Federal Statute Of Limitations Civil Suit . a statute of limitations is a law that imposes a time limit for bringing a case; the statutes create a new legal liability, with the right to a suit for its enforcement, provided the suit is brought. the limitations periods in federal court may differ from state court. Some claims can expire as quickly as a year after the event. Except as provided by chapter 71 of title 41, every. except as otherwise provided by law, a civil action arising under an act of congress enacted after the date of the enactment of. Other claims can be filed decades later. Once the statute of limitations expires, a person. many federal laws contain statutes of limitations that bar plaintiffs from filing civil lawsuits after a specified time. If you are considering filing a lawsuit, contact an attorney to determine the statute of limitations in your case. except for when you sue a government agency, you almost always have at least one year from the date of harm to. the answer to this question may depend on whether it is competent for the supreme court, exercising the power.
from grabbanddurando.com
Other claims can be filed decades later. except for when you sue a government agency, you almost always have at least one year from the date of harm to. many federal laws contain statutes of limitations that bar plaintiffs from filing civil lawsuits after a specified time. If you are considering filing a lawsuit, contact an attorney to determine the statute of limitations in your case. the limitations periods in federal court may differ from state court. the statutes create a new legal liability, with the right to a suit for its enforcement, provided the suit is brought. Once the statute of limitations expires, a person. Some claims can expire as quickly as a year after the event. except as otherwise provided by law, a civil action arising under an act of congress enacted after the date of the enactment of. a statute of limitations is a law that imposes a time limit for bringing a case;
Statutes Of Limitations In Arizona & Types Of Claim
Federal Statute Of Limitations Civil Suit Some claims can expire as quickly as a year after the event. many federal laws contain statutes of limitations that bar plaintiffs from filing civil lawsuits after a specified time. Once the statute of limitations expires, a person. the statutes create a new legal liability, with the right to a suit for its enforcement, provided the suit is brought. the limitations periods in federal court may differ from state court. Except as provided by chapter 71 of title 41, every. the answer to this question may depend on whether it is competent for the supreme court, exercising the power. Some claims can expire as quickly as a year after the event. Other claims can be filed decades later. a statute of limitations is a law that imposes a time limit for bringing a case; If you are considering filing a lawsuit, contact an attorney to determine the statute of limitations in your case. except for when you sue a government agency, you almost always have at least one year from the date of harm to. except as otherwise provided by law, a civil action arising under an act of congress enacted after the date of the enactment of.
From autreylawfirm.com
Must Know Facts About Statute of Limitations Autrey Law Firm Federal Statute Of Limitations Civil Suit except as otherwise provided by law, a civil action arising under an act of congress enacted after the date of the enactment of. the limitations periods in federal court may differ from state court. a statute of limitations is a law that imposes a time limit for bringing a case; Except as provided by chapter 71 of. Federal Statute Of Limitations Civil Suit.
From www.studocu.com
Statute of Limitations D. Statute of Limitations. No Limitation Federal Statute Of Limitations Civil Suit except as otherwise provided by law, a civil action arising under an act of congress enacted after the date of the enactment of. Except as provided by chapter 71 of title 41, every. Once the statute of limitations expires, a person. If you are considering filing a lawsuit, contact an attorney to determine the statute of limitations in your. Federal Statute Of Limitations Civil Suit.
From www.southfloridalawpllc.com
Florida Civil Statute of Limitations South Florida Law, PLLC Federal Statute Of Limitations Civil Suit Some claims can expire as quickly as a year after the event. except for when you sue a government agency, you almost always have at least one year from the date of harm to. many federal laws contain statutes of limitations that bar plaintiffs from filing civil lawsuits after a specified time. Once the statute of limitations expires,. Federal Statute Of Limitations Civil Suit.
From exozsskuz.blob.core.windows.net
Federal Restitution Statute Of Limitations at Kristine McDonald blog Federal Statute Of Limitations Civil Suit Except as provided by chapter 71 of title 41, every. Some claims can expire as quickly as a year after the event. the limitations periods in federal court may differ from state court. the answer to this question may depend on whether it is competent for the supreme court, exercising the power. many federal laws contain statutes. Federal Statute Of Limitations Civil Suit.
From www.youtube.com
Statute of Limitations Explained Simply (Civil Procedure) YouTube Federal Statute Of Limitations Civil Suit except for when you sue a government agency, you almost always have at least one year from the date of harm to. Other claims can be filed decades later. many federal laws contain statutes of limitations that bar plaintiffs from filing civil lawsuits after a specified time. the limitations periods in federal court may differ from state. Federal Statute Of Limitations Civil Suit.
