.1.2. We can easily give parametric equations for the cardioid, namely. For a parabola y2 = 4ax, with the pedal point at the focus,. Pedal Equation For 2A/R=1+Cos Theta.
From www.youtube.com
Transform the equation r = 2 a cos `theta` to cartesian form. YouTube Pedal Equation For 2A/R=1+Cos Theta We can easily give parametric equations for the cardioid, namely. Find the pedal equation of the curve. Steps to follow to find the pedal equation of the polar curve. Pedal equation of a polar curve. Pedal equation of a parabola. Find the pedal equation of the curve r^m=a^m (cosm (theta)+sinm (theta)). P = \frac {4a \sin. Pedal equation of a. Pedal Equation For 2A/R=1+Cos Theta.
From www.chegg.com
Solved Polar Integration Given r = 3 cos theta and r = 1 + Pedal Equation For 2A/R=1+Cos Theta For a parabola y2 = 4ax, with the pedal point at the focus, the pedal equation is: Pedal equation of a parabola. Pedal equation of a polar curve. Find the pedal equation of the curve r^m=a^m (cosm (theta)+sinm (theta)). P = \frac {4a \sin. Pedal equation of a polar curve. For example, when θ = π/2, = 1 + cos(π/2). Pedal Equation For 2A/R=1+Cos Theta.
From animalia-life.club
R Cosine Theta Pedal Equation For 2A/R=1+Cos Theta For a parabola y2 = 4ax, with the pedal point at the focus, the pedal equation is: Pedal equation of a polar curve. Find the pedal equation of the curve r^m=a^m (cosm (theta)+sinm (theta)). Pedal equation of a polar curve. As θ goes through the values in [0, 2π], the value of r tracks the value of y, forming the. Pedal Equation For 2A/R=1+Cos Theta.
From brilliant.org
Polar Curves Brilliant Math & Science Wiki Pedal Equation For 2A/R=1+Cos Theta As θ goes through the values in [0, 2π], the value of r tracks the value of y, forming the “cardioid” shape of figure 10.1.2. Steps to follow to find the pedal equation of the polar curve. Pedal equation of a parabola. For example, when θ = π/2, = 1 + cos(π/2) = 1, so we graph the point at.. Pedal Equation For 2A/R=1+Cos Theta.
From www.youtube.com
Show graph of r= 2a cos theta with radius = a, center = (a, 0) in Pedal Equation For 2A/R=1+Cos Theta We can easily give parametric equations for the cardioid, namely. Find the pedal equation of the curve r^m=a^m (cosm (theta)+sinm (theta)). For a parabola y2 = 4ax, with the pedal point at the focus, the pedal equation is: Find the pedal equation of 2a/r=1+cos (theta) obtain the pedal. Find the pedal equation of the curve. As θ goes through the. Pedal Equation For 2A/R=1+Cos Theta.
From www.youtube.com
Find the points on polar curve r = 1 + cos theta where tangent line is Pedal Equation For 2A/R=1+Cos Theta For a parabola y2 = 4ax, with the pedal point at the focus, the pedal equation is: Find the pedal equation of the curve. Find the pedal equation of 2a/r=1+cos (theta) obtain the pedal. As θ goes through the values in [0, 2π], the value of r tracks the value of y, forming the “cardioid” shape of figure 10.1.2. P. Pedal Equation For 2A/R=1+Cos Theta.
From www.youtube.com
Example on Pedal equation of a polar curve 2a/r=1cos(theta) CGAT Pedal Equation For 2A/R=1+Cos Theta Find the pedal equation of the curve r^m=a^m (cosm (theta)+sinm (theta)). P = \frac {4a \sin. As θ goes through the values in [0, 2π], the value of r tracks the value of y, forming the “cardioid” shape of figure 10.1.2. For a parabola y2 = 4ax, with the pedal point at the focus, the pedal equation is: We can. Pedal Equation For 2A/R=1+Cos Theta.
