Induction Maths Leaving Cert . Everything you need to study for leaving cert maths. Leaving certificate examination 2021 mathematics paper 1 higher level question 4a Then you have the divisiblity proofs , which follow the same process. Part of engineers ireland's series of leaving cert higher level maths tutorials. 3.7k views • 6 years ago. There are a few standard proof by induction questions ( see lc 2014 or lc 2020 ). Find past exam questions listed by topic with worked solutions to questions,. Inequalities, modulus, proofs, exponential equations & functions and logs. On the leaving cert course, the most popular algebra proof is proof by induction. Fun and easy induction (proof) quizzes based on leaving cert mathematics past papers. Practice multiple choice questions, see explanations for. This page contains resources supporting chapter 7.
from breakthroughmaths.com
Part of engineers ireland's series of leaving cert higher level maths tutorials. Practice multiple choice questions, see explanations for. Everything you need to study for leaving cert maths. Leaving certificate examination 2021 mathematics paper 1 higher level question 4a Then you have the divisiblity proofs , which follow the same process. This page contains resources supporting chapter 7. There are a few standard proof by induction questions ( see lc 2014 or lc 2020 ). On the leaving cert course, the most popular algebra proof is proof by induction. 3.7k views • 6 years ago. Inequalities, modulus, proofs, exponential equations & functions and logs.
Leaving Cert Maths Higher Level & Ordinary Level
Induction Maths Leaving Cert 3.7k views • 6 years ago. Practice multiple choice questions, see explanations for. Then you have the divisiblity proofs , which follow the same process. On the leaving cert course, the most popular algebra proof is proof by induction. Leaving certificate examination 2021 mathematics paper 1 higher level question 4a Fun and easy induction (proof) quizzes based on leaving cert mathematics past papers. Inequalities, modulus, proofs, exponential equations & functions and logs. There are a few standard proof by induction questions ( see lc 2014 or lc 2020 ). Find past exam questions listed by topic with worked solutions to questions,. This page contains resources supporting chapter 7. 3.7k views • 6 years ago. Everything you need to study for leaving cert maths. Part of engineers ireland's series of leaving cert higher level maths tutorials.
From www.slideserve.com
PPT Mathematical Induction PowerPoint Presentation, free download Induction Maths Leaving Cert There are a few standard proof by induction questions ( see lc 2014 or lc 2020 ). Leaving certificate examination 2021 mathematics paper 1 higher level question 4a Find past exam questions listed by topic with worked solutions to questions,. This page contains resources supporting chapter 7. Practice multiple choice questions, see explanations for. Fun and easy induction (proof) quizzes. Induction Maths Leaving Cert.
From www.youtube.com
Every Leaving Cert Question on Proof By Induction 19772021 YouTube Induction Maths Leaving Cert This page contains resources supporting chapter 7. Inequalities, modulus, proofs, exponential equations & functions and logs. 3.7k views • 6 years ago. Then you have the divisiblity proofs , which follow the same process. Find past exam questions listed by topic with worked solutions to questions,. There are a few standard proof by induction questions ( see lc 2014 or. Induction Maths Leaving Cert.
From dokumen.tips
(PDF) Chapter 4 Principle of Mathematical Induction...Class XI Chapter Induction Maths Leaving Cert Then you have the divisiblity proofs , which follow the same process. Practice multiple choice questions, see explanations for. Find past exam questions listed by topic with worked solutions to questions,. Part of engineers ireland's series of leaving cert higher level maths tutorials. On the leaving cert course, the most popular algebra proof is proof by induction. Fun and easy. Induction Maths Leaving Cert.
From www.abcbooks.ie
POWER OF MATHS LEAVING CERT PAPER 1 ACTIVITY BOOK ONLY ORDINARY Induction Maths Leaving Cert Practice multiple choice questions, see explanations for. Leaving certificate examination 2021 mathematics paper 1 higher level question 4a Fun and easy induction (proof) quizzes based on leaving cert mathematics past papers. There are a few standard proof by induction questions ( see lc 2014 or lc 2020 ). Then you have the divisiblity proofs , which follow the same process.. Induction Maths Leaving Cert.