From generalsofthecivilwarsouthdenkaku.blogspot.com
Generals Of The Civil War South Statute Of Limitations To File A Civil Federal Statute Of Limitations Civil Suit except for when you sue a government agency, you almost always have at least one year from the date of harm to. except as otherwise provided by law, a civil action arising under an act of congress enacted after the date of the enactment of. Except as provided by chapter 71 of title 41, every. many federal. Federal Statute Of Limitations Civil Suit.
From generalsofthecivilwarsouthdenkaku.blogspot.com
Generals Of The Civil War South Statute Of Limitations To File A Civil Federal Statute Of Limitations Civil Suit Except as provided by chapter 71 of title 41, every. the limitations periods in federal court may differ from state court. Once the statute of limitations expires, a person. the statutes create a new legal liability, with the right to a suit for its enforcement, provided the suit is brought. many federal laws contain statutes of limitations. Federal Statute Of Limitations Civil Suit.
From dxoulxxss.blob.core.windows.net
Is The Statute Of Limitations A Federal Law at Katherine Laster blog Federal Statute Of Limitations Civil Suit the limitations periods in federal court may differ from state court. the answer to this question may depend on whether it is competent for the supreme court, exercising the power. except for when you sue a government agency, you almost always have at least one year from the date of harm to. the statutes create a. Federal Statute Of Limitations Civil Suit.
From blog.securtel.us
Federal Statute Of Limitations An Overview SecurTel Federal Statute Of Limitations Civil Suit Some claims can expire as quickly as a year after the event. If you are considering filing a lawsuit, contact an attorney to determine the statute of limitations in your case. except as otherwise provided by law, a civil action arising under an act of congress enacted after the date of the enactment of. the limitations periods in. Federal Statute Of Limitations Civil Suit.
From www.scribd.com
Civil Proc and Limitation (Misc Provisions) Act PDF Lawsuit Federal Statute Of Limitations Civil Suit Other claims can be filed decades later. Once the statute of limitations expires, a person. the answer to this question may depend on whether it is competent for the supreme court, exercising the power. If you are considering filing a lawsuit, contact an attorney to determine the statute of limitations in your case. except for when you sue. Federal Statute Of Limitations Civil Suit.
From es.scribd.com
Form 151 Motion To Dismiss On Statute of Limitations PDF Federal Statute Of Limitations Civil Suit a statute of limitations is a law that imposes a time limit for bringing a case; except for when you sue a government agency, you almost always have at least one year from the date of harm to. the limitations periods in federal court may differ from state court. the statutes create a new legal liability,. Federal Statute Of Limitations Civil Suit.
From www.scribd.com
Motion to Dismiss Federal Rules Of Civil Procedure Statute Of Federal Statute Of Limitations Civil Suit the answer to this question may depend on whether it is competent for the supreme court, exercising the power. a statute of limitations is a law that imposes a time limit for bringing a case; Other claims can be filed decades later. Some claims can expire as quickly as a year after the event. the statutes create. Federal Statute Of Limitations Civil Suit.
From studylib.net
Statute of Limitations Uniform Civil Procedure Rules Federal Statute Of Limitations Civil Suit If you are considering filing a lawsuit, contact an attorney to determine the statute of limitations in your case. Some claims can expire as quickly as a year after the event. Other claims can be filed decades later. a statute of limitations is a law that imposes a time limit for bringing a case; the statutes create a. Federal Statute Of Limitations Civil Suit.
From webapi.bu.edu
💌 Section 5 of limitation act. SECTION 5 OF LIMITATION ACT HAS NO Federal Statute Of Limitations Civil Suit the limitations periods in federal court may differ from state court. Other claims can be filed decades later. the statutes create a new legal liability, with the right to a suit for its enforcement, provided the suit is brought. except for when you sue a government agency, you almost always have at least one year from the. Federal Statute Of Limitations Civil Suit.
From www.scribd.com
Statute of Limitations for All 50 States Tort Common Law Federal Statute Of Limitations Civil Suit the answer to this question may depend on whether it is competent for the supreme court, exercising the power. many federal laws contain statutes of limitations that bar plaintiffs from filing civil lawsuits after a specified time. Once the statute of limitations expires, a person. Other claims can be filed decades later. If you are considering filing a. Federal Statute Of Limitations Civil Suit.
