Use Of Fork Function . Note that the calling process is. The fork() system call is a pivotal function for creating and managing processes in c on linux and unix systems. In this article, we are going to see the fork function call in detail with the help of an example. A function call is an operating system. Fork() is creates new process by. In this tutorial, we will learn about the fork() function, its uses, and examples. What is fork() function in c? The c fork () function is a primary method of process creation of an operating system like unix. In this article, we are going to see the fork function call in detail with the help of an example. A function call is an operating system call that is used to create a copy of a process. Fork() is used to create child process. The fork function is used to create a new process representing the caller process’s duplication. When a fork() function is called, a new process will be spawned and the fork() function. The newly created process is known as the child process, and the process from which the child process is created is known as the parent process. The fork () creates a new copy of the calling function.
from 9to5answer.com
In this tutorial, we will learn about the fork() function, its uses, and examples. When a fork() function is called, a new process will be spawned and the fork() function. Fork() is creates new process by. The fork function is used to create a new process representing the caller process’s duplication. The c fork () function is a primary method of process creation of an operating system like unix. What is fork() function in c? Fork() is used to create child process. A function call is an operating system call that is used to create a copy of a process. Note that the calling process is. The fork () creates a new copy of the calling function.
[Solved] Fork() function in C 9to5Answer
Use Of Fork Function A function call is an operating system. In this article, we are going to see the fork function call in detail with the help of an example. The fork function is used to create a new process representing the caller process’s duplication. Fork() is used to create child process. Fork() is creates new process by. When a fork() function is called, a new process will be spawned and the fork() function. In this article, we are going to see the fork function call in detail with the help of an example. The newly created process is known as the child process, and the process from which the child process is created is known as the parent process. The fork() system call is a pivotal function for creating and managing processes in c on linux and unix systems. Note that the calling process is. The c fork () function is a primary method of process creation of an operating system like unix. In this tutorial, we will learn about the fork() function, its uses, and examples. A function call is an operating system call that is used to create a copy of a process. What is fork() function in c? A function call is an operating system. The fork () creates a new copy of the calling function.
From fyoubvjld.blob.core.windows.net
Dinner Fork Function at Angelita Rueda blog Use Of Fork Function Fork() is used to create child process. The fork() system call is a pivotal function for creating and managing processes in c on linux and unix systems. The newly created process is known as the child process, and the process from which the child process is created is known as the parent process. What is fork() function in c? In. Use Of Fork Function.
From www.homenish.com
24 Types of Forks and Their Uses (with Pictures) Homenish Use Of Fork Function The c fork () function is a primary method of process creation of an operating system like unix. In this tutorial, we will learn about the fork() function, its uses, and examples. A function call is an operating system call that is used to create a copy of a process. In this article, we are going to see the fork. Use Of Fork Function.
From exokyvmsp.blob.core.windows.net
Fork Uses And Functions at William Hooker blog Use Of Fork Function In this article, we are going to see the fork function call in detail with the help of an example. Fork() is creates new process by. Fork() is used to create child process. A function call is an operating system call that is used to create a copy of a process. In this tutorial, we will learn about the fork(). Use Of Fork Function.
From www.slideserve.com
PPT Processes PowerPoint Presentation, free download ID9180174 Use Of Fork Function Note that the calling process is. Fork() is used to create child process. The fork() system call is a pivotal function for creating and managing processes in c on linux and unix systems. A function call is an operating system. The fork function is used to create a new process representing the caller process’s duplication. The newly created process is. Use Of Fork Function.
From www.lacademie.com
21 Unique Fork Types A Comprehensive Guide for 2024 Use Of Fork Function In this article, we are going to see the fork function call in detail with the help of an example. The fork function is used to create a new process representing the caller process’s duplication. A function call is an operating system. When a fork() function is called, a new process will be spawned and the fork() function. Note that. Use Of Fork Function.
From exokyvmsp.blob.core.windows.net
Fork Uses And Functions at William Hooker blog Use Of Fork Function A function call is an operating system call that is used to create a copy of a process. Fork() is used to create child process. A function call is an operating system. When a fork() function is called, a new process will be spawned and the fork() function. What is fork() function in c? In this tutorial, we will learn. Use Of Fork Function.
From www.healthbenefitstimes.com
Fork Definition of Fork Use Of Fork Function A function call is an operating system call that is used to create a copy of a process. Fork() is creates new process by. The fork () creates a new copy of the calling function. The fork() system call is a pivotal function for creating and managing processes in c on linux and unix systems. In this tutorial, we will. Use Of Fork Function.
From www.sobyte.net
Why process fork uses copyonwrite SoByte Use Of Fork Function What is fork() function in c? The fork() system call is a pivotal function for creating and managing processes in c on linux and unix systems. The fork () creates a new copy of the calling function. In this article, we are going to see the fork function call in detail with the help of an example. The newly created. Use Of Fork Function.
