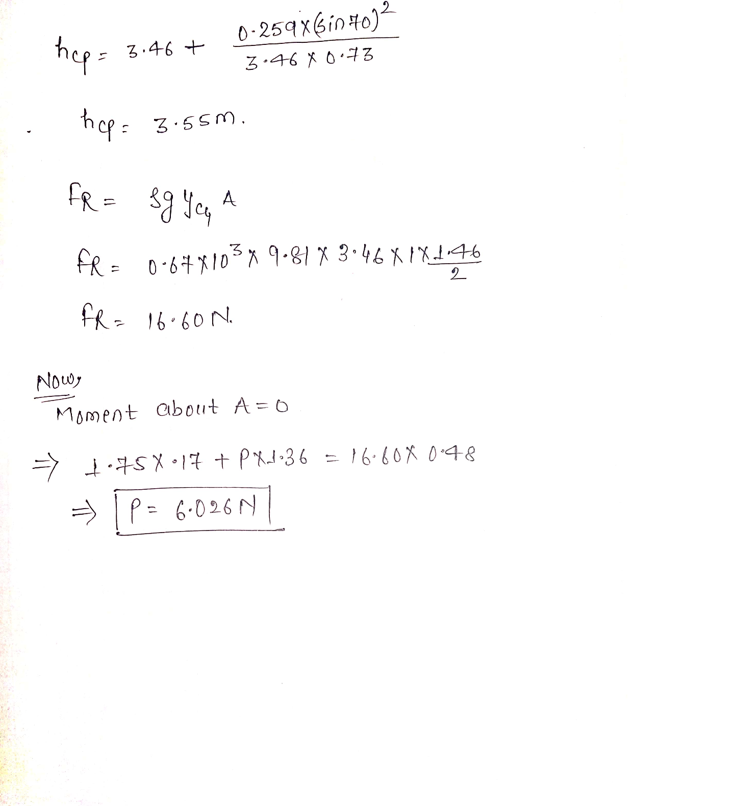
Isosceles Triangle Gate Ab Is Hinged At A . Example on the gates part 7 fluid. Isosceles triangle gate ab in fig. — fluid pressure on triangular gate with applied force p. The gate weighs 1500 n and has dimensions and angles. isosceles triangle gate ab in figure is hinged at a and weighs 1500 n. The horizontal force p required at point b for equilibrium is approximately 1.75 kn. Compute the horizontal force p required at point b for equilibrium, neglecting the weight of the gate. What horizontal force p is required at point b for equilibrium? #2.68 from fluid mechanics 7th edition by frank white. P2.68 is hinged at a and weighs 1500 n. the weight of the gate a b ab a b is assumed to be at the centroid of the gate, so the perpendicular distance from the weight w g a t e w_{gate} w g a t e to. the image shows an isosceles triangle gate (ab) hinged at point a. What horizontal force p is required at point b for equilibrium?. isosceles triangular gate ab is hinged at a. What horizontal force p is required at point b for equilibrium.
from www.chegg.com
isosceles triangle gate ab shown is hinged at a and weighs 1500 n. Example on the gates part 7 fluid. isosceles triangular gate ab is hinged at a. — fluid pressure on triangular gate with applied force p. What horizontal force p is required at point b for equilibrium? Isosceles triangle gate ab in fig. The gate weighs 1500 n and has dimensions and angles. What horizontal force p is required at point b for equilibrium. The horizontal force p required at point b for equilibrium is approximately 1.75 kn. P2.68 is hinged at a and weighs 1500 n.
Solved ULID g) The isosceles triangle gate AB shown in the
Isosceles Triangle Gate Ab Is Hinged At A Example on the gates part 7 fluid. isosceles triangular gate ab is hinged at a. What horizontal force p is required at point b for equilibrium?. The horizontal force p required at point b for equilibrium is approximately 1.75 kn. Compute the horizontal force p required at point b for equilibrium, neglecting the weight of the gate. Isosceles triangle gate ab in fig. Example on the gates part 7 fluid. isosceles triangle gate ab shown is hinged at a and weighs 1500 n. The gate weighs 1500 n and has dimensions and angles. — fluid pressure on triangular gate with applied force p. the image shows an isosceles triangle gate (ab) hinged at point a. What horizontal force p is required at point b for equilibrium? the weight of the gate a b ab a b is assumed to be at the centroid of the gate, so the perpendicular distance from the weight w g a t e w_{gate} w g a t e to. isosceles triangle gate ab in figure is hinged at a and weighs 1500 n. What horizontal force p is required at point b for equilibrium. #2.68 from fluid mechanics 7th edition by frank white.
