Aluminum Sulfate Equation . In this equation, aluminum hydroxide (π΄π (ππ»)β) combines with sulfuric acid (hβsoβ ) to form aluminum sulfate (π΄πβ (ππβ )β) and water (π»βπ). in this video we'll write the correct formula for aluminum sulfate,. Aluminum is a group 3a metal which forms a #3+# cation. the chemical equation for this reaction is: This process typically takes place in a controlled. 2al (oh)β + 3hβsoβ β alβ (soβ)β + 6hβo. aluminum sulfate, often referred to as alum, is a chemical compound with the formula al 2 (so 4) 3. the glaser tutoring company. aluminium sulphate is formed by reacting with the correct.
from www.youtube.com
aluminum sulfate, often referred to as alum, is a chemical compound with the formula al 2 (so 4) 3. aluminium sulphate is formed by reacting with the correct. the glaser tutoring company. In this equation, aluminum hydroxide (π΄π (ππ»)β) combines with sulfuric acid (hβsoβ ) to form aluminum sulfate (π΄πβ (ππβ )β) and water (π»βπ). in this video we'll write the correct formula for aluminum sulfate,. Aluminum is a group 3a metal which forms a #3+# cation. 2al (oh)β + 3hβsoβ β alβ (soβ)β + 6hβo. This process typically takes place in a controlled. the chemical equation for this reaction is:
magnesium + aluminum sulfate.avi YouTube
Aluminum Sulfate Equation aluminum sulfate, often referred to as alum, is a chemical compound with the formula al 2 (so 4) 3. in this video we'll write the correct formula for aluminum sulfate,. This process typically takes place in a controlled. the chemical equation for this reaction is: Aluminum is a group 3a metal which forms a #3+# cation. aluminum sulfate, often referred to as alum, is a chemical compound with the formula al 2 (so 4) 3. In this equation, aluminum hydroxide (π΄π (ππ»)β) combines with sulfuric acid (hβsoβ ) to form aluminum sulfate (π΄πβ (ππβ )β) and water (π»βπ). 2al (oh)β + 3hβsoβ β alβ (soβ)β + 6hβo. aluminium sulphate is formed by reacting with the correct. the glaser tutoring company.
From www.youtube.com
How to Write the Formula for Sodium aluminum sulfate YouTube Aluminum Sulfate Equation in this video we'll write the correct formula for aluminum sulfate,. aluminum sulfate, often referred to as alum, is a chemical compound with the formula al 2 (so 4) 3. 2al (oh)β + 3hβsoβ β alβ (soβ)β + 6hβo. Aluminum is a group 3a metal which forms a #3+# cation. aluminium sulphate is formed by reacting with. Aluminum Sulfate Equation.
From rahaoil.com
Aluminum Sulfate Aluminum Sulphate Manufacturer RAHA Oil Co. Aluminum Sulfate Equation the chemical equation for this reaction is: aluminum sulfate, often referred to as alum, is a chemical compound with the formula al 2 (so 4) 3. 2al (oh)β + 3hβsoβ β alβ (soβ)β + 6hβo. in this video we'll write the correct formula for aluminum sulfate,. In this equation, aluminum hydroxide (π΄π (ππ»)β) combines with sulfuric acid. Aluminum Sulfate Equation.
From aluminumsulfatepitsukata.blogspot.com
Aluminum Sulfate March 2016 Aluminum Sulfate Equation 2al (oh)β + 3hβsoβ β alβ (soβ)β + 6hβo. the chemical equation for this reaction is: aluminium sulphate is formed by reacting with the correct. in this video we'll write the correct formula for aluminum sulfate,. This process typically takes place in a controlled. Aluminum is a group 3a metal which forms a #3+# cation. aluminum. Aluminum Sulfate Equation.
From www.numerade.com
SOLVED Aluminum sulfate, Al2(SO4)3, to form aluminum oxide Aluminum Sulfate Equation aluminum sulfate, often referred to as alum, is a chemical compound with the formula al 2 (so 4) 3. aluminium sulphate is formed by reacting with the correct. in this video we'll write the correct formula for aluminum sulfate,. the chemical equation for this reaction is: 2al (oh)β + 3hβsoβ β alβ (soβ)β + 6hβo. In. Aluminum Sulfate Equation.
From www.slideserve.com
PPT Solubility Equilibria PowerPoint Presentation, free download ID Aluminum Sulfate Equation the glaser tutoring company. This process typically takes place in a controlled. aluminium sulphate is formed by reacting with the correct. the chemical equation for this reaction is: Aluminum is a group 3a metal which forms a #3+# cation. aluminum sulfate, often referred to as alum, is a chemical compound with the formula al 2 (so. Aluminum Sulfate Equation.
From solvedlib.com
A sample of aluminum sulfate;Al2(SO4)3 ; 342.2 g/mol,β¦ SolvedLib Aluminum Sulfate Equation in this video we'll write the correct formula for aluminum sulfate,. the glaser tutoring company. aluminium sulphate is formed by reacting with the correct. aluminum sulfate, often referred to as alum, is a chemical compound with the formula al 2 (so 4) 3. In this equation, aluminum hydroxide (π΄π (ππ»)β) combines with sulfuric acid (hβsoβ ). Aluminum Sulfate Equation.