From fyoubvjld.blob.core.windows.net
Dinner Fork Function at Angelita Rueda blog Use Of Fork Function What is fork() function in c? A function call is an operating system. The c fork () function is a primary method of process creation of an operating system like unix. In this article, we are going to see the fork function call in detail with the help of an example. In this article, we are going to see the. Use Of Fork Function.
From www.softwareideas.net
Fork in Activity Diagram Software Ideas Modeler Use Of Fork Function Note that the calling process is. In this tutorial, we will learn about the fork() function, its uses, and examples. In this article, we are going to see the fork function call in detail with the help of an example. The fork() system call is a pivotal function for creating and managing processes in c on linux and unix systems.. Use Of Fork Function.
From exokyvmsp.blob.core.windows.net
Fork Uses And Functions at William Hooker blog Use Of Fork Function The fork() system call is a pivotal function for creating and managing processes in c on linux and unix systems. The fork () creates a new copy of the calling function. A function call is an operating system call that is used to create a copy of a process. What is fork() function in c? The c fork () function. Use Of Fork Function.
From www.homenish.com
Parts of a Fork with Illustrated Diagram Homenish Use Of Fork Function Note that the calling process is. The c fork () function is a primary method of process creation of an operating system like unix. What is fork() function in c? In this tutorial, we will learn about the fork() function, its uses, and examples. Fork() is creates new process by. The newly created process is known as the child process,. Use Of Fork Function.
From www.raisinglemons.com
Manner 11 Using Your Fork Raising Lemons Use Of Fork Function What is fork() function in c? The newly created process is known as the child process, and the process from which the child process is created is known as the parent process. The fork () creates a new copy of the calling function. In this article, we are going to see the fork function call in detail with the help. Use Of Fork Function.
From www.slideserve.com
PPT Process Control PowerPoint Presentation, free download ID9479006 Use Of Fork Function In this article, we are going to see the fork function call in detail with the help of an example. In this tutorial, we will learn about the fork() function, its uses, and examples. The newly created process is known as the child process, and the process from which the child process is created is known as the parent process.. Use Of Fork Function.
From www.scaler.com
Fork() System Call Scaler Topics Use Of Fork Function Note that the calling process is. In this tutorial, we will learn about the fork() function, its uses, and examples. The fork () creates a new copy of the calling function. The c fork () function is a primary method of process creation of an operating system like unix. A function call is an operating system call that is used. Use Of Fork Function.
From hxehbdbll.blob.core.windows.net
What Is The Use Of Fork Call at William Mohr blog Use Of Fork Function Fork() is creates new process by. A function call is an operating system call that is used to create a copy of a process. What is fork() function in c? The c fork () function is a primary method of process creation of an operating system like unix. In this tutorial, we will learn about the fork() function, its uses,. Use Of Fork Function.
From www.homenish.com
24 Types of Forks and Their Uses (with Pictures) Homenish Use Of Fork Function The fork () creates a new copy of the calling function. In this article, we are going to see the fork function call in detail with the help of an example. The newly created process is known as the child process, and the process from which the child process is created is known as the parent process. A function call. Use Of Fork Function.
From www.scaler.com
C fork() Function Scaler Topics Use Of Fork Function Note that the calling process is. In this tutorial, we will learn about the fork() function, its uses, and examples. In this article, we are going to see the fork function call in detail with the help of an example. Fork() is creates new process by. When a fork() function is called, a new process will be spawned and the. Use Of Fork Function.
From www.chegg.com
Solved In this practice class, we will study the use of fork Use Of Fork Function The c fork () function is a primary method of process creation of an operating system like unix. In this article, we are going to see the fork function call in detail with the help of an example. Fork() is used to create child process. The fork function is used to create a new process representing the caller process’s duplication.. Use Of Fork Function.
From www.slideserve.com
PPT The UNIX process PowerPoint Presentation, free download ID887316 Use Of Fork Function Fork() is creates new process by. The fork() system call is a pivotal function for creating and managing processes in c on linux and unix systems. The newly created process is known as the child process, and the process from which the child process is created is known as the parent process. The c fork () function is a primary. Use Of Fork Function.
From 9to5answer.com
[Solved] Fork() function in C 9to5Answer Use Of Fork Function The newly created process is known as the child process, and the process from which the child process is created is known as the parent process. In this article, we are going to see the fork function call in detail with the help of an example. In this article, we are going to see the fork function call in detail. Use Of Fork Function.
From exokyvmsp.blob.core.windows.net
Fork Uses And Functions at William Hooker blog Use Of Fork Function A function call is an operating system call that is used to create a copy of a process. In this tutorial, we will learn about the fork() function, its uses, and examples. Note that the calling process is. In this article, we are going to see the fork function call in detail with the help of an example. Fork() is. Use Of Fork Function.
