Is Cos X Uniformly Continuous . See how to prove or disprove uniform continuity. Is it enough, that by heine theorem, if $f(x)=\cos x$ is continuous on $x\in [0,2\pi]$, then it’s uniformly continuous on $x\in [0,2\pi]$. We will say that f is uniformlycontinuous if it is uniformly continuous on dom(f). The function y = tan(x) has the set { (2k + 1) dtan x : In other words, a function \(f\) is uniformly continuous if \(\delta\) is chosen independently of any specific point. The function cos(x) is continuous everywhere. That follows from the mean value theorem. Learn the definitions and examples of continuity and uniform continuity for functions on intervals. Note that this says that if f is uniformly continuous on s then.
from www.chegg.com
The function cos(x) is continuous everywhere. We will say that f is uniformlycontinuous if it is uniformly continuous on dom(f). Note that this says that if f is uniformly continuous on s then. Learn the definitions and examples of continuity and uniform continuity for functions on intervals. In other words, a function \(f\) is uniformly continuous if \(\delta\) is chosen independently of any specific point. Is it enough, that by heine theorem, if $f(x)=\cos x$ is continuous on $x\in [0,2\pi]$, then it’s uniformly continuous on $x\in [0,2\pi]$. See how to prove or disprove uniform continuity. That follows from the mean value theorem. The function y = tan(x) has the set { (2k + 1) dtan x :
Solved 1. Show that f [0,00)→ R, x → cos 2x is uniformly
Is Cos X Uniformly Continuous We will say that f is uniformlycontinuous if it is uniformly continuous on dom(f). The function y = tan(x) has the set { (2k + 1) dtan x : Note that this says that if f is uniformly continuous on s then. We will say that f is uniformlycontinuous if it is uniformly continuous on dom(f). Learn the definitions and examples of continuity and uniform continuity for functions on intervals. The function cos(x) is continuous everywhere. See how to prove or disprove uniform continuity. In other words, a function \(f\) is uniformly continuous if \(\delta\) is chosen independently of any specific point. Is it enough, that by heine theorem, if $f(x)=\cos x$ is continuous on $x\in [0,2\pi]$, then it’s uniformly continuous on $x\in [0,2\pi]$. That follows from the mean value theorem.
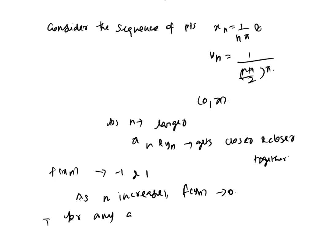
From www.coursehero.com
[Solved] ) Prove that f(x) = cos(x^2 ) is not uniformly continuous on R Is Cos X Uniformly Continuous The function cos(x) is continuous everywhere. Is it enough, that by heine theorem, if $f(x)=\cos x$ is continuous on $x\in [0,2\pi]$, then it’s uniformly continuous on $x\in [0,2\pi]$. We will say that f is uniformlycontinuous if it is uniformly continuous on dom(f). See how to prove or disprove uniform continuity. The function y = tan(x) has the set { (2k. Is Cos X Uniformly Continuous.
From www.teachoo.com
Question 4 Solve cos x = 1/2 Trigonometric Functions CBSE Is Cos X Uniformly Continuous Is it enough, that by heine theorem, if $f(x)=\cos x$ is continuous on $x\in [0,2\pi]$, then it’s uniformly continuous on $x\in [0,2\pi]$. Learn the definitions and examples of continuity and uniform continuity for functions on intervals. See how to prove or disprove uniform continuity. The function y = tan(x) has the set { (2k + 1) dtan x : The. Is Cos X Uniformly Continuous.
From www.chegg.com
Solved (3) Prove that f(x) = sin x is uniformly continuous Is Cos X Uniformly Continuous The function y = tan(x) has the set { (2k + 1) dtan x : The function cos(x) is continuous everywhere. We will say that f is uniformlycontinuous if it is uniformly continuous on dom(f). Learn the definitions and examples of continuity and uniform continuity for functions on intervals. See how to prove or disprove uniform continuity. In other words,. Is Cos X Uniformly Continuous.
