Int X 51 Tan 1 X Cot 1 X Dx . Doubtnut is no.1 study app and learning app with instant video solutions for ncert class 6, class 7, class 8, class 9, class. Enter your own function or use examples and options to practice calculus exercises. Solve indefinite, definite and multiple integrals with steps and graph. = ∫ x51 ⋅ 2πdx {∵ tan−1 x+ cot−1 x = 2π} = 104πx52 + c = 52x52 (tan−1 x+ cot−1 x)+c. Solve indefinite integrals of any function using the integration by parts formula. (pi)/ (2)dx= (pix^ (52))/ (104)+c= (x^ (52))/ (52). Type in any integral, such as 1/x, to get the solution and explanation. Common integrals, substitution, integration by parts, partial fraction. Enter your problem, click the blue arrow, and see the result and the. Calculator integrates functions using various methods:
from www.doubtnut.com
Type in any integral, such as 1/x, to get the solution and explanation. Enter your own function or use examples and options to practice calculus exercises. = ∫ x51 ⋅ 2πdx {∵ tan−1 x+ cot−1 x = 2π} = 104πx52 + c = 52x52 (tan−1 x+ cot−1 x)+c. Solve indefinite, definite and multiple integrals with steps and graph. Enter your problem, click the blue arrow, and see the result and the. (pi)/ (2)dx= (pix^ (52))/ (104)+c= (x^ (52))/ (52). Solve indefinite integrals of any function using the integration by parts formula. Calculator integrates functions using various methods: Common integrals, substitution, integration by parts, partial fraction. Doubtnut is no.1 study app and learning app with instant video solutions for ncert class 6, class 7, class 8, class 9, class.
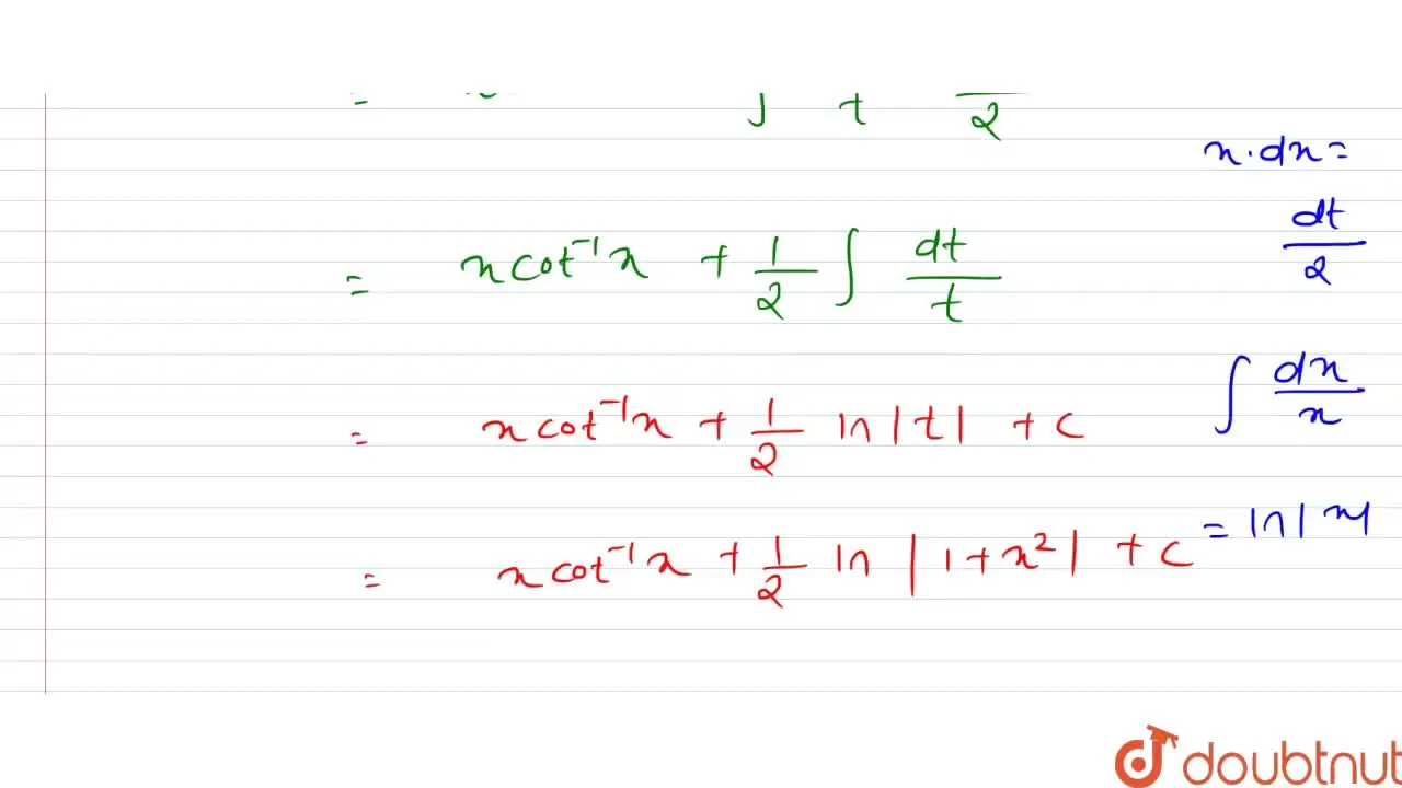
intx^(51)(tan^( 1)x+cot^( 1)x)dx=