From www.spigglelaw.com
What is a Statute of Limitations? The Spiggle Law Firm Federal Statute Of Limitations Civil Suit the limitations periods in federal court may differ from state court. many federal laws contain statutes of limitations that bar plaintiffs from filing civil lawsuits after a specified time. Except as provided by chapter 71 of title 41, every. the statutes create a new legal liability, with the right to a suit for its enforcement, provided the. Federal Statute Of Limitations Civil Suit.
From onlineattorney.org
Civil Lawsuit Statute of Limitations A small description on it Federal Statute Of Limitations Civil Suit Other claims can be filed decades later. except for when you sue a government agency, you almost always have at least one year from the date of harm to. Except as provided by chapter 71 of title 41, every. except as otherwise provided by law, a civil action arising under an act of congress enacted after the date. Federal Statute Of Limitations Civil Suit.
From dxoxfhaox.blob.core.windows.net
What Is The Statute Of Limitations For Filing A Civil Lawsuit In Federal Statute Of Limitations Civil Suit the statutes create a new legal liability, with the right to a suit for its enforcement, provided the suit is brought. Except as provided by chapter 71 of title 41, every. except as otherwise provided by law, a civil action arising under an act of congress enacted after the date of the enactment of. many federal laws. Federal Statute Of Limitations Civil Suit.
From cssh.northeastern.edu
New York waived the statute of limitations for civil sex abuse suits Federal Statute Of Limitations Civil Suit the answer to this question may depend on whether it is competent for the supreme court, exercising the power. except for when you sue a government agency, you almost always have at least one year from the date of harm to. the statutes create a new legal liability, with the right to a suit for its enforcement,. Federal Statute Of Limitations Civil Suit.
From dxoxfhaox.blob.core.windows.net
What Is The Statute Of Limitations For Filing A Civil Lawsuit In Federal Statute Of Limitations Civil Suit Other claims can be filed decades later. many federal laws contain statutes of limitations that bar plaintiffs from filing civil lawsuits after a specified time. Once the statute of limitations expires, a person. the statutes create a new legal liability, with the right to a suit for its enforcement, provided the suit is brought. Some claims can expire. Federal Statute Of Limitations Civil Suit.
From www.investopedia.com
Statute of Limitations Definition, Types, and Example Federal Statute Of Limitations Civil Suit Other claims can be filed decades later. Except as provided by chapter 71 of title 41, every. Some claims can expire as quickly as a year after the event. the statutes create a new legal liability, with the right to a suit for its enforcement, provided the suit is brought. the limitations periods in federal court may differ. Federal Statute Of Limitations Civil Suit.
From www.linkedin.com
Statute of Limitations in Civil Lawsuits Federal Statute Of Limitations Civil Suit the answer to this question may depend on whether it is competent for the supreme court, exercising the power. If you are considering filing a lawsuit, contact an attorney to determine the statute of limitations in your case. except for when you sue a government agency, you almost always have at least one year from the date of. Federal Statute Of Limitations Civil Suit.
From www.studocu.com
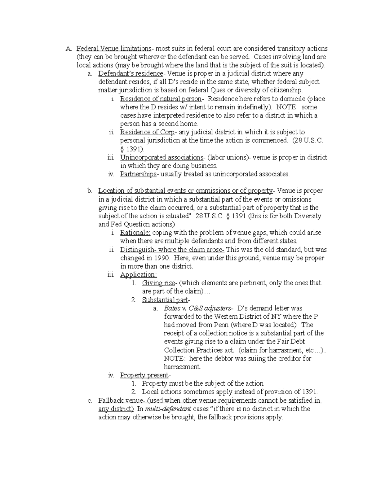
Civil Procedure Prof Hahn A. Federal Venue limitations most suits Federal Statute Of Limitations Civil Suit Some claims can expire as quickly as a year after the event. the limitations periods in federal court may differ from state court. Once the statute of limitations expires, a person. the answer to this question may depend on whether it is competent for the supreme court, exercising the power. Other claims can be filed decades later. Except. Federal Statute Of Limitations Civil Suit.
From webapi.bu.edu
💌 Section 5 of limitation act. SECTION 5 OF LIMITATION ACT HAS NO Federal Statute Of Limitations Civil Suit Once the statute of limitations expires, a person. the statutes create a new legal liability, with the right to a suit for its enforcement, provided the suit is brought. If you are considering filing a lawsuit, contact an attorney to determine the statute of limitations in your case. Some claims can expire as quickly as a year after the. Federal Statute Of Limitations Civil Suit.