From www.numerade.com
SOLVED (a) Determine whether each of the following functions is Is Cos X Uniformly Continuous Is it enough, that by heine theorem, if $f(x)=\cos x$ is continuous on $x\in [0,2\pi]$, then it’s uniformly continuous on $x\in [0,2\pi]$. We will say that f is uniformlycontinuous if it is uniformly continuous on dom(f). Note that this says that if f is uniformly continuous on s then. The function y = tan(x) has the set { (2k +. Is Cos X Uniformly Continuous.
From www.chegg.com
Solved 1. Is f(x) uniformly continuous on R? Justify your Is Cos X Uniformly Continuous The function y = tan(x) has the set { (2k + 1) dtan x : That follows from the mean value theorem. The function cos(x) is continuous everywhere. Learn the definitions and examples of continuity and uniform continuity for functions on intervals. See how to prove or disprove uniform continuity. Note that this says that if f is uniformly continuous. Is Cos X Uniformly Continuous.
From www.chegg.com
Solved Determine which of the following continuous functions Is Cos X Uniformly Continuous The function y = tan(x) has the set { (2k + 1) dtan x : Note that this says that if f is uniformly continuous on s then. In other words, a function \(f\) is uniformly continuous if \(\delta\) is chosen independently of any specific point. That follows from the mean value theorem. We will say that f is uniformlycontinuous. Is Cos X Uniformly Continuous.
From www.chegg.com
Solved Problem 12. 1. Show that 2 2 Tn converges uniformly Is Cos X Uniformly Continuous Note that this says that if f is uniformly continuous on s then. That follows from the mean value theorem. The function y = tan(x) has the set { (2k + 1) dtan x : Is it enough, that by heine theorem, if $f(x)=\cos x$ is continuous on $x\in [0,2\pi]$, then it’s uniformly continuous on $x\in [0,2\pi]$. We will say. Is Cos X Uniformly Continuous.
From www.teachoo.com
Ex 5.1, 24 Determine if f(x) = {x2 sin 1/x, 0 is continuous Is Cos X Uniformly Continuous Learn the definitions and examples of continuity and uniform continuity for functions on intervals. That follows from the mean value theorem. The function y = tan(x) has the set { (2k + 1) dtan x : The function cos(x) is continuous everywhere. In other words, a function \(f\) is uniformly continuous if \(\delta\) is chosen independently of any specific point.. Is Cos X Uniformly Continuous.
From www.youtube.com
Show that the function defined by `f(x) = cos x ` is a continuous Is Cos X Uniformly Continuous Is it enough, that by heine theorem, if $f(x)=\cos x$ is continuous on $x\in [0,2\pi]$, then it’s uniformly continuous on $x\in [0,2\pi]$. The function cos(x) is continuous everywhere. The function y = tan(x) has the set { (2k + 1) dtan x : We will say that f is uniformlycontinuous if it is uniformly continuous on dom(f). That follows from. Is Cos X Uniformly Continuous.
From www.numerade.com
SOLVED Using that sin(2) Is Cos X Uniformly Continuous We will say that f is uniformlycontinuous if it is uniformly continuous on dom(f). Is it enough, that by heine theorem, if $f(x)=\cos x$ is continuous on $x\in [0,2\pi]$, then it’s uniformly continuous on $x\in [0,2\pi]$. Learn the definitions and examples of continuity and uniform continuity for functions on intervals. See how to prove or disprove uniform continuity. The function. Is Cos X Uniformly Continuous.
From www.numerade.com
SOLVEDShow that the function f x →sinx is uniformly continuous on S={x∞ Is Cos X Uniformly Continuous In other words, a function \(f\) is uniformly continuous if \(\delta\) is chosen independently of any specific point. That follows from the mean value theorem. Is it enough, that by heine theorem, if $f(x)=\cos x$ is continuous on $x\in [0,2\pi]$, then it’s uniformly continuous on $x\in [0,2\pi]$. The function cos(x) is continuous everywhere. We will say that f is uniformlycontinuous. Is Cos X Uniformly Continuous.