Int X 51 Tan 1 X Cot 1 X Dx Doubtnut is no.1 study app and learning app with instant video solutions for ncert class 6, class 7, class 8, class 9, class. Calculator integrates functions using various methods: (pi)/ (2)dx= (pix^ (52))/ (104)+c= (x^ (52))/ (52). Common integrals, substitution, integration by parts, partial fraction. Type in any integral, such as 1/x, to get the solution and explanation. Doubtnut is no.1 study app and learning app with instant video solutions for ncert class 6, class 7, class 8, class 9, class. Enter your own function or use examples and options to practice calculus exercises. Solve indefinite integrals of any function using the integration by parts formula. Enter your problem, click the blue arrow, and see the result and the. Solve indefinite, definite and multiple integrals with steps and graph. = ∫ x51 ⋅ 2πdx {∵ tan−1 x+ cot−1 x = 2π} = 104πx52 + c = 52x52 (tan−1 x+ cot−1 x)+c.
From www.doubtnut.com
int (tan^(1) x cot^(1) x )/(1+ x^(2)) dx का मान ज्ञात कीजिए। Int X 51 Tan 1 X Cot 1 X Dx Enter your problem, click the blue arrow, and see the result and the. Common integrals, substitution, integration by parts, partial fraction. Calculator integrates functions using various methods: Solve indefinite, definite and multiple integrals with steps and graph. Enter your own function or use examples and options to practice calculus exercises. (pi)/ (2)dx= (pix^ (52))/ (104)+c= (x^ (52))/ (52). Solve indefinite. Int X 51 Tan 1 X Cot 1 X Dx.
From socratic.org
How do you verify the identity (cot x) / (csc x +1) = (csc x 1 Int X 51 Tan 1 X Cot 1 X Dx Doubtnut is no.1 study app and learning app with instant video solutions for ncert class 6, class 7, class 8, class 9, class. Solve indefinite, definite and multiple integrals with steps and graph. Type in any integral, such as 1/x, to get the solution and explanation. Enter your own function or use examples and options to practice calculus exercises. Common. Int X 51 Tan 1 X Cot 1 X Dx.