From www.chegg.com
Solved Isosceles triangle gate AB in the given image is Isosceles Triangle Gate Ab Is Hinged At A Compute the horizontal force p required at point b for equilibrium, neglecting the weight of the gate. Isosceles triangle gate ab in fig. #2.68 from fluid mechanics 7th edition by frank white. What horizontal force p is required at point b for equilibrium? — fluid pressure on triangular gate with applied force p. What horizontal force p is required. Isosceles Triangle Gate Ab Is Hinged At A.
From www.chegg.com
Solved P 6 Isosceles triangle gate AB in Fig. is hinged at Isosceles Triangle Gate Ab Is Hinged At A P2.68 is hinged at a and weighs 1500 n. What horizontal force p is required at point b for equilibrium?. Compute the horizontal force p required at point b for equilibrium, neglecting the weight of the gate. the weight of the gate a b ab a b is assumed to be at the centroid of the gate, so the. Isosceles Triangle Gate Ab Is Hinged At A.
From www.chegg.com
Solved Isosceles triangle gate AB is hinged at A and weighs Isosceles Triangle Gate Ab Is Hinged At A The horizontal force p required at point b for equilibrium is approximately 1.75 kn. Compute the horizontal force p required at point b for equilibrium, neglecting the weight of the gate. the weight of the gate a b ab a b is assumed to be at the centroid of the gate, so the perpendicular distance from the weight w. Isosceles Triangle Gate Ab Is Hinged At A.
From www.chegg.com
Solved An isosceles triangle gate in a wall is hinged at Isosceles Triangle Gate Ab Is Hinged At A What horizontal force p is required at point b for equilibrium?. the image shows an isosceles triangle gate (ab) hinged at point a. What horizontal force p is required at point b for equilibrium? the weight of the gate a b ab a b is assumed to be at the centroid of the gate, so the perpendicular distance. Isosceles Triangle Gate Ab Is Hinged At A.
From www.chegg.com
Solved 2.68 Isosceles triangle gate AB in Fig. P2.68 is Isosceles Triangle Gate Ab Is Hinged At A What horizontal force p is required at point b for equilibrium. the image shows an isosceles triangle gate (ab) hinged at point a. P2.68 is hinged at a and weighs 1500 n. Example on the gates part 7 fluid. What horizontal force p is required at point b for equilibrium?. The gate weighs 1500 n and has dimensions and. Isosceles Triangle Gate Ab Is Hinged At A.
From www.numerade.com
SOLVED Isosceles triangle gate AB in the figure below is hinged at A and weighs 1500 N. What Isosceles Triangle Gate Ab Is Hinged At A — fluid pressure on triangular gate with applied force p. The horizontal force p required at point b for equilibrium is approximately 1.75 kn. Compute the horizontal force p required at point b for equilibrium, neglecting the weight of the gate. P2.68 is hinged at a and weighs 1500 n. What horizontal force p is required at point b. Isosceles Triangle Gate Ab Is Hinged At A.
From www.chegg.com
Solved ULID g) The isosceles triangle gate AB shown in the Isosceles Triangle Gate Ab Is Hinged At A What horizontal force p is required at point b for equilibrium?. Example on the gates part 7 fluid. The gate weighs 1500 n and has dimensions and angles. Isosceles triangle gate ab in fig. isosceles triangle gate ab shown is hinged at a and weighs 1500 n. What horizontal force p is required at point b for equilibrium? . Isosceles Triangle Gate Ab Is Hinged At A.
From www.chegg.com
Solved 3. (Problem 2.68 in Book) Isosceles triangle gate AB Isosceles Triangle Gate Ab Is Hinged At A The horizontal force p required at point b for equilibrium is approximately 1.75 kn. isosceles triangle gate ab shown is hinged at a and weighs 1500 n. — fluid pressure on triangular gate with applied force p. What horizontal force p is required at point b for equilibrium? the weight of the gate a b ab a. Isosceles Triangle Gate Ab Is Hinged At A.
From www.chegg.com
Solved Isosceles triangle gate AB is hinged at A and weighs Isosceles Triangle Gate Ab Is Hinged At A The horizontal force p required at point b for equilibrium is approximately 1.75 kn. #2.68 from fluid mechanics 7th edition by frank white. What horizontal force p is required at point b for equilibrium?. Example on the gates part 7 fluid. The gate weighs 1500 n and has dimensions and angles. isosceles triangle gate ab in figure is hinged. Isosceles Triangle Gate Ab Is Hinged At A.
