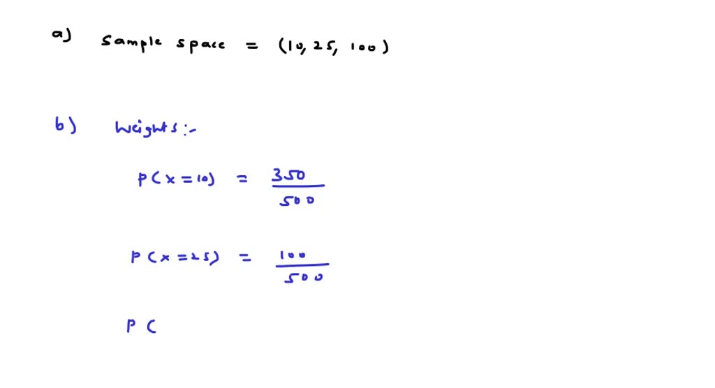
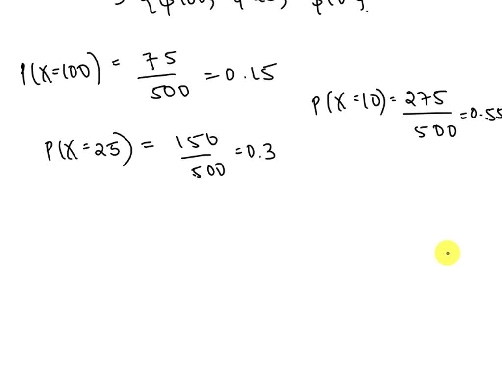
A Box Contains 500 Envelopes Of Which 75 . A box contains 500 envelopes, of which 75 contain $100 in cash, 150 contain $25, and 275 contain $10. A box contains 500 envelopes, of which 50 have 100 dollars in cash, 75 have 50 dollars in cash, and 125 have 25 dollars in cash. The probability of an envelope containing less than $100 is 0.85. Assign probabilities to the sample point and then find the probability that the first envelope purchased contains less than p100. 75 with \(100, 150 with \)25, and 275. An envelope may be purchased for. Assign probabilities to the sample points and then find the probability that the first envelope. A box contains 500 envelopes, of. Calculate the probability of winning money: The sample space for the different amounts of money in the. In the envelope problem, we know there are 500 envelopes in total, distributed across different values: An envelope may be purchased for $25. A box contains 500 envelopes of which 75 contain $100 in cash, 150 contain $25, and 275 contain $10.
from slideplayer.com
Assign probabilities to the sample point and then find the probability that the first envelope purchased contains less than p100. An envelope may be purchased for. Calculate the probability of winning money: The sample space for the different amounts of money in the. A box contains 500 envelopes, of. Assign probabilities to the sample points and then find the probability that the first envelope. A box contains 500 envelopes, of which 50 have 100 dollars in cash, 75 have 50 dollars in cash, and 125 have 25 dollars in cash. The probability of an envelope containing less than $100 is 0.85. In the envelope problem, we know there are 500 envelopes in total, distributed across different values: A box contains 500 envelopes, of which 75 contain $100 in cash, 150 contain $25, and 275 contain $10.
Chapter 3 Random Variables and Probability Distributions ppt download
A Box Contains 500 Envelopes Of Which 75 A box contains 500 envelopes, of which 50 have 100 dollars in cash, 75 have 50 dollars in cash, and 125 have 25 dollars in cash. In the envelope problem, we know there are 500 envelopes in total, distributed across different values: 75 with \(100, 150 with \)25, and 275. A box contains 500 envelopes, of which 75 contain $100 in cash, 150 contain $25, and 275 contain $10. Calculate the probability of winning money: An envelope may be purchased for. An envelope may be purchased for $25. Assign probabilities to the sample points and then find the probability that the first envelope. The sample space for the different amounts of money in the. The probability of an envelope containing less than $100 is 0.85. A box contains 500 envelopes, of which 50 have 100 dollars in cash, 75 have 50 dollars in cash, and 125 have 25 dollars in cash. A box contains 500 envelopes, of. A box contains 500 envelopes of which 75 contain $100 in cash, 150 contain $25, and 275 contain $10. Assign probabilities to the sample point and then find the probability that the first envelope purchased contains less than p100.