From www.youtube.com
How to Balance Al2(SO4)3 + NaOH = Al(OH)3 + Na2SO4 (Aluminum sulfate Aluminum Sulfate Equation in this video we'll write the correct formula for aluminum sulfate,. the glaser tutoring company. aluminum sulfate, often referred to as alum, is a chemical compound with the formula al 2 (so 4) 3. 2al (oh)β + 3hβsoβ β alβ (soβ)β + 6hβo. Aluminum is a group 3a metal which forms a #3+# cation. In this equation,. Aluminum Sulfate Equation.
From www.youtube.com
How to Write the Formula for Na2SO4 (Sodium sulfate) YouTube Aluminum Sulfate Equation 2al (oh)β + 3hβsoβ β alβ (soβ)β + 6hβo. the glaser tutoring company. Aluminum is a group 3a metal which forms a #3+# cation. In this equation, aluminum hydroxide (π΄π (ππ»)β) combines with sulfuric acid (hβsoβ ) to form aluminum sulfate (π΄πβ (ππβ )β) and water (π»βπ). This process typically takes place in a controlled. aluminium sulphate is. Aluminum Sulfate Equation.
From www.numerade.com
SOLVED Suppose you have 2.0 moles of aqueous barium chloride, and you Aluminum Sulfate Equation In this equation, aluminum hydroxide (π΄π (ππ»)β) combines with sulfuric acid (hβsoβ ) to form aluminum sulfate (π΄πβ (ππβ )β) and water (π»βπ). the glaser tutoring company. aluminium sulphate is formed by reacting with the correct. 2al (oh)β + 3hβsoβ β alβ (soβ)β + 6hβo. in this video we'll write the correct formula for aluminum sulfate,. This. Aluminum Sulfate Equation.
From www.chegg.com
Solved Aluminum sulfate reacts with sodium hydroxide in Aluminum Sulfate Equation the glaser tutoring company. aluminum sulfate, often referred to as alum, is a chemical compound with the formula al 2 (so 4) 3. 2al (oh)β + 3hβsoβ β alβ (soβ)β + 6hβo. the chemical equation for this reaction is: in this video we'll write the correct formula for aluminum sulfate,. Aluminum is a group 3a metal. Aluminum Sulfate Equation.
From www.numerade.com
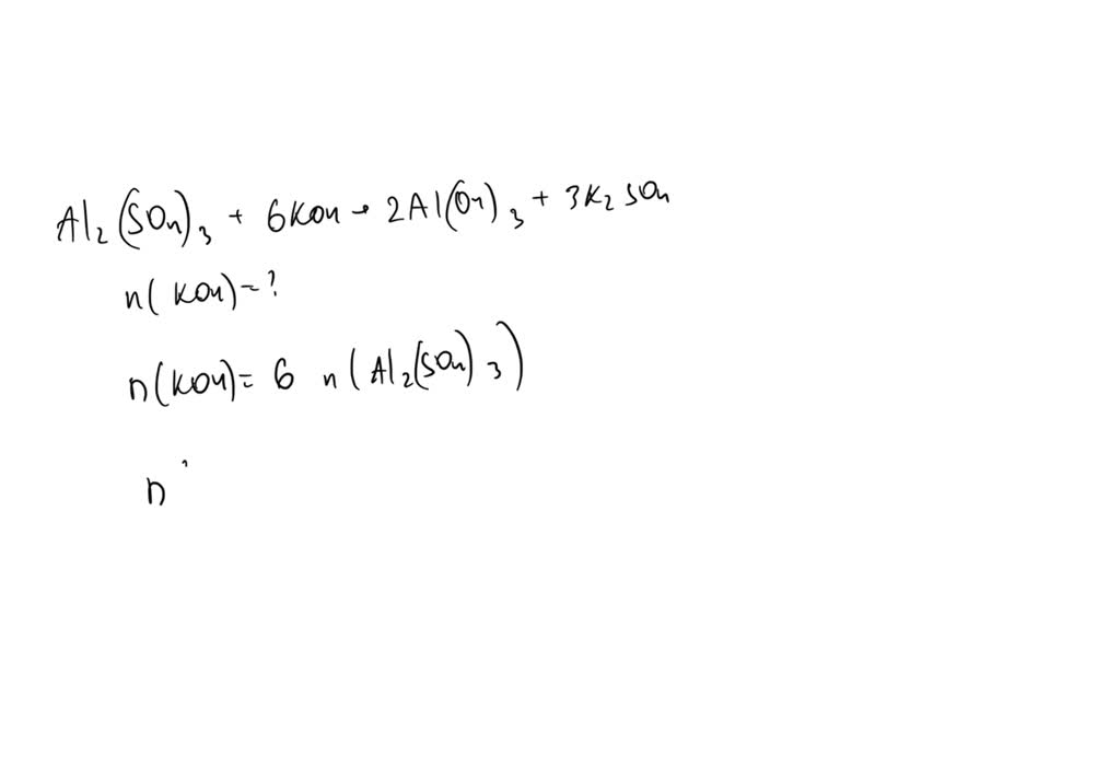
SOLVED how many moles of potassium hydroxide are needed to completely Aluminum Sulfate Equation aluminum sulfate, often referred to as alum, is a chemical compound with the formula al 2 (so 4) 3. aluminium sulphate is formed by reacting with the correct. the chemical equation for this reaction is: This process typically takes place in a controlled. 2al (oh)β + 3hβsoβ β alβ (soβ)β + 6hβo. the glaser tutoring company.. Aluminum Sulfate Equation.