From www.chegg.com
Solved Isosceles triangle gate AB in the given image is Isosceles Triangle Gate Ab Is Hinged At A #2.68 from fluid mechanics 7th edition by frank white. — fluid pressure on triangular gate with applied force p. What horizontal force p is required at point b for equilibrium?. Compute the horizontal force p required at point b for equilibrium, neglecting the weight of the gate. the weight of the gate a b ab a b is. Isosceles Triangle Gate Ab Is Hinged At A.
From www.chegg.com
Solved Q2J Isosceles triangle gate AB in Fig. 2 is hinged at Isosceles Triangle Gate Ab Is Hinged At A isosceles triangle gate ab in figure is hinged at a and weighs 1500 n. the image shows an isosceles triangle gate (ab) hinged at point a. P2.68 is hinged at a and weighs 1500 n. isosceles triangular gate ab is hinged at a. #2.68 from fluid mechanics 7th edition by frank white. What horizontal force p is. Isosceles Triangle Gate Ab Is Hinged At A.
From www.chegg.com
Solved Isosceles triangle gate AB in fig. Is hinged at A and Isosceles Triangle Gate Ab Is Hinged At A isosceles triangular gate ab is hinged at a. Isosceles triangle gate ab in fig. the image shows an isosceles triangle gate (ab) hinged at point a. P2.68 is hinged at a and weighs 1500 n. What horizontal force p is required at point b for equilibrium. What horizontal force p is required at point b for equilibrium?. . Isosceles Triangle Gate Ab Is Hinged At A.
From www.chegg.com
Solved Prob.2 (30 points) Isosceles triangle gate AB in Isosceles Triangle Gate Ab Is Hinged At A isosceles triangular gate ab is hinged at a. the image shows an isosceles triangle gate (ab) hinged at point a. The horizontal force p required at point b for equilibrium is approximately 1.75 kn. — fluid pressure on triangular gate with applied force p. What horizontal force p is required at point b for equilibrium. isosceles. Isosceles Triangle Gate Ab Is Hinged At A.
From www.chegg.com
Solved Isosceles triangle gate AB in figure below is hinged Isosceles Triangle Gate Ab Is Hinged At A isosceles triangle gate ab shown is hinged at a and weighs 1500 n. #2.68 from fluid mechanics 7th edition by frank white. P2.68 is hinged at a and weighs 1500 n. What horizontal force p is required at point b for equilibrium?. Example on the gates part 7 fluid. the image shows an isosceles triangle gate (ab) hinged. Isosceles Triangle Gate Ab Is Hinged At A.
From www.transtutors.com
(Solved) Isosceles triangle gate AB in Fig. P2.68 is hinged at A and weighs... (1 Answer Isosceles Triangle Gate Ab Is Hinged At A What horizontal force p is required at point b for equilibrium. What horizontal force p is required at point b for equilibrium? isosceles triangle gate ab shown is hinged at a and weighs 1500 n. isosceles triangular gate ab is hinged at a. Compute the horizontal force p required at point b for equilibrium, neglecting the weight of. Isosceles Triangle Gate Ab Is Hinged At A.
From www.chegg.com
Solved Isosceles triangle gate AB in the given image is Isosceles Triangle Gate Ab Is Hinged At A What horizontal force p is required at point b for equilibrium?. What horizontal force p is required at point b for equilibrium? Example on the gates part 7 fluid. Compute the horizontal force p required at point b for equilibrium, neglecting the weight of the gate. the weight of the gate a b ab a b is assumed to. Isosceles Triangle Gate Ab Is Hinged At A.
From www.chegg.com
Solved Question 1 An isosceles triangle gate AB is shown in Isosceles Triangle Gate Ab Is Hinged At A P2.68 is hinged at a and weighs 1500 n. isosceles triangle gate ab shown is hinged at a and weighs 1500 n. isosceles triangle gate ab in figure is hinged at a and weighs 1500 n. The gate weighs 1500 n and has dimensions and angles. #2.68 from fluid mechanics 7th edition by frank white. The horizontal force. Isosceles Triangle Gate Ab Is Hinged At A.
From www.chegg.com
Solved Isosceles triangle gate AB is hinged at A and weighs Isosceles Triangle Gate Ab Is Hinged At A Isosceles triangle gate ab in fig. What horizontal force p is required at point b for equilibrium?. isosceles triangular gate ab is hinged at a. What horizontal force p is required at point b for equilibrium? isosceles triangle gate ab in figure is hinged at a and weighs 1500 n. the image shows an isosceles triangle gate. Isosceles Triangle Gate Ab Is Hinged At A.