From www.walmart.com
Columbian White PolyKlear Woven Single Window Envelopes, Box of 500 A Box Contains 500 Envelopes Of Which 75 Assign probabilities to the sample point and then find the probability that the first envelope purchased contains less than p100. A box contains 500 envelopes, of which 75 contain $100 in cash, 150 contain $25, and 275 contain $10. Assign probabilities to the sample points and then find the probability that the first envelope. The sample space for the different. A Box Contains 500 Envelopes Of Which 75.
From www.chegg.com
Solved A box contains ten sealed envelopes numbered 1,..., A Box Contains 500 Envelopes Of Which 75 Assign probabilities to the sample points and then find the probability that the first envelope. The probability of an envelope containing less than $100 is 0.85. A box contains 500 envelopes of which 75 contain $100 in cash, 150 contain $25, and 275 contain $10. Calculate the probability of winning money: In the envelope problem, we know there are 500. A Box Contains 500 Envelopes Of Which 75.
From exoyegloz.blob.core.windows.net
How To File A Envelope at Travis Gold blog A Box Contains 500 Envelopes Of Which 75 Calculate the probability of winning money: Assign probabilities to the sample point and then find the probability that the first envelope purchased contains less than p100. In the envelope problem, we know there are 500 envelopes in total, distributed across different values: An envelope may be purchased for. A box contains 500 envelopes, of. 75 with \(100, 150 with \)25,. A Box Contains 500 Envelopes Of Which 75.
From www.walmart.com
Blue Summit Supplies 8 Self Seal Envelopes, Double Window, 500/box A Box Contains 500 Envelopes Of Which 75 An envelope may be purchased for $25. The sample space for the different amounts of money in the. A box contains 500 envelopes of which 75 contain $100 in cash, 150 contain $25, and 275 contain $10. Assign probabilities to the sample point and then find the probability that the first envelope purchased contains less than p100. 75 with \(100,. A Box Contains 500 Envelopes Of Which 75.
From birdscards.com
Box Envelopes Photo Tutorial A Box Contains 500 Envelopes Of Which 75 An envelope may be purchased for. The sample space for the different amounts of money in the. A box contains 500 envelopes of which 75 contain $100 in cash, 150 contain $25, and 275 contain $10. An envelope may be purchased for $25. The probability of an envelope containing less than $100 is 0.85. Assign probabilities to the sample points. A Box Contains 500 Envelopes Of Which 75.
From www.chegg.com
Solved A box contains 500 envelopes, of which 25 contain A Box Contains 500 Envelopes Of Which 75 A box contains 500 envelopes, of. The probability of an envelope containing less than $100 is 0.85. Assign probabilities to the sample point and then find the probability that the first envelope purchased contains less than p100. A box contains 500 envelopes, of which 50 have 100 dollars in cash, 75 have 50 dollars in cash, and 125 have 25. A Box Contains 500 Envelopes Of Which 75.
From dxosbarpp.blob.core.windows.net
What Size Envelope For Birthday Card at John Avilla blog A Box Contains 500 Envelopes Of Which 75 Assign probabilities to the sample points and then find the probability that the first envelope. 75 with \(100, 150 with \)25, and 275. Assign probabilities to the sample point and then find the probability that the first envelope purchased contains less than p100. The probability of an envelope containing less than $100 is 0.85. A box contains 500 envelopes, of. A Box Contains 500 Envelopes Of Which 75.
From www.numerade.com
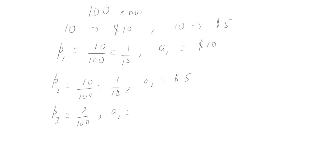
SOLVEDA box contains 100 envelopes. Ten envelopes contain 10 each, ten A Box Contains 500 Envelopes Of Which 75 An envelope may be purchased for. In the envelope problem, we know there are 500 envelopes in total, distributed across different values: Assign probabilities to the sample point and then find the probability that the first envelope purchased contains less than p100. The sample space for the different amounts of money in the. An envelope may be purchased for $25.. A Box Contains 500 Envelopes Of Which 75.
From www.chegg.com
Solved A box contains 500 envelopes, of which 50 contain A Box Contains 500 Envelopes Of Which 75 In the envelope problem, we know there are 500 envelopes in total, distributed across different values: A box contains 500 envelopes, of which 75 contain $100 in cash, 150 contain $25, and 275 contain $10. A box contains 500 envelopes of which 75 contain $100 in cash, 150 contain $25, and 275 contain $10. The probability of an envelope containing. A Box Contains 500 Envelopes Of Which 75.