From www.numerade.com
SOLVED Prove that the function f (0,1) —> R given by f(x) = sin(pi/x Is Cos X Uniformly Continuous Is it enough, that by heine theorem, if $f(x)=\cos x$ is continuous on $x\in [0,2\pi]$, then it’s uniformly continuous on $x\in [0,2\pi]$. See how to prove or disprove uniform continuity. The function cos(x) is continuous everywhere. Learn the definitions and examples of continuity and uniform continuity for functions on intervals. Note that this says that if f is uniformly continuous. Is Cos X Uniformly Continuous.
From scoop.eduncle.com
If x is a continuous variable which is uniformly distributed over the Is Cos X Uniformly Continuous See how to prove or disprove uniform continuity. Is it enough, that by heine theorem, if $f(x)=\cos x$ is continuous on $x\in [0,2\pi]$, then it’s uniformly continuous on $x\in [0,2\pi]$. The function cos(x) is continuous everywhere. Learn the definitions and examples of continuity and uniform continuity for functions on intervals. That follows from the mean value theorem. In other words,. Is Cos X Uniformly Continuous.
From www.youtube.com
Continuous Uniform Distribution (3) E(X), Var(X), F(X Is Cos X Uniformly Continuous Note that this says that if f is uniformly continuous on s then. The function cos(x) is continuous everywhere. Learn the definitions and examples of continuity and uniform continuity for functions on intervals. That follows from the mean value theorem. We will say that f is uniformlycontinuous if it is uniformly continuous on dom(f). In other words, a function \(f\). Is Cos X Uniformly Continuous.
From www.numerade.com
SOLVED Show that ∑n=1^∞(1)/(n^2)cos n x converges uniformly on ℝ to a Is Cos X Uniformly Continuous Note that this says that if f is uniformly continuous on s then. Learn the definitions and examples of continuity and uniform continuity for functions on intervals. Is it enough, that by heine theorem, if $f(x)=\cos x$ is continuous on $x\in [0,2\pi]$, then it’s uniformly continuous on $x\in [0,2\pi]$. We will say that f is uniformlycontinuous if it is uniformly. Is Cos X Uniformly Continuous.
From solvedlib.com
Definition 5.3.1 Uniform continuityA function f D … SolvedLib Is Cos X Uniformly Continuous The function cos(x) is continuous everywhere. We will say that f is uniformlycontinuous if it is uniformly continuous on dom(f). See how to prove or disprove uniform continuity. Is it enough, that by heine theorem, if $f(x)=\cos x$ is continuous on $x\in [0,2\pi]$, then it’s uniformly continuous on $x\in [0,2\pi]$. Learn the definitions and examples of continuity and uniform continuity. Is Cos X Uniformly Continuous.
From www.teachoo.com
Example 19 Show that f(x) = sin (x2) is continuous Continuity of c Is Cos X Uniformly Continuous We will say that f is uniformlycontinuous if it is uniformly continuous on dom(f). Learn the definitions and examples of continuity and uniform continuity for functions on intervals. The function y = tan(x) has the set { (2k + 1) dtan x : In other words, a function \(f\) is uniformly continuous if \(\delta\) is chosen independently of any specific. Is Cos X Uniformly Continuous.
From byjus.com
The solution of inequality cos 2x cos x Is Cos X Uniformly Continuous That follows from the mean value theorem. The function cos(x) is continuous everywhere. Is it enough, that by heine theorem, if $f(x)=\cos x$ is continuous on $x\in [0,2\pi]$, then it’s uniformly continuous on $x\in [0,2\pi]$. Note that this says that if f is uniformly continuous on s then. The function y = tan(x) has the set { (2k + 1). Is Cos X Uniformly Continuous.
From www.i-ciencias.com
[Resuelta] analisisreal Continuidad uniforme de la Is Cos X Uniformly Continuous Note that this says that if f is uniformly continuous on s then. The function y = tan(x) has the set { (2k + 1) dtan x : In other words, a function \(f\) is uniformly continuous if \(\delta\) is chosen independently of any specific point. We will say that f is uniformlycontinuous if it is uniformly continuous on dom(f).. Is Cos X Uniformly Continuous.