From math.stackexchange.com
logic Check my proof Strong induction by weak induction Induction Maths Leaving Cert Inequalities, modulus, proofs, exponential equations & functions and logs. Fun and easy induction (proof) quizzes based on leaving cert mathematics past papers. This page contains resources supporting chapter 7. Part of engineers ireland's series of leaving cert higher level maths tutorials. Then you have the divisiblity proofs , which follow the same process. Find past exam questions listed by topic. Induction Maths Leaving Cert.
From breakthroughmaths.com
Leaving Cert Maths Higher Level & Ordinary Level Induction Maths Leaving Cert Practice multiple choice questions, see explanations for. Everything you need to study for leaving cert maths. Part of engineers ireland's series of leaving cert higher level maths tutorials. Fun and easy induction (proof) quizzes based on leaving cert mathematics past papers. There are a few standard proof by induction questions ( see lc 2014 or lc 2020 ). Find past. Induction Maths Leaving Cert.
From www.youtube.com
Leaving Cert Maths 2021 Paper 2 Question 10 Higher Level (Solution Induction Maths Leaving Cert Leaving certificate examination 2021 mathematics paper 1 higher level question 4a Find past exam questions listed by topic with worked solutions to questions,. Practice multiple choice questions, see explanations for. Fun and easy induction (proof) quizzes based on leaving cert mathematics past papers. There are a few standard proof by induction questions ( see lc 2014 or lc 2020 ).. Induction Maths Leaving Cert.
From breakthroughmaths.com
Leaving Cert Maths Higher Level & Ordinary Level Induction Maths Leaving Cert Inequalities, modulus, proofs, exponential equations & functions and logs. Leaving certificate examination 2021 mathematics paper 1 higher level question 4a 3.7k views • 6 years ago. This page contains resources supporting chapter 7. Everything you need to study for leaving cert maths. Part of engineers ireland's series of leaving cert higher level maths tutorials. Practice multiple choice questions, see explanations. Induction Maths Leaving Cert.
From www.youtube.com
Leaving Cert Maths (Higher Level) 2020 Paper 1 Question 1 YouTube Induction Maths Leaving Cert 3.7k views • 6 years ago. This page contains resources supporting chapter 7. Then you have the divisiblity proofs , which follow the same process. Practice multiple choice questions, see explanations for. On the leaving cert course, the most popular algebra proof is proof by induction. Part of engineers ireland's series of leaving cert higher level maths tutorials. Find past. Induction Maths Leaving Cert.
From www.chegg.com
Solved Mathematical Induction is a proof technique used to Induction Maths Leaving Cert Practice multiple choice questions, see explanations for. On the leaving cert course, the most popular algebra proof is proof by induction. This page contains resources supporting chapter 7. Then you have the divisiblity proofs , which follow the same process. Fun and easy induction (proof) quizzes based on leaving cert mathematics past papers. Everything you need to study for leaving. Induction Maths Leaving Cert.
From www.youtube.com
Theorem 12 Leaving Cert Higher Level Maths YouTube Induction Maths Leaving Cert Fun and easy induction (proof) quizzes based on leaving cert mathematics past papers. Leaving certificate examination 2021 mathematics paper 1 higher level question 4a There are a few standard proof by induction questions ( see lc 2014 or lc 2020 ). Find past exam questions listed by topic with worked solutions to questions,. This page contains resources supporting chapter 7.. Induction Maths Leaving Cert.
From www.etsy.com
Leaving Cert Maths Proofs and Derivations Notes Etsy Induction Maths Leaving Cert Everything you need to study for leaving cert maths. Then you have the divisiblity proofs , which follow the same process. 3.7k views • 6 years ago. This page contains resources supporting chapter 7. Leaving certificate examination 2021 mathematics paper 1 higher level question 4a Fun and easy induction (proof) quizzes based on leaving cert mathematics past papers. Find past. Induction Maths Leaving Cert.