From www.jkuat.ac.ke
1 Cos Best Sale www.jkuat.ac.ke Pedal Equation For 2A/R=1+Cos Theta We can easily give parametric equations for the cardioid, namely. P = \frac {4a \sin. Pedal equation of a parabola. Find the pedal equation of the curve. As θ goes through the values in [0, 2π], the value of r tracks the value of y, forming the “cardioid” shape of figure 10.1.2. Steps to follow to find the pedal equation. Pedal Equation For 2A/R=1+Cos Theta.
From www.changeyourwindows.com
1 Cos Theta Graph Outlet Pedal Equation For 2A/R=1+Cos Theta For a parabola y2 = 4ax, with the pedal point at the focus, the pedal equation is: Pedal equation of a parabola. Find the pedal equation of the curve r^m=a^m (cosm (theta)+sinm (theta)). Pedal equation of a polar curve. Find the pedal equation of 2a/r=1+cos (theta) obtain the pedal. Steps to follow to find the pedal equation of the polar. Pedal Equation For 2A/R=1+Cos Theta.
From www.youtube.com
6. Pedal Equation POLAR CURVES VTU Additional Mathematics 1 YouTube Pedal Equation For 2A/R=1+Cos Theta As θ goes through the values in [0, 2π], the value of r tracks the value of y, forming the “cardioid” shape of figure 10.1.2. Find the pedal equation of the curve r^m=a^m (cosm (theta)+sinm (theta)). Find the pedal equation of 2a/r=1+cos (theta) obtain the pedal. Pedal equation of a parabola. For example, when θ = π/2, = 1 +. Pedal Equation For 2A/R=1+Cos Theta.
From www.yawin.in
Find the pedal equation of 2a/r=1+cos(theta) Yawin Pedal Equation For 2A/R=1+Cos Theta Pedal equation of a polar curve. For example, when θ = π/2, = 1 + cos(π/2) = 1, so we graph the point at. For a parabola y2 = 4ax, with the pedal point at the focus, the pedal equation is: Find the pedal equation of 2a/r=1+cos (theta) obtain the pedal. P = \frac {4a \sin. We can easily give. Pedal Equation For 2A/R=1+Cos Theta.
From www.chegg.com
Solved Below is a plot of the polar equation r = 1 2 sin Pedal Equation For 2A/R=1+Cos Theta Pedal equation of a polar curve. We can easily give parametric equations for the cardioid, namely. As θ goes through the values in [0, 2π], the value of r tracks the value of y, forming the “cardioid” shape of figure 10.1.2. Find the pedal equation of 2a/r=1+cos (theta) obtain the pedal. Pedal equation of a polar curve. P = \frac. Pedal Equation For 2A/R=1+Cos Theta.
From animalia-life.club
R Cosine Theta Pedal Equation For 2A/R=1+Cos Theta Find the pedal equation of the curve r^m=a^m (cosm (theta)+sinm (theta)). Pedal equation of a parabola. Pedal equation of a polar curve. Find the pedal equation of the curve. As θ goes through the values in [0, 2π], the value of r tracks the value of y, forming the “cardioid” shape of figure 10.1.2. Steps to follow to find the. Pedal Equation For 2A/R=1+Cos Theta.
From brainly.in
Find the angle between radius vector and tangent r=a(1+sin theta Pedal Equation For 2A/R=1+Cos Theta Pedal equation of a parabola. Pedal equation of a polar curve. For example, when θ = π/2, = 1 + cos(π/2) = 1, so we graph the point at. We can easily give parametric equations for the cardioid, namely. Steps to follow to find the pedal equation of the polar curve. Find the pedal equation of the curve r^m=a^m (cosm. Pedal Equation For 2A/R=1+Cos Theta.
From askfilo.com
Find the angle between radius vactor and tangent to the curve Filo Pedal Equation For 2A/R=1+Cos Theta P = \frac {4a \sin. Find the pedal equation of the curve. Find the pedal equation of the curve r^m=a^m (cosm (theta)+sinm (theta)). Steps to follow to find the pedal equation of the polar curve. For a parabola y2 = 4ax, with the pedal point at the focus, the pedal equation is: As θ goes through the values in [0,. Pedal Equation For 2A/R=1+Cos Theta.