From www.solutioninn.com
[Solved] A box contains 400 envelopes, of which 25 SolutionInn A Box Contains 500 Envelopes Of Which 75 A box contains 500 envelopes, of which 75 contain $100 in cash, 150 contain $25, and 275 contain $10. An envelope may be purchased for $25. In the envelope problem, we know there are 500 envelopes in total, distributed across different values: Assign probabilities to the sample points and then find the probability that the first envelope. Calculate the probability. A Box Contains 500 Envelopes Of Which 75.
From www.chegg.com
Solved A box contains 500 envelopes, of which 75 contain A Box Contains 500 Envelopes Of Which 75 A box contains 500 envelopes, of which 75 contain $100 in cash, 150 contain $25, and 275 contain $10. Assign probabilities to the sample points and then find the probability that the first envelope. 75 with \(100, 150 with \)25, and 275. The sample space for the different amounts of money in the. Calculate the probability of winning money: In. A Box Contains 500 Envelopes Of Which 75.
From www.suppliesshops.com
Custom 10 Envelopes White Printed Envelopes (Box of 500) A Box Contains 500 Envelopes Of Which 75 The sample space for the different amounts of money in the. The probability of an envelope containing less than $100 is 0.85. An envelope may be purchased for. An envelope may be purchased for $25. A box contains 500 envelopes, of. Assign probabilities to the sample point and then find the probability that the first envelope purchased contains less than. A Box Contains 500 Envelopes Of Which 75.
From www.numerade.com
SOLVEDA Game of Chance A box contains 100 envelopes. Ten envelopes A Box Contains 500 Envelopes Of Which 75 75 with \(100, 150 with \)25, and 275. A box contains 500 envelopes of which 75 contain $100 in cash, 150 contain $25, and 275 contain $10. A box contains 500 envelopes, of which 75 contain $100 in cash, 150 contain $25, and 275 contain $10. Assign probabilities to the sample points and then find the probability that the first. A Box Contains 500 Envelopes Of Which 75.
From www.walmart.com
Universal Business Envelope, 10, 4 1/8 x 9 1/2, White, 500/Box A Box Contains 500 Envelopes Of Which 75 Calculate the probability of winning money: An envelope may be purchased for $25. The probability of an envelope containing less than $100 is 0.85. A box contains 500 envelopes, of which 75 contain $100 in cash, 150 contain $25, and 275 contain $10. In the envelope problem, we know there are 500 envelopes in total, distributed across different values: Assign. A Box Contains 500 Envelopes Of Which 75.
From www.numerade.com
SOLVED An envelope contains 140 pieces consisting P^(1000) and P^(500 A Box Contains 500 Envelopes Of Which 75 A box contains 500 envelopes, of which 75 contain $100 in cash, 150 contain $25, and 275 contain $10. The probability of an envelope containing less than $100 is 0.85. A box contains 500 envelopes, of. 75 with \(100, 150 with \)25, and 275. A box contains 500 envelopes, of which 50 have 100 dollars in cash, 75 have 50. A Box Contains 500 Envelopes Of Which 75.
From www.numerade.com
SOLVED A box contains 500 envelopes, of which 50 contain 100 in cash A Box Contains 500 Envelopes Of Which 75 In the envelope problem, we know there are 500 envelopes in total, distributed across different values: An envelope may be purchased for. The sample space for the different amounts of money in the. A box contains 500 envelopes of which 75 contain $100 in cash, 150 contain $25, and 275 contain $10. 75 with \(100, 150 with \)25, and 275.. A Box Contains 500 Envelopes Of Which 75.
From paperworks.com
White Wove 12 24lb Regular 500/box Paper, Envelopes, Cardstock A Box Contains 500 Envelopes Of Which 75 Assign probabilities to the sample point and then find the probability that the first envelope purchased contains less than p100. A box contains 500 envelopes of which 75 contain $100 in cash, 150 contain $25, and 275 contain $10. A box contains 500 envelopes, of which 75 contain $100 in cash, 150 contain $25, and 275 contain $10. The sample. A Box Contains 500 Envelopes Of Which 75.
