Aluminum Hydroxide Ksp . 176 rows for ionic compounds with limited solubility in water, an equilibrium constant, k sp , can be defined from the ion concentration in. 176 rows the value of the solubility constant depends only on temperature for a given salt. explains how to use the ksp value for aluminum hydroxide to determine the. solubility product constants near 25 °c. the equilibrium constant for a dissolution reaction, called the solubility product (ksp), is a measure of the solubility of a compound. Ionic compound formula k sp. The k sp values are indicators of the. 69 rows table of solubility product constants (k sp at 25 o c). Whereas solubility is usually expressed in terms of mass of. aluminium hydroxide tends to form gelatinous precipitate that easily adsorbs various ions (this property is actually utilized in waste water.
from slideplayer.com
the equilibrium constant for a dissolution reaction, called the solubility product (ksp), is a measure of the solubility of a compound. aluminium hydroxide tends to form gelatinous precipitate that easily adsorbs various ions (this property is actually utilized in waste water. 176 rows for ionic compounds with limited solubility in water, an equilibrium constant, k sp , can be defined from the ion concentration in. 69 rows table of solubility product constants (k sp at 25 o c). explains how to use the ksp value for aluminum hydroxide to determine the. solubility product constants near 25 °c. The k sp values are indicators of the. Ionic compound formula k sp. Whereas solubility is usually expressed in terms of mass of. 176 rows the value of the solubility constant depends only on temperature for a given salt.
Equilibrium Calculations ppt download
Aluminum Hydroxide Ksp 69 rows table of solubility product constants (k sp at 25 o c). solubility product constants near 25 °c. explains how to use the ksp value for aluminum hydroxide to determine the. 176 rows for ionic compounds with limited solubility in water, an equilibrium constant, k sp , can be defined from the ion concentration in. Whereas solubility is usually expressed in terms of mass of. 69 rows table of solubility product constants (k sp at 25 o c). aluminium hydroxide tends to form gelatinous precipitate that easily adsorbs various ions (this property is actually utilized in waste water. Ionic compound formula k sp. 176 rows the value of the solubility constant depends only on temperature for a given salt. the equilibrium constant for a dissolution reaction, called the solubility product (ksp), is a measure of the solubility of a compound. The k sp values are indicators of the.
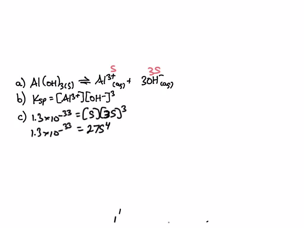
From www.numerade.com
SOLVED The solubility of solid aluminum hydroxide (Al(OH)3) at 25°C Aluminum Hydroxide Ksp 69 rows table of solubility product constants (k sp at 25 o c). the equilibrium constant for a dissolution reaction, called the solubility product (ksp), is a measure of the solubility of a compound. 176 rows the value of the solubility constant depends only on temperature for a given salt. Whereas solubility is usually expressed in terms. Aluminum Hydroxide Ksp.
From www.chegg.com
Solved 3. Aluminum hydroxide is insoluble in water (Kap Aluminum Hydroxide Ksp 69 rows table of solubility product constants (k sp at 25 o c). 176 rows for ionic compounds with limited solubility in water, an equilibrium constant, k sp , can be defined from the ion concentration in. aluminium hydroxide tends to form gelatinous precipitate that easily adsorbs various ions (this property is actually utilized in waste water.. Aluminum Hydroxide Ksp.
From www.slideserve.com
PPT Chapter 19 PowerPoint Presentation, free download ID4347161 Aluminum Hydroxide Ksp 69 rows table of solubility product constants (k sp at 25 o c). aluminium hydroxide tends to form gelatinous precipitate that easily adsorbs various ions (this property is actually utilized in waste water. Ionic compound formula k sp. 176 rows for ionic compounds with limited solubility in water, an equilibrium constant, k sp , can be defined. Aluminum Hydroxide Ksp.
From www.toxby.design
Aluminium hydroxide Tox by Design Aluminum Hydroxide Ksp the equilibrium constant for a dissolution reaction, called the solubility product (ksp), is a measure of the solubility of a compound. explains how to use the ksp value for aluminum hydroxide to determine the. solubility product constants near 25 °c. aluminium hydroxide tends to form gelatinous precipitate that easily adsorbs various ions (this property is actually. Aluminum Hydroxide Ksp.
From www.chegg.com
Solved The Ksp can be used to find the concentration of Aluminum Hydroxide Ksp 69 rows table of solubility product constants (k sp at 25 o c). 176 rows the value of the solubility constant depends only on temperature for a given salt. 176 rows for ionic compounds with limited solubility in water, an equilibrium constant, k sp , can be defined from the ion concentration in. Whereas solubility is usually. Aluminum Hydroxide Ksp.