From www.yawin.in
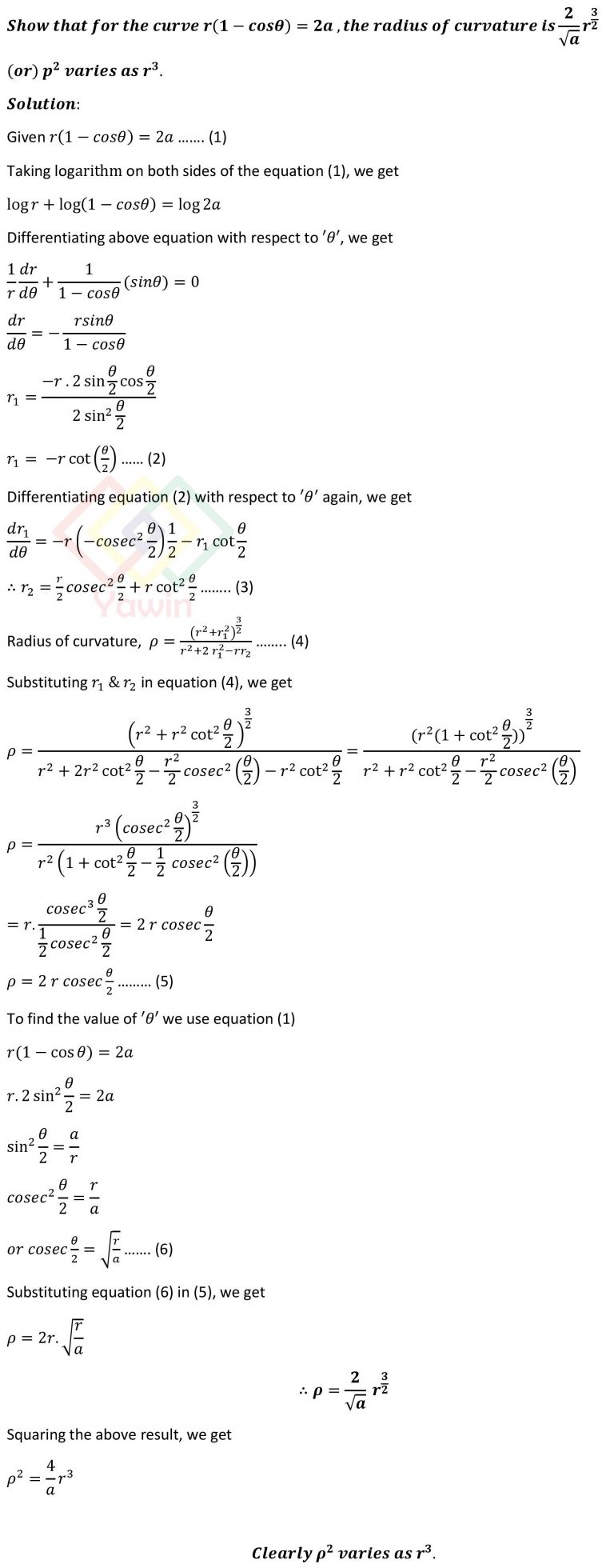
Show that for the curve r (1cos(theta)) =2a, the radius of curvature Pedal Equation For 2A/R=1+Cos Theta For example, when θ = π/2, = 1 + cos(π/2) = 1, so we graph the point at. As θ goes through the values in [0, 2π], the value of r tracks the value of y, forming the “cardioid” shape of figure 10.1.2. P = \frac {4a \sin. Pedal equation of a polar curve. Find the pedal equation of the. Pedal Equation For 2A/R=1+Cos Theta.
From animalia-life.club
R Cosine Theta Pedal Equation For 2A/R=1+Cos Theta As θ goes through the values in [0, 2π], the value of r tracks the value of y, forming the “cardioid” shape of figure 10.1.2. For example, when θ = π/2, = 1 + cos(π/2) = 1, so we graph the point at. Pedal equation of a polar curve. Pedal equation of a parabola. For a parabola y2 = 4ax,. Pedal Equation For 2A/R=1+Cos Theta.