From www.doubtnut.com
intx^(51)(tan^( 1)x+cot^( 1)x)dx= Int X 51 Tan 1 X Cot 1 X Dx Solve indefinite integrals of any function using the integration by parts formula. Enter your own function or use examples and options to practice calculus exercises. Type in any integral, such as 1/x, to get the solution and explanation. Enter your problem, click the blue arrow, and see the result and the. Doubtnut is no.1 study app and learning app with. Int X 51 Tan 1 X Cot 1 X Dx.
From www.doubtnut.com
int ((x ^(2) x+1)/(x ^(2) +1)) e ^(cot^(1) (x))dx =f (x) .e ^(cot Int X 51 Tan 1 X Cot 1 X Dx Solve indefinite, definite and multiple integrals with steps and graph. Enter your own function or use examples and options to practice calculus exercises. = ∫ x51 ⋅ 2πdx {∵ tan−1 x+ cot−1 x = 2π} = 104πx52 + c = 52x52 (tan−1 x+ cot−1 x)+c. Type in any integral, such as 1/x, to get the solution and explanation. Doubtnut is. Int X 51 Tan 1 X Cot 1 X Dx.
From www.doubtnut.com
int(0)^(1)(tan^(1)x+cot^(1)x) dx Int X 51 Tan 1 X Cot 1 X Dx Enter your own function or use examples and options to practice calculus exercises. (pi)/ (2)dx= (pix^ (52))/ (104)+c= (x^ (52))/ (52). Enter your problem, click the blue arrow, and see the result and the. Type in any integral, such as 1/x, to get the solution and explanation. Doubtnut is no.1 study app and learning app with instant video solutions for. Int X 51 Tan 1 X Cot 1 X Dx.
From www.toppr.com
3 Solve the inequality ( tan ^ { 1 } x > cot ^ { 1 } x ) Int X 51 Tan 1 X Cot 1 X Dx Common integrals, substitution, integration by parts, partial fraction. Solve indefinite integrals of any function using the integration by parts formula. Calculator integrates functions using various methods: Solve indefinite, definite and multiple integrals with steps and graph. Enter your problem, click the blue arrow, and see the result and the. Type in any integral, such as 1/x, to get the solution. Int X 51 Tan 1 X Cot 1 X Dx.
From www.toppr.com
If tan^{1}xcot^{1}x=tan^{1}dfrac{1}{sqrt{3}}, the value of x. Int X 51 Tan 1 X Cot 1 X Dx = ∫ x51 ⋅ 2πdx {∵ tan−1 x+ cot−1 x = 2π} = 104πx52 + c = 52x52 (tan−1 x+ cot−1 x)+c. Solve indefinite, definite and multiple integrals with steps and graph. Solve indefinite integrals of any function using the integration by parts formula. Enter your own function or use examples and options to practice calculus exercises. Common integrals, substitution,. Int X 51 Tan 1 X Cot 1 X Dx.
From www.pinterest.com
Integral of 1/(tan x + cot x) Calculus 1 Calculus, Email subject Int X 51 Tan 1 X Cot 1 X Dx Common integrals, substitution, integration by parts, partial fraction. Doubtnut is no.1 study app and learning app with instant video solutions for ncert class 6, class 7, class 8, class 9, class. Solve indefinite integrals of any function using the integration by parts formula. (pi)/ (2)dx= (pix^ (52))/ (104)+c= (x^ (52))/ (52). Solve indefinite, definite and multiple integrals with steps and. Int X 51 Tan 1 X Cot 1 X Dx.
From www.doubtnut.com
[Telugu] int Cot^(1)x dx= Int X 51 Tan 1 X Cot 1 X Dx Solve indefinite integrals of any function using the integration by parts formula. Calculator integrates functions using various methods: Enter your problem, click the blue arrow, and see the result and the. (pi)/ (2)dx= (pix^ (52))/ (104)+c= (x^ (52))/ (52). Doubtnut is no.1 study app and learning app with instant video solutions for ncert class 6, class 7, class 8, class. Int X 51 Tan 1 X Cot 1 X Dx.