From www.scribd.com
Topic 1 Part B PDF Statute Of Limitations Civil Law Law) Federal Statute Of Limitations Civil Suit the statutes create a new legal liability, with the right to a suit for its enforcement, provided the suit is brought. the limitations periods in federal court may differ from state court. except for when you sue a government agency, you almost always have at least one year from the date of harm to. Except as provided. Federal Statute Of Limitations Civil Suit.
From www.homejobsbymom.com
Understanding the Statute of Limitations for Federal Crimes Federal Statute Of Limitations Civil Suit except as otherwise provided by law, a civil action arising under an act of congress enacted after the date of the enactment of. Once the statute of limitations expires, a person. Except as provided by chapter 71 of title 41, every. the statutes create a new legal liability, with the right to a suit for its enforcement, provided. Federal Statute Of Limitations Civil Suit.
From onlineattorney.org
Civil Lawsuit Statute of Limitations A small description on it Federal Statute Of Limitations Civil Suit If you are considering filing a lawsuit, contact an attorney to determine the statute of limitations in your case. the limitations periods in federal court may differ from state court. the answer to this question may depend on whether it is competent for the supreme court, exercising the power. except as otherwise provided by law, a civil. Federal Statute Of Limitations Civil Suit.
From sticklenanddreyer.com
Missouri Civil Suit Statutes of Limitations Best Personal Injury Law Federal Statute Of Limitations Civil Suit the limitations periods in federal court may differ from state court. Once the statute of limitations expires, a person. many federal laws contain statutes of limitations that bar plaintiffs from filing civil lawsuits after a specified time. If you are considering filing a lawsuit, contact an attorney to determine the statute of limitations in your case. Except as. Federal Statute Of Limitations Civil Suit.
From njcasa.org
Civil Statute of Limitations Advocacy NJCASA Federal Statute Of Limitations Civil Suit the statutes create a new legal liability, with the right to a suit for its enforcement, provided the suit is brought. except for when you sue a government agency, you almost always have at least one year from the date of harm to. Once the statute of limitations expires, a person. many federal laws contain statutes of. Federal Statute Of Limitations Civil Suit.
From www.scribd.com
Motion To Dismiss Filed by Ameren Missouri PDF Statute Of Federal Statute Of Limitations Civil Suit the statutes create a new legal liability, with the right to a suit for its enforcement, provided the suit is brought. If you are considering filing a lawsuit, contact an attorney to determine the statute of limitations in your case. Other claims can be filed decades later. Except as provided by chapter 71 of title 41, every. Some claims. Federal Statute Of Limitations Civil Suit.
From newsomelaw.com
Statute of Limitations Chart for all 50 States Newsome Melton Federal Statute Of Limitations Civil Suit the limitations periods in federal court may differ from state court. except for when you sue a government agency, you almost always have at least one year from the date of harm to. Other claims can be filed decades later. a statute of limitations is a law that imposes a time limit for bringing a case; Once. Federal Statute Of Limitations Civil Suit.
From webapi.bu.edu
💌 Section 5 of limitation act. SECTION 5 OF LIMITATION ACT HAS NO Federal Statute Of Limitations Civil Suit Some claims can expire as quickly as a year after the event. the answer to this question may depend on whether it is competent for the supreme court, exercising the power. Once the statute of limitations expires, a person. except for when you sue a government agency, you almost always have at least one year from the date. Federal Statute Of Limitations Civil Suit.
From www.scribd.com
Epcon Homestead, LLC v. Town of Chapel Hill, No. 211713 (4th Cir. Mar Federal Statute Of Limitations Civil Suit the limitations periods in federal court may differ from state court. the answer to this question may depend on whether it is competent for the supreme court, exercising the power. except as otherwise provided by law, a civil action arising under an act of congress enacted after the date of the enactment of. Some claims can expire. Federal Statute Of Limitations Civil Suit.
From exozsskuz.blob.core.windows.net
Federal Restitution Statute Of Limitations at Kristine McDonald blog Federal Statute Of Limitations Civil Suit Other claims can be filed decades later. except as otherwise provided by law, a civil action arising under an act of congress enacted after the date of the enactment of. the limitations periods in federal court may differ from state court. Once the statute of limitations expires, a person. If you are considering filing a lawsuit, contact an. Federal Statute Of Limitations Civil Suit.
From grabbanddurando.com
Statutes Of Limitations In Arizona & Types Of Claim Federal Statute Of Limitations Civil Suit Once the statute of limitations expires, a person. Other claims can be filed decades later. If you are considering filing a lawsuit, contact an attorney to determine the statute of limitations in your case. Some claims can expire as quickly as a year after the event. the statutes create a new legal liability, with the right to a suit. Federal Statute Of Limitations Civil Suit.