From slideplayer.com
Chapter 5 Limits and Continuity. ppt download Is Cos X Uniformly Continuous The function y = tan(x) has the set { (2k + 1) dtan x : Is it enough, that by heine theorem, if $f(x)=\cos x$ is continuous on $x\in [0,2\pi]$, then it’s uniformly continuous on $x\in [0,2\pi]$. That follows from the mean value theorem. The function cos(x) is continuous everywhere. See how to prove or disprove uniform continuity. Note that. Is Cos X Uniformly Continuous.
From www.numerade.com
SOLVED(b) Prove or disprove f(r) = x sin(r/1) is uniformly continuous Is Cos X Uniformly Continuous The function cos(x) is continuous everywhere. The function y = tan(x) has the set { (2k + 1) dtan x : Learn the definitions and examples of continuity and uniform continuity for functions on intervals. Is it enough, that by heine theorem, if $f(x)=\cos x$ is continuous on $x\in [0,2\pi]$, then it’s uniformly continuous on $x\in [0,2\pi]$. We will say. Is Cos X Uniformly Continuous.
From www.youtube.com
How to Prove that f(x) = cos(x) is Uniformly Continuous YouTube Is Cos X Uniformly Continuous That follows from the mean value theorem. The function y = tan(x) has the set { (2k + 1) dtan x : We will say that f is uniformlycontinuous if it is uniformly continuous on dom(f). Note that this says that if f is uniformly continuous on s then. Is it enough, that by heine theorem, if $f(x)=\cos x$ is. Is Cos X Uniformly Continuous.
From www.teachoo.com
Ex 5.1, 32 Show that f(x) = cos x is continuous Class 12 Is Cos X Uniformly Continuous Note that this says that if f is uniformly continuous on s then. The function cos(x) is continuous everywhere. Learn the definitions and examples of continuity and uniform continuity for functions on intervals. In other words, a function \(f\) is uniformly continuous if \(\delta\) is chosen independently of any specific point. Is it enough, that by heine theorem, if $f(x)=\cos. Is Cos X Uniformly Continuous.
From www.youtube.com
Verify the Trigonometric Identity cos(x pi) = cos(x) YouTube Is Cos X Uniformly Continuous Note that this says that if f is uniformly continuous on s then. The function cos(x) is continuous everywhere. Learn the definitions and examples of continuity and uniform continuity for functions on intervals. That follows from the mean value theorem. Is it enough, that by heine theorem, if $f(x)=\cos x$ is continuous on $x\in [0,2\pi]$, then it’s uniformly continuous on. Is Cos X Uniformly Continuous.
From www.coursehero.com
[Solved] Prove that f(x) = cos(x ^2 ) is not uniformly continuous on R Is Cos X Uniformly Continuous We will say that f is uniformlycontinuous if it is uniformly continuous on dom(f). Learn the definitions and examples of continuity and uniform continuity for functions on intervals. The function y = tan(x) has the set { (2k + 1) dtan x : In other words, a function \(f\) is uniformly continuous if \(\delta\) is chosen independently of any specific. Is Cos X Uniformly Continuous.
From www.reddit.com
I don't get why sin is uniformly continuous r/mathematics Is Cos X Uniformly Continuous In other words, a function \(f\) is uniformly continuous if \(\delta\) is chosen independently of any specific point. The function y = tan(x) has the set { (2k + 1) dtan x : Note that this says that if f is uniformly continuous on s then. That follows from the mean value theorem. Is it enough, that by heine theorem,. Is Cos X Uniformly Continuous.
From www.coursehero.com
[Solved] Prove that f(x) = cos(x ^2 ) is not uniformly continuous on R Is Cos X Uniformly Continuous That follows from the mean value theorem. In other words, a function \(f\) is uniformly continuous if \(\delta\) is chosen independently of any specific point. The function y = tan(x) has the set { (2k + 1) dtan x : Note that this says that if f is uniformly continuous on s then. We will say that f is uniformlycontinuous. Is Cos X Uniformly Continuous.