From www.museoinclusivo.com
What is the Formula for Aluminum Hydroxide? Exploring its Components Aluminum Hydroxide Ksp Whereas solubility is usually expressed in terms of mass of. 176 rows the value of the solubility constant depends only on temperature for a given salt. the equilibrium constant for a dissolution reaction, called the solubility product (ksp), is a measure of the solubility of a compound. solubility product constants near 25 °c. 69 rows table. Aluminum Hydroxide Ksp.
From mavink.com
Metal Solubility Chart Aluminum Hydroxide Ksp solubility product constants near 25 °c. Whereas solubility is usually expressed in terms of mass of. Ionic compound formula k sp. The k sp values are indicators of the. explains how to use the ksp value for aluminum hydroxide to determine the. 69 rows table of solubility product constants (k sp at 25 o c). the. Aluminum Hydroxide Ksp.
From www.wikidoc.org
Aluminium hydroxide wikidoc Aluminum Hydroxide Ksp 69 rows table of solubility product constants (k sp at 25 o c). the equilibrium constant for a dissolution reaction, called the solubility product (ksp), is a measure of the solubility of a compound. 176 rows the value of the solubility constant depends only on temperature for a given salt. Ionic compound formula k sp. solubility. Aluminum Hydroxide Ksp.
From www.numerade.com
SOLVEDSparingly soluble aluminum hydroxide dissolves in water to yield Aluminum Hydroxide Ksp explains how to use the ksp value for aluminum hydroxide to determine the. 176 rows the value of the solubility constant depends only on temperature for a given salt. the equilibrium constant for a dissolution reaction, called the solubility product (ksp), is a measure of the solubility of a compound. Ionic compound formula k sp. solubility. Aluminum Hydroxide Ksp.
From www.numerade.com
SOLVED Calculate Kc for the aluminum tetrahydroxide ion created from a Aluminum Hydroxide Ksp aluminium hydroxide tends to form gelatinous precipitate that easily adsorbs various ions (this property is actually utilized in waste water. explains how to use the ksp value for aluminum hydroxide to determine the. 69 rows table of solubility product constants (k sp at 25 o c). Whereas solubility is usually expressed in terms of mass of. . Aluminum Hydroxide Ksp.
From www.youtube.com
How to Make Aluminum Hydroxide Al(OH)3 YouTube Aluminum Hydroxide Ksp The k sp values are indicators of the. aluminium hydroxide tends to form gelatinous precipitate that easily adsorbs various ions (this property is actually utilized in waste water. 69 rows table of solubility product constants (k sp at 25 o c). 176 rows for ionic compounds with limited solubility in water, an equilibrium constant, k sp ,. Aluminum Hydroxide Ksp.
From slideplayer.com
Equilibrium Calculations ppt download Aluminum Hydroxide Ksp aluminium hydroxide tends to form gelatinous precipitate that easily adsorbs various ions (this property is actually utilized in waste water. 176 rows the value of the solubility constant depends only on temperature for a given salt. 176 rows for ionic compounds with limited solubility in water, an equilibrium constant, k sp , can be defined from the. Aluminum Hydroxide Ksp.
From www.researchgate.net
SEM images of synthesized aluminum hydroxide sample a(aluminum Aluminum Hydroxide Ksp Ionic compound formula k sp. aluminium hydroxide tends to form gelatinous precipitate that easily adsorbs various ions (this property is actually utilized in waste water. solubility product constants near 25 °c. 176 rows for ionic compounds with limited solubility in water, an equilibrium constant, k sp , can be defined from the ion concentration in. 176. Aluminum Hydroxide Ksp.
From www.scribd.com
Aluminium Hydroxide Occurrence PDF Hydroxide Aluminium Oxide Aluminum Hydroxide Ksp solubility product constants near 25 °c. The k sp values are indicators of the. Whereas solubility is usually expressed in terms of mass of. explains how to use the ksp value for aluminum hydroxide to determine the. 176 rows for ionic compounds with limited solubility in water, an equilibrium constant, k sp , can be defined from. Aluminum Hydroxide Ksp.
From aluminumhydroxidesaidan.blogspot.com
Aluminum Hydroxide Aluminum Hydroxide Ksp Aluminum Hydroxide Ksp aluminium hydroxide tends to form gelatinous precipitate that easily adsorbs various ions (this property is actually utilized in waste water. 69 rows table of solubility product constants (k sp at 25 o c). explains how to use the ksp value for aluminum hydroxide to determine the. The k sp values are indicators of the. Ionic compound formula. Aluminum Hydroxide Ksp.