From www.numerade.com
SOLVED A box contains 500 envelopes, of which 50 contain 100 in cash A Box Contains 500 Envelopes Of Which 75 A box contains 500 envelopes, of. A box contains 500 envelopes, of which 50 have 100 dollars in cash, 75 have 50 dollars in cash, and 125 have 25 dollars in cash. 75 with \(100, 150 with \)25, and 275. Assign probabilities to the sample point and then find the probability that the first envelope purchased contains less than p100.. A Box Contains 500 Envelopes Of Which 75.
From brainly.in
A box contains 500 candles, each of length 10 cm and radius 14 mm. Find A Box Contains 500 Envelopes Of Which 75 An envelope may be purchased for. The sample space for the different amounts of money in the. A box contains 500 envelopes of which 75 contain $100 in cash, 150 contain $25, and 275 contain $10. In the envelope problem, we know there are 500 envelopes in total, distributed across different values: 75 with \(100, 150 with \)25, and 275.. A Box Contains 500 Envelopes Of Which 75.
From www.coursehero.com
[Solved] . Solve the problem. A box contains 30 widgets, 4 of which are A Box Contains 500 Envelopes Of Which 75 The sample space for the different amounts of money in the. Assign probabilities to the sample point and then find the probability that the first envelope purchased contains less than p100. A box contains 500 envelopes, of which 75 contain $100 in cash, 150 contain $25, and 275 contain $10. A box contains 500 envelopes, of which 50 have 100. A Box Contains 500 Envelopes Of Which 75.
From slideplayer.com
Chapter 3 Random Variables and Probability Distributions ppt download A Box Contains 500 Envelopes Of Which 75 An envelope may be purchased for. Assign probabilities to the sample points and then find the probability that the first envelope. In the envelope problem, we know there are 500 envelopes in total, distributed across different values: Assign probabilities to the sample point and then find the probability that the first envelope purchased contains less than p100. A box contains. A Box Contains 500 Envelopes Of Which 75.
From www.teachoo.com
Ques 1 (MCQ) A box contains cards numbered 6 to 50. A card is drawn A Box Contains 500 Envelopes Of Which 75 The sample space for the different amounts of money in the. Calculate the probability of winning money: 75 with \(100, 150 with \)25, and 275. Assign probabilities to the sample points and then find the probability that the first envelope. The probability of an envelope containing less than $100 is 0.85. A box contains 500 envelopes of which 75 contain. A Box Contains 500 Envelopes Of Which 75.
From www.numerade.com
SOLVED Exercise box contains 500 envelopes, of which 75 contain 100 in A Box Contains 500 Envelopes Of Which 75 An envelope may be purchased for $25. In the envelope problem, we know there are 500 envelopes in total, distributed across different values: Assign probabilities to the sample points and then find the probability that the first envelope. Calculate the probability of winning money: A box contains 500 envelopes, of. Assign probabilities to the sample point and then find the. A Box Contains 500 Envelopes Of Which 75.
From www.walmart.com
10 Security Envelopes SelfSeal Windowless White 500 Count A Box Contains 500 Envelopes Of Which 75 A box contains 500 envelopes, of which 50 have 100 dollars in cash, 75 have 50 dollars in cash, and 125 have 25 dollars in cash. In the envelope problem, we know there are 500 envelopes in total, distributed across different values: The sample space for the different amounts of money in the. Assign probabilities to the sample point and. A Box Contains 500 Envelopes Of Which 75.
From edurev.in
A box contains 90 discs which are numbered from 1 to 90 . If one disc A Box Contains 500 Envelopes Of Which 75 An envelope may be purchased for. A box contains 500 envelopes, of. The sample space for the different amounts of money in the. In the envelope problem, we know there are 500 envelopes in total, distributed across different values: The probability of an envelope containing less than $100 is 0.85. Assign probabilities to the sample point and then find the. A Box Contains 500 Envelopes Of Which 75.
From www.chegg.com
A box contains 500 envelopes, of which 25 contain A Box Contains 500 Envelopes Of Which 75 In the envelope problem, we know there are 500 envelopes in total, distributed across different values: The probability of an envelope containing less than $100 is 0.85. A box contains 500 envelopes, of. An envelope may be purchased for. Assign probabilities to the sample point and then find the probability that the first envelope purchased contains less than p100. An. A Box Contains 500 Envelopes Of Which 75.