From linuxhint.com
Fork System Call in C Use Of Fork Function In this article, we are going to see the fork function call in detail with the help of an example. The c fork () function is a primary method of process creation of an operating system like unix. The fork () creates a new copy of the calling function. The fork() system call is a pivotal function for creating and. Use Of Fork Function.
From www.naukri.com
C Fork() Function Naukri Code 360 Use Of Fork Function The fork () creates a new copy of the calling function. In this article, we are going to see the fork function call in detail with the help of an example. A function call is an operating system call that is used to create a copy of a process. Note that the calling process is. What is fork() function in. Use Of Fork Function.
From www.fascinatewithzea.com
Garden Fork Uses Fasci Garden Use Of Fork Function When a fork() function is called, a new process will be spawned and the fork() function. In this tutorial, we will learn about the fork() function, its uses, and examples. A function call is an operating system call that is used to create a copy of a process. The fork () creates a new copy of the calling function. What. Use Of Fork Function.
From www.homenish.com
24 Types of Forks and Their Uses (with Pictures) Homenish Use Of Fork Function The fork() system call is a pivotal function for creating and managing processes in c on linux and unix systems. In this article, we are going to see the fork function call in detail with the help of an example. Fork() is used to create child process. Fork() is creates new process by. A function call is an operating system. Use Of Fork Function.
From www.youtube.com
The fork() function in C YouTube Use Of Fork Function The fork() system call is a pivotal function for creating and managing processes in c on linux and unix systems. In this article, we are going to see the fork function call in detail with the help of an example. Fork() is used to create child process. The fork () creates a new copy of the calling function. When a. Use Of Fork Function.
From www.slideserve.com
PPT Chapter 8 Process Control PowerPoint Presentation, free download Use Of Fork Function A function call is an operating system. What is fork() function in c? Fork() is used to create child process. In this article, we are going to see the fork function call in detail with the help of an example. A function call is an operating system call that is used to create a copy of a process. The newly. Use Of Fork Function.
From www.homenish.com
24 Types of Forks and Their Uses (with Pictures) Homenish Use Of Fork Function Note that the calling process is. When a fork() function is called, a new process will be spawned and the fork() function. The fork function is used to create a new process representing the caller process’s duplication. The fork () creates a new copy of the calling function. A function call is an operating system. What is fork() function in. Use Of Fork Function.
From www.chegg.com
Solved Program the bounded buffer example. Use the fork() Use Of Fork Function The fork () creates a new copy of the calling function. In this article, we are going to see the fork function call in detail with the help of an example. Note that the calling process is. Fork() is creates new process by. The fork function is used to create a new process representing the caller process’s duplication. A function. Use Of Fork Function.
From exokyvmsp.blob.core.windows.net
Fork Uses And Functions at William Hooker blog Use Of Fork Function Fork() is used to create child process. In this article, we are going to see the fork function call in detail with the help of an example. The c fork () function is a primary method of process creation of an operating system like unix. In this tutorial, we will learn about the fork() function, its uses, and examples. Note. Use Of Fork Function.
From www.youtube.com
Use of u fork and plumbing fork With plumb Bob in plane table surveying Use Of Fork Function Note that the calling process is. When a fork() function is called, a new process will be spawned and the fork() function. The c fork () function is a primary method of process creation of an operating system like unix. A function call is an operating system. Fork() is creates new process by. What is fork() function in c? The. Use Of Fork Function.
From www.wikihow.com
3 Ways to Use a Fork wikiHow Use Of Fork Function In this article, we are going to see the fork function call in detail with the help of an example. The c fork () function is a primary method of process creation of an operating system like unix. In this tutorial, we will learn about the fork() function, its uses, and examples. In this article, we are going to see. Use Of Fork Function.
From www.slideserve.com
PPT The UNIX process PowerPoint Presentation, free download ID887316 Use Of Fork Function Fork() is creates new process by. When a fork() function is called, a new process will be spawned and the fork() function. The c fork () function is a primary method of process creation of an operating system like unix. In this article, we are going to see the fork function call in detail with the help of an example.. Use Of Fork Function.
From www.scribd.com
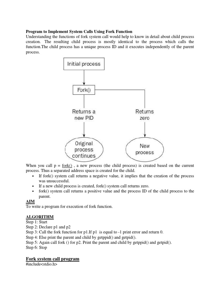
Program To Implement System Calls Using Fork Function PDF Use Of Fork Function Fork() is used to create child process. A function call is an operating system. The fork () creates a new copy of the calling function. The newly created process is known as the child process, and the process from which the child process is created is known as the parent process. The c fork () function is a primary method. Use Of Fork Function.