From www.studocu.com
Aluminium hydroxide Lecture notes 1 Molecular formula. Al(OH) 3 Aluminum Hydroxide Ksp aluminium hydroxide tends to form gelatinous precipitate that easily adsorbs various ions (this property is actually utilized in waste water. 176 rows the value of the solubility constant depends only on temperature for a given salt. explains how to use the ksp value for aluminum hydroxide to determine the. Whereas solubility is usually expressed in terms of. Aluminum Hydroxide Ksp.
From www.youtube.com
Calculating the Solubility of Aluminum Hydroxide Test Boost for AP Aluminum Hydroxide Ksp 176 rows for ionic compounds with limited solubility in water, an equilibrium constant, k sp , can be defined from the ion concentration in. solubility product constants near 25 °c. the equilibrium constant for a dissolution reaction, called the solubility product (ksp), is a measure of the solubility of a compound. Ionic compound formula k sp. . Aluminum Hydroxide Ksp.
From www.chegg.com
Solved Question 2 (2 points) What is the solubility (in Aluminum Hydroxide Ksp 176 rows the value of the solubility constant depends only on temperature for a given salt. 69 rows table of solubility product constants (k sp at 25 o c). The k sp values are indicators of the. aluminium hydroxide tends to form gelatinous precipitate that easily adsorbs various ions (this property is actually utilized in waste water.. Aluminum Hydroxide Ksp.
From www.numerade.com
SOLVED The Ksp can be used to find the concentration of hydroxide ions Aluminum Hydroxide Ksp Whereas solubility is usually expressed in terms of mass of. 176 rows for ionic compounds with limited solubility in water, an equilibrium constant, k sp , can be defined from the ion concentration in. 69 rows table of solubility product constants (k sp at 25 o c). the equilibrium constant for a dissolution reaction, called the solubility. Aluminum Hydroxide Ksp.
From www.numerade.com
SOLVEDCalculate the solubility of aluminum hydroxide in a pH 10(aq Aluminum Hydroxide Ksp the equilibrium constant for a dissolution reaction, called the solubility product (ksp), is a measure of the solubility of a compound. explains how to use the ksp value for aluminum hydroxide to determine the. 69 rows table of solubility product constants (k sp at 25 o c). solubility product constants near 25 °c. aluminium hydroxide. Aluminum Hydroxide Ksp.
From www.researchgate.net
Example aluminium hydroxide and hydroxyaluminosilicate structures Aluminum Hydroxide Ksp aluminium hydroxide tends to form gelatinous precipitate that easily adsorbs various ions (this property is actually utilized in waste water. 69 rows table of solubility product constants (k sp at 25 o c). solubility product constants near 25 °c. Ionic compound formula k sp. 176 rows for ionic compounds with limited solubility in water, an equilibrium. Aluminum Hydroxide Ksp.
From www.museoinclusivo.com
Exploring the Solubility of Aluminum Hydroxide An Indepth Look Aluminum Hydroxide Ksp aluminium hydroxide tends to form gelatinous precipitate that easily adsorbs various ions (this property is actually utilized in waste water. 69 rows table of solubility product constants (k sp at 25 o c). 176 rows the value of the solubility constant depends only on temperature for a given salt. 176 rows for ionic compounds with limited. Aluminum Hydroxide Ksp.
From www.coursehero.com
[Solved] Calculating the Ksp of Aluminum Hydroxide Name(s) Robert Aluminum Hydroxide Ksp 69 rows table of solubility product constants (k sp at 25 o c). aluminium hydroxide tends to form gelatinous precipitate that easily adsorbs various ions (this property is actually utilized in waste water. Whereas solubility is usually expressed in terms of mass of. the equilibrium constant for a dissolution reaction, called the solubility product (ksp), is a. Aluminum Hydroxide Ksp.
From aotaixincailiao.en.made-in-china.com
Aluminum Hydroxide Used Artificial Marble Surfaces China Aluminum Aluminum Hydroxide Ksp 69 rows table of solubility product constants (k sp at 25 o c). solubility product constants near 25 °c. explains how to use the ksp value for aluminum hydroxide to determine the. the equilibrium constant for a dissolution reaction, called the solubility product (ksp), is a measure of the solubility of a compound. 176 rows. Aluminum Hydroxide Ksp.
From www.chegg.com
Solved 2. Write the Ksp expression for aluminum hydroxide Aluminum Hydroxide Ksp 176 rows the value of the solubility constant depends only on temperature for a given salt. The k sp values are indicators of the. Ionic compound formula k sp. 69 rows table of solubility product constants (k sp at 25 o c). Whereas solubility is usually expressed in terms of mass of. explains how to use the. Aluminum Hydroxide Ksp.