From www.teachoo.com
Derivative of cot1 x (cot inverse x) Teachoo [with Video] Int X 51 Tan 1 X Cot 1 X Dx (pi)/ (2)dx= (pix^ (52))/ (104)+c= (x^ (52))/ (52). Enter your problem, click the blue arrow, and see the result and the. Calculator integrates functions using various methods: Enter your own function or use examples and options to practice calculus exercises. Solve indefinite, definite and multiple integrals with steps and graph. Common integrals, substitution, integration by parts, partial fraction. Solve indefinite. Int X 51 Tan 1 X Cot 1 X Dx.
From www.storyofmathematics.com
Derivative of Tan^1 x Detailed Explanation and Examples The Story Int X 51 Tan 1 X Cot 1 X Dx Common integrals, substitution, integration by parts, partial fraction. Solve indefinite, definite and multiple integrals with steps and graph. Type in any integral, such as 1/x, to get the solution and explanation. Doubtnut is no.1 study app and learning app with instant video solutions for ncert class 6, class 7, class 8, class 9, class. Enter your own function or use. Int X 51 Tan 1 X Cot 1 X Dx.
From www.youtube.com
The value of `tan^(1)x+cot^(1)x` is Class 12 Maths Doubtnut YouTube Int X 51 Tan 1 X Cot 1 X Dx Doubtnut is no.1 study app and learning app with instant video solutions for ncert class 6, class 7, class 8, class 9, class. Calculator integrates functions using various methods: Type in any integral, such as 1/x, to get the solution and explanation. (pi)/ (2)dx= (pix^ (52))/ (104)+c= (x^ (52))/ (52). Enter your problem, click the blue arrow, and see the. Int X 51 Tan 1 X Cot 1 X Dx.
From www.teachoo.com
Ex 7.2, 32 Integrate 1 / (1 + cot x) Chapter 7 Class 12 Int X 51 Tan 1 X Cot 1 X Dx Common integrals, substitution, integration by parts, partial fraction. Enter your problem, click the blue arrow, and see the result and the. Calculator integrates functions using various methods: Solve indefinite, definite and multiple integrals with steps and graph. (pi)/ (2)dx= (pix^ (52))/ (104)+c= (x^ (52))/ (52). Type in any integral, such as 1/x, to get the solution and explanation. Enter your. Int X 51 Tan 1 X Cot 1 X Dx.
From www.youtube.com
Integration by Parts Integral of tan^1(x) dx YouTube Int X 51 Tan 1 X Cot 1 X Dx Solve indefinite integrals of any function using the integration by parts formula. Type in any integral, such as 1/x, to get the solution and explanation. Common integrals, substitution, integration by parts, partial fraction. Enter your problem, click the blue arrow, and see the result and the. = ∫ x51 ⋅ 2πdx {∵ tan−1 x+ cot−1 x = 2π} = 104πx52. Int X 51 Tan 1 X Cot 1 X Dx.
From www.doubtnut.com
intx^(51)(tan^( 1)x+cot^( 1)x)dx= Int X 51 Tan 1 X Cot 1 X Dx Enter your problem, click the blue arrow, and see the result and the. = ∫ x51 ⋅ 2πdx {∵ tan−1 x+ cot−1 x = 2π} = 104πx52 + c = 52x52 (tan−1 x+ cot−1 x)+c. Calculator integrates functions using various methods: (pi)/ (2)dx= (pix^ (52))/ (104)+c= (x^ (52))/ (52). Type in any integral, such as 1/x, to get the solution. Int X 51 Tan 1 X Cot 1 X Dx.
From www.toppr.com
If y = tan^1( cot x) + cot^1(tan x) , then find dydx Int X 51 Tan 1 X Cot 1 X Dx Type in any integral, such as 1/x, to get the solution and explanation. Enter your problem, click the blue arrow, and see the result and the. Doubtnut is no.1 study app and learning app with instant video solutions for ncert class 6, class 7, class 8, class 9, class. Solve indefinite, definite and multiple integrals with steps and graph. Common. Int X 51 Tan 1 X Cot 1 X Dx.