From www.chegg.com
Solved 2.68 Isosceles triangle gate AB in Fig. P2.68 is Isosceles Triangle Gate Ab Is Hinged At A Example on the gates part 7 fluid. The horizontal force p required at point b for equilibrium is approximately 1.75 kn. What horizontal force p is required at point b for equilibrium?. What horizontal force p is required at point b for equilibrium? Isosceles triangle gate ab in fig. isosceles triangle gate ab in figure is hinged at a. Isosceles Triangle Gate Ab Is Hinged At A.
From www.chegg.com
Isosceles triangle gate AB in the figure is hinged Isosceles Triangle Gate Ab Is Hinged At A Compute the horizontal force p required at point b for equilibrium, neglecting the weight of the gate. isosceles triangle gate ab shown is hinged at a and weighs 1500 n. — fluid pressure on triangular gate with applied force p. Isosceles triangle gate ab in fig. isosceles triangle gate ab in figure is hinged at a and. Isosceles Triangle Gate Ab Is Hinged At A.
From www.chegg.com
Solved 6. 2.68 (10 pts) Isosceles triangle gate AB in Fig. Isosceles Triangle Gate Ab Is Hinged At A the weight of the gate a b ab a b is assumed to be at the centroid of the gate, so the perpendicular distance from the weight w g a t e w_{gate} w g a t e to. Example on the gates part 7 fluid. isosceles triangular gate ab is hinged at a. — fluid pressure. Isosceles Triangle Gate Ab Is Hinged At A.
From www.chegg.com
Solved P2.Isosceles triangle gate AB in Fig.P.2 is hinged at Isosceles Triangle Gate Ab Is Hinged At A Compute the horizontal force p required at point b for equilibrium, neglecting the weight of the gate. isosceles triangle gate ab shown is hinged at a and weighs 1500 n. the weight of the gate a b ab a b is assumed to be at the centroid of the gate, so the perpendicular distance from the weight w. Isosceles Triangle Gate Ab Is Hinged At A.
From www.coursehero.com
[Solved] Fluid Mechanics. SITUATION 7 (1921) Isosceles triangle gate AB in... Course Hero Isosceles Triangle Gate Ab Is Hinged At A Example on the gates part 7 fluid. The horizontal force p required at point b for equilibrium is approximately 1.75 kn. isosceles triangle gate ab shown is hinged at a and weighs 1500 n. isosceles triangular gate ab is hinged at a. Isosceles triangle gate ab in fig. What horizontal force p is required at point b for. Isosceles Triangle Gate Ab Is Hinged At A.
From tutorbin.com
Solved P2.Isosceles triangle gate AB in Fig.P.2 is hinged at A and weighs 17 TutorBin Isosceles Triangle Gate Ab Is Hinged At A What horizontal force p is required at point b for equilibrium?. the image shows an isosceles triangle gate (ab) hinged at point a. What horizontal force p is required at point b for equilibrium? Example on the gates part 7 fluid. P2.68 is hinged at a and weighs 1500 n. The horizontal force p required at point b for. Isosceles Triangle Gate Ab Is Hinged At A.
From www.numerade.com
SOLVED Isosceles triangle gate AB in the figure below is hinged at A and weighs 1500 N. What Isosceles Triangle Gate Ab Is Hinged At A The horizontal force p required at point b for equilibrium is approximately 1.75 kn. isosceles triangle gate ab in figure is hinged at a and weighs 1500 n. #2.68 from fluid mechanics 7th edition by frank white. Example on the gates part 7 fluid. P2.68 is hinged at a and weighs 1500 n. The gate weighs 1500 n and. Isosceles Triangle Gate Ab Is Hinged At A.
From www.chegg.com
Solved Problem 1 Isosceles triangle gate AB in the figure Isosceles Triangle Gate Ab Is Hinged At A The horizontal force p required at point b for equilibrium is approximately 1.75 kn. #2.68 from fluid mechanics 7th edition by frank white. the image shows an isosceles triangle gate (ab) hinged at point a. The gate weighs 1500 n and has dimensions and angles. isosceles triangle gate ab in figure is hinged at a and weighs 1500. Isosceles Triangle Gate Ab Is Hinged At A.