From www.walmart.com
Columbian 10 Security Envelopes 500 Envelopes A Box Contains 500 Envelopes Of Which 75 In the envelope problem, we know there are 500 envelopes in total, distributed across different values: A box contains 500 envelopes, of which 50 have 100 dollars in cash, 75 have 50 dollars in cash, and 125 have 25 dollars in cash. The probability of an envelope containing less than $100 is 0.85. Assign probabilities to the sample points and. A Box Contains 500 Envelopes Of Which 75.
From www.studocu.com
2Additive rules 1) A box contains 500 envelopes, of which 75 contain A Box Contains 500 Envelopes Of Which 75 A box contains 500 envelopes of which 75 contain $100 in cash, 150 contain $25, and 275 contain $10. 75 with \(100, 150 with \)25, and 275. An envelope may be purchased for. A box contains 500 envelopes, of which 50 have 100 dollars in cash, 75 have 50 dollars in cash, and 125 have 25 dollars in cash. The. A Box Contains 500 Envelopes Of Which 75.
From www.lazada.com.ph
White Letter Envelope 500 Pcs Long Mailing Sobre Lazada PH A Box Contains 500 Envelopes Of Which 75 Assign probabilities to the sample point and then find the probability that the first envelope purchased contains less than p100. 75 with \(100, 150 with \)25, and 275. A box contains 500 envelopes of which 75 contain $100 in cash, 150 contain $25, and 275 contain $10. The sample space for the different amounts of money in the. A box. A Box Contains 500 Envelopes Of Which 75.
From www.chegg.com
Solved A box contains ten sealed envelopes numbered 1,..., A Box Contains 500 Envelopes Of Which 75 A box contains 500 envelopes, of which 75 contain $100 in cash, 150 contain $25, and 275 contain $10. An envelope may be purchased for. An envelope may be purchased for $25. A box contains 500 envelopes, of which 50 have 100 dollars in cash, 75 have 50 dollars in cash, and 125 have 25 dollars in cash. 75 with. A Box Contains 500 Envelopes Of Which 75.
From www.coursehero.com
[Solved] A person randomly selects one of six envelopes. Each envelope A Box Contains 500 Envelopes Of Which 75 The sample space for the different amounts of money in the. The probability of an envelope containing less than $100 is 0.85. Assign probabilities to the sample points and then find the probability that the first envelope. In the envelope problem, we know there are 500 envelopes in total, distributed across different values: A box contains 500 envelopes, of which. A Box Contains 500 Envelopes Of Which 75.
From www.chegg.com
Solved 1 Consider the following events and state the ones A Box Contains 500 Envelopes Of Which 75 A box contains 500 envelopes of which 75 contain $100 in cash, 150 contain $25, and 275 contain $10. In the envelope problem, we know there are 500 envelopes in total, distributed across different values: Assign probabilities to the sample points and then find the probability that the first envelope. Calculate the probability of winning money: Assign probabilities to the. A Box Contains 500 Envelopes Of Which 75.
From blackcatprinting.com.au
Tudor DL Envelopes 110x220mm PnS Box 500 Black Cat Printing & Stationery A Box Contains 500 Envelopes Of Which 75 75 with \(100, 150 with \)25, and 275. A box contains 500 envelopes, of which 50 have 100 dollars in cash, 75 have 50 dollars in cash, and 125 have 25 dollars in cash. A box contains 500 envelopes of which 75 contain $100 in cash, 150 contain $25, and 275 contain $10. An envelope may be purchased for $25.. A Box Contains 500 Envelopes Of Which 75.
From www.chegg.com
Solved A box contains 600 envelopes, of which 50 contain A Box Contains 500 Envelopes Of Which 75 A box contains 500 envelopes, of which 50 have 100 dollars in cash, 75 have 50 dollars in cash, and 125 have 25 dollars in cash. A box contains 500 envelopes, of. The sample space for the different amounts of money in the. Assign probabilities to the sample point and then find the probability that the first envelope purchased contains. A Box Contains 500 Envelopes Of Which 75.
From www.transtutors.com
(Solved) A box contains 500 envelopes, of which 75 contain 100 in A Box Contains 500 Envelopes Of Which 75 In the envelope problem, we know there are 500 envelopes in total, distributed across different values: Calculate the probability of winning money: An envelope may be purchased for $25. A box contains 500 envelopes of which 75 contain $100 in cash, 150 contain $25, and 275 contain $10. The sample space for the different amounts of money in the. A. A Box Contains 500 Envelopes Of Which 75.