From www.teachoo.com
Derivative of cot1 x (cot inverse x) Teachoo [with Video] Int X 51 Tan 1 X Cot 1 X Dx (pi)/ (2)dx= (pix^ (52))/ (104)+c= (x^ (52))/ (52). Common integrals, substitution, integration by parts, partial fraction. Solve indefinite integrals of any function using the integration by parts formula. Type in any integral, such as 1/x, to get the solution and explanation. Enter your own function or use examples and options to practice calculus exercises. Calculator integrates functions using various methods:. Int X 51 Tan 1 X Cot 1 X Dx.
From www.teachoo.com
Example 41 Evaluate integral [root cot x + root tan x] dx Int X 51 Tan 1 X Cot 1 X Dx Doubtnut is no.1 study app and learning app with instant video solutions for ncert class 6, class 7, class 8, class 9, class. Enter your problem, click the blue arrow, and see the result and the. Calculator integrates functions using various methods: (pi)/ (2)dx= (pix^ (52))/ (104)+c= (x^ (52))/ (52). Enter your own function or use examples and options to. Int X 51 Tan 1 X Cot 1 X Dx.
From hxeidlbsj.blob.core.windows.net
Int Cos4X 1 Cot X Tan X Dx A Cos4X B Then at Sammie Harbin blog Int X 51 Tan 1 X Cot 1 X Dx Solve indefinite integrals of any function using the integration by parts formula. (pi)/ (2)dx= (pix^ (52))/ (104)+c= (x^ (52))/ (52). Enter your problem, click the blue arrow, and see the result and the. = ∫ x51 ⋅ 2πdx {∵ tan−1 x+ cot−1 x = 2π} = 104πx52 + c = 52x52 (tan−1 x+ cot−1 x)+c. Enter your own function or. Int X 51 Tan 1 X Cot 1 X Dx.
From www.toppr.com
Evaluate cot (tan^{1}x+cot^{1}x) Int X 51 Tan 1 X Cot 1 X Dx Enter your own function or use examples and options to practice calculus exercises. Solve indefinite, definite and multiple integrals with steps and graph. = ∫ x51 ⋅ 2πdx {∵ tan−1 x+ cot−1 x = 2π} = 104πx52 + c = 52x52 (tan−1 x+ cot−1 x)+c. Common integrals, substitution, integration by parts, partial fraction. Solve indefinite integrals of any function using. Int X 51 Tan 1 X Cot 1 X Dx.
From socratic.org
How do you prove (tan(x)1)/(tan(x)+1)= (1cot(x))/(1+cot(x))? Socratic Int X 51 Tan 1 X Cot 1 X Dx Solve indefinite integrals of any function using the integration by parts formula. Solve indefinite, definite and multiple integrals with steps and graph. (pi)/ (2)dx= (pix^ (52))/ (104)+c= (x^ (52))/ (52). Doubtnut is no.1 study app and learning app with instant video solutions for ncert class 6, class 7, class 8, class 9, class. Type in any integral, such as 1/x,. Int X 51 Tan 1 X Cot 1 X Dx.
From www.toppr.com
If y=cot^{1}left(dfrac{1x}{1+x}right) then dfrac{dy}{dx}=? Int X 51 Tan 1 X Cot 1 X Dx Enter your own function or use examples and options to practice calculus exercises. Calculator integrates functions using various methods: Doubtnut is no.1 study app and learning app with instant video solutions for ncert class 6, class 7, class 8, class 9, class. Enter your problem, click the blue arrow, and see the result and the. Type in any integral, such. Int X 51 Tan 1 X Cot 1 X Dx.