From www.chegg.com
Solved An isosceles triangle gate AB is hinged at the top at Isosceles Triangle Gate Ab Is Hinged At A What horizontal force p is required at point b for equilibrium. The gate weighs 1500 n and has dimensions and angles. — fluid pressure on triangular gate with applied force p. Compute the horizontal force p required at point b for equilibrium, neglecting the weight of the gate. What horizontal force p is required at point b for equilibrium?.. Isosceles Triangle Gate Ab Is Hinged At A.
From www.bartleby.com
Answered Isosceles triangle gate AB in the… bartleby Isosceles Triangle Gate Ab Is Hinged At A What horizontal force p is required at point b for equilibrium? What horizontal force p is required at point b for equilibrium?. Isosceles triangle gate ab in fig. #2.68 from fluid mechanics 7th edition by frank white. the weight of the gate a b ab a b is assumed to be at the centroid of the gate, so the. Isosceles Triangle Gate Ab Is Hinged At A.
From www.chegg.com
Solved Isosceles triangle gate AB in Fig. P2.68 is hinged at Isosceles Triangle Gate Ab Is Hinged At A Isosceles triangle gate ab in fig. isosceles triangle gate ab in figure is hinged at a and weighs 1500 n. #2.68 from fluid mechanics 7th edition by frank white. What horizontal force p is required at point b for equilibrium. isosceles triangle gate ab shown is hinged at a and weighs 1500 n. The gate weighs 1500 n. Isosceles Triangle Gate Ab Is Hinged At A.
From tutorbin.com
Solved P2.Isosceles triangle gate AB in Fig.P.2 is hinged at A and weighs 17 TutorBin Isosceles Triangle Gate Ab Is Hinged At A the weight of the gate a b ab a b is assumed to be at the centroid of the gate, so the perpendicular distance from the weight w g a t e w_{gate} w g a t e to. What horizontal force p is required at point b for equilibrium?. The gate weighs 1500 n and has dimensions and. Isosceles Triangle Gate Ab Is Hinged At A.
From www.chegg.com
Solved Isosceles triangle gate AB in figure below is hinged Isosceles Triangle Gate Ab Is Hinged At A What horizontal force p is required at point b for equilibrium? P2.68 is hinged at a and weighs 1500 n. What horizontal force p is required at point b for equilibrium?. The gate weighs 1500 n and has dimensions and angles. Example on the gates part 7 fluid. isosceles triangle gate ab in figure is hinged at a and. Isosceles Triangle Gate Ab Is Hinged At A.
From www.chegg.com
Solved Isosceles triangle gate AB in the given image is Isosceles Triangle Gate Ab Is Hinged At A What horizontal force p is required at point b for equilibrium?. — fluid pressure on triangular gate with applied force p. #2.68 from fluid mechanics 7th edition by frank white. P2.68 is hinged at a and weighs 1500 n. The horizontal force p required at point b for equilibrium is approximately 1.75 kn. The gate weighs 1500 n and. Isosceles Triangle Gate Ab Is Hinged At A.
From www.chegg.com
Solved Problem 3. The isosceles triangle gate AB in Fig. 2 Isosceles Triangle Gate Ab Is Hinged At A The gate weighs 1500 n and has dimensions and angles. the image shows an isosceles triangle gate (ab) hinged at point a. P2.68 is hinged at a and weighs 1500 n. — fluid pressure on triangular gate with applied force p. isosceles triangle gate ab in figure is hinged at a and weighs 1500 n. #2.68 from. Isosceles Triangle Gate Ab Is Hinged At A.
From www.numerade.com
SOLVED Isosceles triangle gate AB in Fig. P2.68 is hinged at A and weighs 1500 N. What Isosceles Triangle Gate Ab Is Hinged At A What horizontal force p is required at point b for equilibrium. Compute the horizontal force p required at point b for equilibrium, neglecting the weight of the gate. The gate weighs 1500 n and has dimensions and angles. the image shows an isosceles triangle gate (ab) hinged at point a. the weight of the gate a b ab. Isosceles Triangle Gate Ab Is Hinged At A.
From www.numerade.com
SOLVED An isosceles triangleshaped gate AB in the figure is hinged at A and located on an Isosceles Triangle Gate Ab Is Hinged At A isosceles triangle gate ab in figure is hinged at a and weighs 1500 n. — fluid pressure on triangular gate with applied force p. Example on the gates part 7 fluid. P2.68 is hinged at a and weighs 1500 n. What horizontal force p is required at point b for equilibrium?. #2.68 from fluid mechanics 7th edition by. Isosceles Triangle Gate Ab Is Hinged At A.