From www.youtube.com
Leaving Cert Maths Higher Level 2021 Paper 1 Question 6 (Solution Induction Maths Leaving Cert This page contains resources supporting chapter 7. Find past exam questions listed by topic with worked solutions to questions,. 3.7k views • 6 years ago. Inequalities, modulus, proofs, exponential equations & functions and logs. Then you have the divisiblity proofs , which follow the same process. On the leaving cert course, the most popular algebra proof is proof by induction.. Induction Maths Leaving Cert.
From www.youtube.com
Proof by induction Divisibility example 2 Leaving Cert Higher Level Induction Maths Leaving Cert Practice multiple choice questions, see explanations for. 3.7k views • 6 years ago. Leaving certificate examination 2021 mathematics paper 1 higher level question 4a On the leaving cert course, the most popular algebra proof is proof by induction. This page contains resources supporting chapter 7. Part of engineers ireland's series of leaving cert higher level maths tutorials. Find past exam. Induction Maths Leaving Cert.
From in.pinterest.com
Leaving certificate HL maths notes on the 3 prescribed proofs Induction Maths Leaving Cert There are a few standard proof by induction questions ( see lc 2014 or lc 2020 ). Part of engineers ireland's series of leaving cert higher level maths tutorials. Practice multiple choice questions, see explanations for. Everything you need to study for leaving cert maths. Leaving certificate examination 2021 mathematics paper 1 higher level question 4a Inequalities, modulus, proofs, exponential. Induction Maths Leaving Cert.
From www.youtube.com
Leaving Cert Maths 2021 Paper 1 Higher Level, First Impressions Induction Maths Leaving Cert Find past exam questions listed by topic with worked solutions to questions,. Inequalities, modulus, proofs, exponential equations & functions and logs. Part of engineers ireland's series of leaving cert higher level maths tutorials. There are a few standard proof by induction questions ( see lc 2014 or lc 2020 ). This page contains resources supporting chapter 7. 3.7k views •. Induction Maths Leaving Cert.
From www.linquip.com
Mathematical Induction Calculator A Comprehensive Guide on How It Induction Maths Leaving Cert Fun and easy induction (proof) quizzes based on leaving cert mathematics past papers. Part of engineers ireland's series of leaving cert higher level maths tutorials. Leaving certificate examination 2021 mathematics paper 1 higher level question 4a This page contains resources supporting chapter 7. Everything you need to study for leaving cert maths. There are a few standard proof by induction. Induction Maths Leaving Cert.
From www.youtube.com
Leaving Cert Maths Differentiation Full Lesson YouTube Induction Maths Leaving Cert Find past exam questions listed by topic with worked solutions to questions,. Leaving certificate examination 2021 mathematics paper 1 higher level question 4a Part of engineers ireland's series of leaving cert higher level maths tutorials. Practice multiple choice questions, see explanations for. Inequalities, modulus, proofs, exponential equations & functions and logs. On the leaving cert course, the most popular algebra. Induction Maths Leaving Cert.
From www.youtube.com
Example cert principle of mathematical induction YouTube Induction Maths Leaving Cert Then you have the divisiblity proofs , which follow the same process. Inequalities, modulus, proofs, exponential equations & functions and logs. Find past exam questions listed by topic with worked solutions to questions,. Leaving certificate examination 2021 mathematics paper 1 higher level question 4a Everything you need to study for leaving cert maths. Practice multiple choice questions, see explanations for.. Induction Maths Leaving Cert.
From www.youtube.com
Leaving Cert Maths Ordinary Level 2021 Paper 1 (Solutions) YouTube Induction Maths Leaving Cert On the leaving cert course, the most popular algebra proof is proof by induction. Inequalities, modulus, proofs, exponential equations & functions and logs. Leaving certificate examination 2021 mathematics paper 1 higher level question 4a This page contains resources supporting chapter 7. There are a few standard proof by induction questions ( see lc 2014 or lc 2020 ). Find past. Induction Maths Leaving Cert.