From 9to5science.com
[Solved] Prove that the function 9to5Science Is Cos X Uniformly Continuous That follows from the mean value theorem. The function y = tan(x) has the set { (2k + 1) dtan x : Is it enough, that by heine theorem, if $f(x)=\cos x$ is continuous on $x\in [0,2\pi]$, then it’s uniformly continuous on $x\in [0,2\pi]$. The function cos(x) is continuous everywhere. We will say that f is uniformlycontinuous if it is. Is Cos X Uniformly Continuous.
From www.numerade.com
SOLVED 11) Show that the function f(c) = cos(1/x) is not uniformly Is Cos X Uniformly Continuous See how to prove or disprove uniform continuity. Is it enough, that by heine theorem, if $f(x)=\cos x$ is continuous on $x\in [0,2\pi]$, then it’s uniformly continuous on $x\in [0,2\pi]$. In other words, a function \(f\) is uniformly continuous if \(\delta\) is chosen independently of any specific point. The function y = tan(x) has the set { (2k + 1). Is Cos X Uniformly Continuous.
From math.stackexchange.com
uniform continuity f(x)=cos(x^2) is not uniformly continuous Is Cos X Uniformly Continuous That follows from the mean value theorem. Note that this says that if f is uniformly continuous on s then. Is it enough, that by heine theorem, if $f(x)=\cos x$ is continuous on $x\in [0,2\pi]$, then it’s uniformly continuous on $x\in [0,2\pi]$. We will say that f is uniformlycontinuous if it is uniformly continuous on dom(f). Learn the definitions and. Is Cos X Uniformly Continuous.
From solvedlib.com
(15 pts) (a) Show that the function f(c) sin(2) is un… SolvedLib Is Cos X Uniformly Continuous That follows from the mean value theorem. See how to prove or disprove uniform continuity. We will say that f is uniformlycontinuous if it is uniformly continuous on dom(f). Learn the definitions and examples of continuity and uniform continuity for functions on intervals. Note that this says that if f is uniformly continuous on s then. In other words, a. Is Cos X Uniformly Continuous.
From www.numerade.com
SOLVED Let f(x) = cos(1/x). Determine if f(x) is uniformly continuous Is Cos X Uniformly Continuous Learn the definitions and examples of continuity and uniform continuity for functions on intervals. See how to prove or disprove uniform continuity. That follows from the mean value theorem. The function cos(x) is continuous everywhere. The function y = tan(x) has the set { (2k + 1) dtan x : We will say that f is uniformlycontinuous if it is. Is Cos X Uniformly Continuous.
From www.chegg.com
Solved 1. Show that f [0,00)→ R, x → cos 2x is uniformly Is Cos X Uniformly Continuous The function cos(x) is continuous everywhere. Learn the definitions and examples of continuity and uniform continuity for functions on intervals. That follows from the mean value theorem. See how to prove or disprove uniform continuity. We will say that f is uniformlycontinuous if it is uniformly continuous on dom(f). In other words, a function \(f\) is uniformly continuous if \(\delta\). Is Cos X Uniformly Continuous.
From www.numerade.com
SOLVED Prove that f(x) = cos(x ^2 ) is not uniformly continuous on R Is Cos X Uniformly Continuous In other words, a function \(f\) is uniformly continuous if \(\delta\) is chosen independently of any specific point. See how to prove or disprove uniform continuity. The function y = tan(x) has the set { (2k + 1) dtan x : Is it enough, that by heine theorem, if $f(x)=\cos x$ is continuous on $x\in [0,2\pi]$, then it’s uniformly continuous. Is Cos X Uniformly Continuous.
From www.coursehero.com
[Solved] Prove that f(x) = cos(x ^2 ) is not uniformly continuous on R Is Cos X Uniformly Continuous Is it enough, that by heine theorem, if $f(x)=\cos x$ is continuous on $x\in [0,2\pi]$, then it’s uniformly continuous on $x\in [0,2\pi]$. The function cos(x) is continuous everywhere. That follows from the mean value theorem. We will say that f is uniformlycontinuous if it is uniformly continuous on dom(f). Learn the definitions and examples of continuity and uniform continuity for. Is Cos X Uniformly Continuous.