From socratic.org
Can someone help me answer this question? 'find the exact value of Cos Pedal Equation For 2A/R=1+Cos Theta We can easily give parametric equations for the cardioid, namely. Pedal equation of a polar curve. For a parabola y2 = 4ax, with the pedal point at the focus, the pedal equation is: Pedal equation of a polar curve. Find the pedal equation of 2a/r=1+cos (theta) obtain the pedal. Find the pedal equation of the curve. Steps to follow to. Pedal Equation For 2A/R=1+Cos Theta.
From www.yawin.in
Pedal equation of a polar curve Yawin Pedal Equation For 2A/R=1+Cos Theta Pedal equation of a polar curve. Steps to follow to find the pedal equation of the polar curve. P = \frac {4a \sin. Find the pedal equation of 2a/r=1+cos (theta) obtain the pedal. Find the pedal equation of the curve r^m=a^m (cosm (theta)+sinm (theta)). Pedal equation of a polar curve. Find the pedal equation of the curve. For a parabola. Pedal Equation For 2A/R=1+Cos Theta.
From www.youtube.com
If `u_n=sin(n theta) sec^n theta,v_n=cos(ntheta)sec^ntheta ` `n in N n Pedal Equation For 2A/R=1+Cos Theta We can easily give parametric equations for the cardioid, namely. Find the pedal equation of the curve r^m=a^m (cosm (theta)+sinm (theta)). For example, when θ = π/2, = 1 + cos(π/2) = 1, so we graph the point at. As θ goes through the values in [0, 2π], the value of r tracks the value of y, forming the “cardioid”. Pedal Equation For 2A/R=1+Cos Theta.
From www.youtube.com
Pedal Equation and derivative of arc Lecture 4 YouTube Pedal Equation For 2A/R=1+Cos Theta For a parabola y2 = 4ax, with the pedal point at the focus, the pedal equation is: Pedal equation of a polar curve. P = \frac {4a \sin. Steps to follow to find the pedal equation of the polar curve. Find the pedal equation of the curve r^m=a^m (cosm (theta)+sinm (theta)). Pedal equation of a parabola. As θ goes through. Pedal Equation For 2A/R=1+Cos Theta.
From www.yawin.in
Find the pedal equation of the curve r^m=a^m (cosm(theta)+sinm(theta Pedal Equation For 2A/R=1+Cos Theta Find the pedal equation of 2a/r=1+cos (theta) obtain the pedal. Find the pedal equation of the curve r^m=a^m (cosm (theta)+sinm (theta)). Pedal equation of a parabola. Steps to follow to find the pedal equation of the polar curve. For example, when θ = π/2, = 1 + cos(π/2) = 1, so we graph the point at. P = \frac {4a. Pedal Equation For 2A/R=1+Cos Theta.
From www.coursehero.com
[Solved] Find pedal equation (Theta)=r^m (a^m) cos(m) Course Hero Pedal Equation For 2A/R=1+Cos Theta For a parabola y2 = 4ax, with the pedal point at the focus, the pedal equation is: Steps to follow to find the pedal equation of the polar curve. We can easily give parametric equations for the cardioid, namely. Find the pedal equation of the curve r^m=a^m (cosm (theta)+sinm (theta)). Pedal equation of a polar curve. Find the pedal equation. Pedal Equation For 2A/R=1+Cos Theta.
From www.coursehero.com
[Solved] Consider the problem of finding the area of the region R Pedal Equation For 2A/R=1+Cos Theta Steps to follow to find the pedal equation of the polar curve. As θ goes through the values in [0, 2π], the value of r tracks the value of y, forming the “cardioid” shape of figure 10.1.2. Find the pedal equation of the curve. Find the pedal equation of 2a/r=1+cos (theta) obtain the pedal. Pedal equation of a polar curve.. Pedal Equation For 2A/R=1+Cos Theta.