From www.youtube.com
Proof by Induction Introduction Leaving Cert Higher Level Maths YouTube Induction Maths Leaving Cert Everything you need to study for leaving cert maths. Find past exam questions listed by topic with worked solutions to questions,. Then you have the divisiblity proofs , which follow the same process. Leaving certificate examination 2021 mathematics paper 1 higher level question 4a On the leaving cert course, the most popular algebra proof is proof by induction. 3.7k views. Induction Maths Leaving Cert.
From www.irishtimes.com
Leaving Cert Maths Marking Scheme P1&2 The Irish Times Induction Maths Leaving Cert Then you have the divisiblity proofs , which follow the same process. Inequalities, modulus, proofs, exponential equations & functions and logs. There are a few standard proof by induction questions ( see lc 2014 or lc 2020 ). Everything you need to study for leaving cert maths. Practice multiple choice questions, see explanations for. Fun and easy induction (proof) quizzes. Induction Maths Leaving Cert.
From www.youtube.com
Leaving Cert Higher Level Calculus YouTube Induction Maths Leaving Cert Practice multiple choice questions, see explanations for. This page contains resources supporting chapter 7. Everything you need to study for leaving cert maths. 3.7k views • 6 years ago. Leaving certificate examination 2021 mathematics paper 1 higher level question 4a Find past exam questions listed by topic with worked solutions to questions,. Part of engineers ireland's series of leaving cert. Induction Maths Leaving Cert.
From www.youtube.com
Proof by induction Divisibility example 3 Leaving Cert Higher Level Induction Maths Leaving Cert On the leaving cert course, the most popular algebra proof is proof by induction. Leaving certificate examination 2021 mathematics paper 1 higher level question 4a Part of engineers ireland's series of leaving cert higher level maths tutorials. This page contains resources supporting chapter 7. Everything you need to study for leaving cert maths. Then you have the divisiblity proofs ,. Induction Maths Leaving Cert.
From www.youtube.com
Mathematical Induction Examples Solutions YouTube Induction Maths Leaving Cert Then you have the divisiblity proofs , which follow the same process. This page contains resources supporting chapter 7. 3.7k views • 6 years ago. Fun and easy induction (proof) quizzes based on leaving cert mathematics past papers. There are a few standard proof by induction questions ( see lc 2014 or lc 2020 ). Practice multiple choice questions, see. Induction Maths Leaving Cert.
From thetuitioncentre.ie
New Structure of Leaving Cert Maths Papers 2022 Induction Maths Leaving Cert Inequalities, modulus, proofs, exponential equations & functions and logs. This page contains resources supporting chapter 7. Then you have the divisiblity proofs , which follow the same process. Part of engineers ireland's series of leaving cert higher level maths tutorials. Practice multiple choice questions, see explanations for. On the leaving cert course, the most popular algebra proof is proof by. Induction Maths Leaving Cert.
From www.youtube.com
Proof by induction sum of series example 1 Leaving Cert Higher Level Induction Maths Leaving Cert Fun and easy induction (proof) quizzes based on leaving cert mathematics past papers. Inequalities, modulus, proofs, exponential equations & functions and logs. There are a few standard proof by induction questions ( see lc 2014 or lc 2020 ). 3.7k views • 6 years ago. Practice multiple choice questions, see explanations for. This page contains resources supporting chapter 7. Part. Induction Maths Leaving Cert.
From www.youtube.com
2019 Leaving Cert Higher Level Maths Paper 1 Q2 YouTube Induction Maths Leaving Cert Find past exam questions listed by topic with worked solutions to questions,. Leaving certificate examination 2021 mathematics paper 1 higher level question 4a This page contains resources supporting chapter 7. Inequalities, modulus, proofs, exponential equations & functions and logs. On the leaving cert course, the most popular algebra proof is proof by induction. 3.7k views • 6 years ago. There. Induction Maths Leaving Cert.