From www.youtube.com
Value of cot^(1)(tan(x)) What is the value of cot^(1)(tan(x)) How Int X 51 Tan 1 X Cot 1 X Dx Calculator integrates functions using various methods: Solve indefinite, definite and multiple integrals with steps and graph. Common integrals, substitution, integration by parts, partial fraction. = ∫ x51 ⋅ 2πdx {∵ tan−1 x+ cot−1 x = 2π} = 104πx52 + c = 52x52 (tan−1 x+ cot−1 x)+c. (pi)/ (2)dx= (pix^ (52))/ (104)+c= (x^ (52))/ (52). Solve indefinite integrals of any function. Int X 51 Tan 1 X Cot 1 X Dx.
From www.meritnation.com
Integrate (tan x + cot x)^1 dx Maths Integrals 13176155 Int X 51 Tan 1 X Cot 1 X Dx Type in any integral, such as 1/x, to get the solution and explanation. Solve indefinite, definite and multiple integrals with steps and graph. Doubtnut is no.1 study app and learning app with instant video solutions for ncert class 6, class 7, class 8, class 9, class. (pi)/ (2)dx= (pix^ (52))/ (104)+c= (x^ (52))/ (52). Enter your problem, click the blue. Int X 51 Tan 1 X Cot 1 X Dx.
From www.youtube.com
`tan^(1) (cot x) +cot^(1)(tan x) =pi 2x` YouTube Int X 51 Tan 1 X Cot 1 X Dx Solve indefinite integrals of any function using the integration by parts formula. (pi)/ (2)dx= (pix^ (52))/ (104)+c= (x^ (52))/ (52). Calculator integrates functions using various methods: Enter your problem, click the blue arrow, and see the result and the. Common integrals, substitution, integration by parts, partial fraction. Enter your own function or use examples and options to practice calculus exercises.. Int X 51 Tan 1 X Cot 1 X Dx.
From www.doubtnut.com
int\ cot^(1)x\ dx Int X 51 Tan 1 X Cot 1 X Dx Solve indefinite, definite and multiple integrals with steps and graph. (pi)/ (2)dx= (pix^ (52))/ (104)+c= (x^ (52))/ (52). Type in any integral, such as 1/x, to get the solution and explanation. Enter your problem, click the blue arrow, and see the result and the. Common integrals, substitution, integration by parts, partial fraction. Solve indefinite integrals of any function using the. Int X 51 Tan 1 X Cot 1 X Dx.
From www.teachoo.com
Question 4 Find cot (tan1 a + cot1 a) Chapter 2 Inverse Int X 51 Tan 1 X Cot 1 X Dx Doubtnut is no.1 study app and learning app with instant video solutions for ncert class 6, class 7, class 8, class 9, class. Enter your own function or use examples and options to practice calculus exercises. = ∫ x51 ⋅ 2πdx {∵ tan−1 x+ cot−1 x = 2π} = 104πx52 + c = 52x52 (tan−1 x+ cot−1 x)+c. Common integrals,. Int X 51 Tan 1 X Cot 1 X Dx.
From www.youtube.com
Integral of tan^1(cot x) Integral of arctan(cot x) inverse of tan Int X 51 Tan 1 X Cot 1 X Dx Solve indefinite integrals of any function using the integration by parts formula. Common integrals, substitution, integration by parts, partial fraction. Doubtnut is no.1 study app and learning app with instant video solutions for ncert class 6, class 7, class 8, class 9, class. = ∫ x51 ⋅ 2πdx {∵ tan−1 x+ cot−1 x = 2π} = 104πx52 + c =. Int X 51 Tan 1 X Cot 1 X Dx.
From www.youtube.com
tan^1(x) = cot^1(1/x) arctan x = arccot(1/x) YouTube Int X 51 Tan 1 X Cot 1 X Dx (pi)/ (2)dx= (pix^ (52))/ (104)+c= (x^ (52))/ (52). = ∫ x51 ⋅ 2πdx {∵ tan−1 x+ cot−1 x = 2π} = 104πx52 + c = 52x52 (tan−1 x+ cot−1 x)+c. Solve indefinite, definite and multiple integrals with steps and graph. Calculator integrates functions using various methods: Type in any integral, such as 1/x, to get the solution and explanation. Common. Int X 51 Tan 1 X Cot 1 X Dx.