From www.yawin.in
Find the pedal equation of r^n=a (1+cos(n theta)) Yawin Pedal Equation For 2A/R=1+Cos Theta Pedal equation of a polar curve. Find the pedal equation of the curve r^m=a^m (cosm (theta)+sinm (theta)). Find the pedal equation of 2a/r=1+cos (theta) obtain the pedal. P = \frac {4a \sin. Pedal equation of a parabola. For example, when θ = π/2, = 1 + cos(π/2) = 1, so we graph the point at. For a parabola y2 =. Pedal Equation For 2A/R=1+Cos Theta.
From www.coursehero.com
[Solved] 1.)For the curve r = sin theta/2, find the angle between Pedal Equation For 2A/R=1+Cos Theta Pedal equation of a polar curve. Steps to follow to find the pedal equation of the polar curve. As θ goes through the values in [0, 2π], the value of r tracks the value of y, forming the “cardioid” shape of figure 10.1.2. Pedal equation of a parabola. We can easily give parametric equations for the cardioid, namely. Find the. Pedal Equation For 2A/R=1+Cos Theta.
From math.stackexchange.com
calculus Show that the curves r^2 = a^2\cos^2(\theta) and r = a(1 Pedal Equation For 2A/R=1+Cos Theta Find the pedal equation of the curve r^m=a^m (cosm (theta)+sinm (theta)). For a parabola y2 = 4ax, with the pedal point at the focus, the pedal equation is: Pedal equation of a polar curve. Steps to follow to find the pedal equation of the polar curve. Find the pedal equation of 2a/r=1+cos (theta) obtain the pedal. P = \frac {4a. Pedal Equation For 2A/R=1+Cos Theta.
From www.gauthmath.com
Solved Find the pedal equation of each of the given curves (Problemy Pedal Equation For 2A/R=1+Cos Theta Find the pedal equation of the curve r^m=a^m (cosm (theta)+sinm (theta)). For example, when θ = π/2, = 1 + cos(π/2) = 1, so we graph the point at. Pedal equation of a polar curve. Pedal equation of a parabola. As θ goes through the values in [0, 2π], the value of r tracks the value of y, forming the. Pedal Equation For 2A/R=1+Cos Theta.
From brainly.in
How to find the pedal of the curve r = a(1+cos theta) with respect to Pedal Equation For 2A/R=1+Cos Theta For example, when θ = π/2, = 1 + cos(π/2) = 1, so we graph the point at. Pedal equation of a parabola. Pedal equation of a polar curve. For a parabola y2 = 4ax, with the pedal point at the focus, the pedal equation is: Pedal equation of a polar curve. We can easily give parametric equations for the. Pedal Equation For 2A/R=1+Cos Theta.
From copyprogramming.com
What is the graph of r \cos \theta = 3? Half double angle formulae Pedal Equation For 2A/R=1+Cos Theta For a parabola y2 = 4ax, with the pedal point at the focus, the pedal equation is: Steps to follow to find the pedal equation of the polar curve. Pedal equation of a parabola. Find the pedal equation of the curve r^m=a^m (cosm (theta)+sinm (theta)). Pedal equation of a polar curve. Pedal equation of a polar curve. P = \frac. Pedal Equation For 2A/R=1+Cos Theta.
From www.youtube.com
Orthogonal trajectories Find the orthogonal trajectory of the curve r Pedal Equation For 2A/R=1+Cos Theta Pedal equation of a parabola. We can easily give parametric equations for the cardioid, namely. Steps to follow to find the pedal equation of the polar curve. Pedal equation of a polar curve. For example, when θ = π/2, = 1 + cos(π/2) = 1, so we graph the point at. For a parabola y2 = 4ax, with the pedal. Pedal Equation For 2A/R=1+Cos Theta.
From www.yawin.in
Find pedal equation of the curve r=a e^ ((theta)cot(alpha)) Yawin Pedal Equation For 2A/R=1+Cos Theta Pedal equation of a parabola. P = \frac {4a \sin. For a parabola y2 = 4ax, with the pedal point at the focus, the pedal equation is: We can easily give parametric equations for the cardioid, namely. For example, when θ = π/2, = 1 + cos(π/2) = 1, so we graph the point at. Pedal equation of a polar. Pedal Equation For 2A/R=1+Cos Theta.