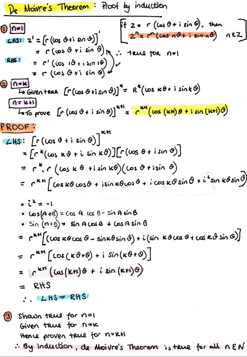
From www.youtube.com
Proof by induction De Moivre's Theorem example Leaving Cert Higher Induction Maths Leaving Cert This page contains resources supporting chapter 7. Fun and easy induction (proof) quizzes based on leaving cert mathematics past papers. Leaving certificate examination 2021 mathematics paper 1 higher level question 4a Everything you need to study for leaving cert maths. 3.7k views • 6 years ago. There are a few standard proof by induction questions ( see lc 2014 or. Induction Maths Leaving Cert.
From www.studyclix.ie
Leaving Cert Higher Level Maths Bonus Points Induction Maths Leaving Cert On the leaving cert course, the most popular algebra proof is proof by induction. Part of engineers ireland's series of leaving cert higher level maths tutorials. There are a few standard proof by induction questions ( see lc 2014 or lc 2020 ). 3.7k views • 6 years ago. Everything you need to study for leaving cert maths. Practice multiple. Induction Maths Leaving Cert.
From www.youtube.com
Proof by induction Inequality example 2 Leaving Cert Higher Level Maths Induction Maths Leaving Cert Practice multiple choice questions, see explanations for. Fun and easy induction (proof) quizzes based on leaving cert mathematics past papers. Then you have the divisiblity proofs , which follow the same process. Find past exam questions listed by topic with worked solutions to questions,. Everything you need to study for leaving cert maths. This page contains resources supporting chapter 7.. Induction Maths Leaving Cert.
From www.youtube.com
Leaving Cert Maths Higher Level 2021 Paper 1 Question 9 (Solution Induction Maths Leaving Cert There are a few standard proof by induction questions ( see lc 2014 or lc 2020 ). Fun and easy induction (proof) quizzes based on leaving cert mathematics past papers. 3.7k views • 6 years ago. Inequalities, modulus, proofs, exponential equations & functions and logs. Leaving certificate examination 2021 mathematics paper 1 higher level question 4a Find past exam questions. Induction Maths Leaving Cert.
From www.youtube.com
Proof by induction Inequality example 1 Leaving Cert Higher Level Maths Induction Maths Leaving Cert This page contains resources supporting chapter 7. Fun and easy induction (proof) quizzes based on leaving cert mathematics past papers. Part of engineers ireland's series of leaving cert higher level maths tutorials. Find past exam questions listed by topic with worked solutions to questions,. 3.7k views • 6 years ago. Everything you need to study for leaving cert maths. Practice. Induction Maths Leaving Cert.
From iitutor.com
Leaving Certificate Mathematics Higher Level Induction Maths Leaving Cert Fun and easy induction (proof) quizzes based on leaving cert mathematics past papers. 3.7k views • 6 years ago. This page contains resources supporting chapter 7. Leaving certificate examination 2021 mathematics paper 1 higher level question 4a Part of engineers ireland's series of leaving cert higher level maths tutorials. Practice multiple choice questions, see explanations for. Then you have the. Induction Maths Leaving Cert.
From www.breakthroughmaths.ie
Leaving Cert Maths Higher Level & Ordinary Level Breakthrough Maths Induction Maths Leaving Cert On the leaving cert course, the most popular algebra proof is proof by induction. Part of engineers ireland's series of leaving cert higher level maths tutorials. Then you have the divisiblity proofs , which follow the same process. Inequalities, modulus, proofs, exponential equations & functions and logs. There are a few standard proof by induction questions ( see lc 2014. Induction Maths Leaving Cert.