From www.chegg.com
Solved a) Demonstrate/explain which compound is more soluble Aluminum Hydroxide Ksp explains how to use the ksp value for aluminum hydroxide to determine the. solubility product constants near 25 °c. 69 rows table of solubility product constants (k sp at 25 o c). Ionic compound formula k sp. 176 rows for ionic compounds with limited solubility in water, an equilibrium constant, k sp , can be defined. Aluminum Hydroxide Ksp.
From www.chegg.com
Solved Question 10 0 / 5 pts Calculate the solubility in g/L Aluminum Hydroxide Ksp 176 rows the value of the solubility constant depends only on temperature for a given salt. explains how to use the ksp value for aluminum hydroxide to determine the. 176 rows for ionic compounds with limited solubility in water, an equilibrium constant, k sp , can be defined from the ion concentration in. 69 rows table. Aluminum Hydroxide Ksp.
From testbook.com
Aluminium Hydroxide Learn structure, preparation, properties Aluminum Hydroxide Ksp the equilibrium constant for a dissolution reaction, called the solubility product (ksp), is a measure of the solubility of a compound. aluminium hydroxide tends to form gelatinous precipitate that easily adsorbs various ions (this property is actually utilized in waste water. 176 rows the value of the solubility constant depends only on temperature for a given salt.. Aluminum Hydroxide Ksp.
From brunofuga.adv.br
Calculate The Solubility Of Al(OH) If Its Ksp Is 10^33, 40 OFF Aluminum Hydroxide Ksp solubility product constants near 25 °c. Whereas solubility is usually expressed in terms of mass of. aluminium hydroxide tends to form gelatinous precipitate that easily adsorbs various ions (this property is actually utilized in waste water. Ionic compound formula k sp. 176 rows for ionic compounds with limited solubility in water, an equilibrium constant, k sp ,. Aluminum Hydroxide Ksp.
From achs-prod.acs.org
Formation of Aluminum HydroxideDoped Surface Passivating Layers on Aluminum Hydroxide Ksp aluminium hydroxide tends to form gelatinous precipitate that easily adsorbs various ions (this property is actually utilized in waste water. The k sp values are indicators of the. Whereas solubility is usually expressed in terms of mass of. the equilibrium constant for a dissolution reaction, called the solubility product (ksp), is a measure of the solubility of a. Aluminum Hydroxide Ksp.
From www.semanticscholar.org
Aluminum Hydroxide Semantic Scholar Aluminum Hydroxide Ksp 69 rows table of solubility product constants (k sp at 25 o c). 176 rows for ionic compounds with limited solubility in water, an equilibrium constant, k sp , can be defined from the ion concentration in. The k sp values are indicators of the. the equilibrium constant for a dissolution reaction, called the solubility product (ksp),. Aluminum Hydroxide Ksp.
From www.numerade.com
SOLVED The Ksp can be used to find the concentration of hydroxide ions Aluminum Hydroxide Ksp aluminium hydroxide tends to form gelatinous precipitate that easily adsorbs various ions (this property is actually utilized in waste water. explains how to use the ksp value for aluminum hydroxide to determine the. solubility product constants near 25 °c. 69 rows table of solubility product constants (k sp at 25 o c). 176 rows the. Aluminum Hydroxide Ksp.
From www.youtube.com
Aluminum Hydroxide Precipitation YouTube Aluminum Hydroxide Ksp Whereas solubility is usually expressed in terms of mass of. 176 rows the value of the solubility constant depends only on temperature for a given salt. explains how to use the ksp value for aluminum hydroxide to determine the. solubility product constants near 25 °c. Ionic compound formula k sp. The k sp values are indicators of. Aluminum Hydroxide Ksp.
From www.medchemexpress.com
Aluminum Hydroxide Antacid Aegnt MedChemExpress Aluminum Hydroxide Ksp 176 rows for ionic compounds with limited solubility in water, an equilibrium constant, k sp , can be defined from the ion concentration in. Ionic compound formula k sp. 69 rows table of solubility product constants (k sp at 25 o c). explains how to use the ksp value for aluminum hydroxide to determine the. 176. Aluminum Hydroxide Ksp.
From aluminumhydroxidesaidan.blogspot.com
Aluminum Hydroxide Aluminum Hydroxide Solubility In Water Aluminum Hydroxide Ksp 176 rows for ionic compounds with limited solubility in water, an equilibrium constant, k sp , can be defined from the ion concentration in. aluminium hydroxide tends to form gelatinous precipitate that easily adsorbs various ions (this property is actually utilized in waste water. solubility product constants near 25 °c. the equilibrium constant for a dissolution. Aluminum Hydroxide Ksp.