From www.doubtnut.com
int (tan^(1)x+cot^(1)x)/(1+x^(2))dx का मान ज्ञात कीजिए। Int X 51 Tan 1 X Cot 1 X Dx Enter your problem, click the blue arrow, and see the result and the. = ∫ x51 ⋅ 2πdx {∵ tan−1 x+ cot−1 x = 2π} = 104πx52 + c = 52x52 (tan−1 x+ cot−1 x)+c. Doubtnut is no.1 study app and learning app with instant video solutions for ncert class 6, class 7, class 8, class 9, class. Common integrals,. Int X 51 Tan 1 X Cot 1 X Dx.
From www.doubtnut.com
[Odia] Integrate int cot^(1) x dx. Int X 51 Tan 1 X Cot 1 X Dx Enter your own function or use examples and options to practice calculus exercises. = ∫ x51 ⋅ 2πdx {∵ tan−1 x+ cot−1 x = 2π} = 104πx52 + c = 52x52 (tan−1 x+ cot−1 x)+c. Doubtnut is no.1 study app and learning app with instant video solutions for ncert class 6, class 7, class 8, class 9, class. Solve indefinite,. Int X 51 Tan 1 X Cot 1 X Dx.
From www.doubtnut.com
[Tamil] The value of int(0)^(1)(tan^(1)x)/(cot^(1)(1x+x^(2))dx is. Int X 51 Tan 1 X Cot 1 X Dx Doubtnut is no.1 study app and learning app with instant video solutions for ncert class 6, class 7, class 8, class 9, class. (pi)/ (2)dx= (pix^ (52))/ (104)+c= (x^ (52))/ (52). Solve indefinite, definite and multiple integrals with steps and graph. = ∫ x51 ⋅ 2πdx {∵ tan−1 x+ cot−1 x = 2π} = 104πx52 + c = 52x52 (tan−1. Int X 51 Tan 1 X Cot 1 X Dx.
From socratic.org
How do you prove (tan(x)1)/(tan(x)+1)= (1cot(x))/(1+cot(x))? Socratic Int X 51 Tan 1 X Cot 1 X Dx (pi)/ (2)dx= (pix^ (52))/ (104)+c= (x^ (52))/ (52). Type in any integral, such as 1/x, to get the solution and explanation. Enter your own function or use examples and options to practice calculus exercises. Enter your problem, click the blue arrow, and see the result and the. Calculator integrates functions using various methods: Common integrals, substitution, integration by parts, partial. Int X 51 Tan 1 X Cot 1 X Dx.
From www.doubtnut.com
If int ((x^2x+1)/(x^2+1) ) e^(cot^(1)x dx)=A(x) e^(cot^(1)x)+c, A= Int X 51 Tan 1 X Cot 1 X Dx Common integrals, substitution, integration by parts, partial fraction. Type in any integral, such as 1/x, to get the solution and explanation. Doubtnut is no.1 study app and learning app with instant video solutions for ncert class 6, class 7, class 8, class 9, class. Enter your problem, click the blue arrow, and see the result and the. (pi)/ (2)dx= (pix^. Int X 51 Tan 1 X Cot 1 X Dx.
From www.youtube.com
Find the integral of 1 / (1 cotx). YouTube Int X 51 Tan 1 X Cot 1 X Dx Enter your problem, click the blue arrow, and see the result and the. = ∫ x51 ⋅ 2πdx {∵ tan−1 x+ cot−1 x = 2π} = 104πx52 + c = 52x52 (tan−1 x+ cot−1 x)+c. (pi)/ (2)dx= (pix^ (52))/ (104)+c= (x^ (52))/ (52). Enter your own function or use examples and options to practice calculus exercises. Type in any integral,. Int X 51 Tan 1 X Cot 1 X Dx.