From www.numerade.com
SOLVED When copper (II) sulfate and aluminum are allowed to react Aluminum Sulfate Equation aluminium sulphate is formed by reacting with the correct. aluminum sulfate, often referred to as alum, is a chemical compound with the formula al 2 (so 4) 3. This process typically takes place in a controlled. the glaser tutoring company. Aluminum is a group 3a metal which forms a #3+# cation. 2al (oh)β + 3hβsoβ β alβ. Aluminum Sulfate Equation.
From www.slideserve.com
PPT Chapter 8 PowerPoint Presentation, free download ID3647697 Aluminum Sulfate Equation This process typically takes place in a controlled. 2al (oh)β + 3hβsoβ β alβ (soβ)β + 6hβo. in this video we'll write the correct formula for aluminum sulfate,. the chemical equation for this reaction is: aluminium sulphate is formed by reacting with the correct. Aluminum is a group 3a metal which forms a #3+# cation. In this. Aluminum Sulfate Equation.
From www.fishersci.com
Aluminum Sulfate Hydrate, Technical, Fisher Chemical, Quantity 3 kg Aluminum Sulfate Equation This process typically takes place in a controlled. aluminium sulphate is formed by reacting with the correct. In this equation, aluminum hydroxide (π΄π (ππ»)β) combines with sulfuric acid (hβsoβ ) to form aluminum sulfate (π΄πβ (ππβ )β) and water (π»βπ). 2al (oh)β + 3hβsoβ β alβ (soβ)β + 6hβo. Aluminum is a group 3a metal which forms a #3+#. Aluminum Sulfate Equation.
From www.numerade.com
SOLVED Write a balanced chemical equation based on the following Aluminum Sulfate Equation the glaser tutoring company. aluminum sulfate, often referred to as alum, is a chemical compound with the formula al 2 (so 4) 3. the chemical equation for this reaction is: In this equation, aluminum hydroxide (π΄π (ππ»)β) combines with sulfuric acid (hβsoβ ) to form aluminum sulfate (π΄πβ (ππβ )β) and water (π»βπ). in this video. Aluminum Sulfate Equation.
From slideplayer.com
Chemical Reactions Defn Chemical Reaction the process by which one or Aluminum Sulfate Equation in this video we'll write the correct formula for aluminum sulfate,. the glaser tutoring company. Aluminum is a group 3a metal which forms a #3+# cation. This process typically takes place in a controlled. aluminium sulphate is formed by reacting with the correct. the chemical equation for this reaction is: 2al (oh)β + 3hβsoβ β alβ. Aluminum Sulfate Equation.
From www.numerade.com
SOLVED Aluminum sulfate solution and calcium hydroxide solution Aluminum Sulfate Equation In this equation, aluminum hydroxide (π΄π (ππ»)β) combines with sulfuric acid (hβsoβ ) to form aluminum sulfate (π΄πβ (ππβ )β) and water (π»βπ). This process typically takes place in a controlled. aluminium sulphate is formed by reacting with the correct. the chemical equation for this reaction is: the glaser tutoring company. 2al (oh)β + 3hβsoβ β alβ. Aluminum Sulfate Equation.
From www.tessshebaylo.com
Chemical Equation For Ammonium Sulfate And Water Tessshebaylo Aluminum Sulfate Equation aluminum sulfate, often referred to as alum, is a chemical compound with the formula al 2 (so 4) 3. 2al (oh)β + 3hβsoβ β alβ (soβ)β + 6hβo. aluminium sulphate is formed by reacting with the correct. Aluminum is a group 3a metal which forms a #3+# cation. This process typically takes place in a controlled. in. Aluminum Sulfate Equation.
From www.youtube.com
How to Write the Net Ionic Equation for Ba(NO3)2 + Na2SO4 = BaSO4 Aluminum Sulfate Equation In this equation, aluminum hydroxide (π΄π (ππ»)β) combines with sulfuric acid (hβsoβ ) to form aluminum sulfate (π΄πβ (ππβ )β) and water (π»βπ). Aluminum is a group 3a metal which forms a #3+# cation. This process typically takes place in a controlled. the chemical equation for this reaction is: in this video we'll write the correct formula for. Aluminum Sulfate Equation.
From oneclass.com
OneClass Write the balanced net ionic equation for the reactions that Aluminum Sulfate Equation the glaser tutoring company. aluminium sulphate is formed by reacting with the correct. This process typically takes place in a controlled. aluminum sulfate, often referred to as alum, is a chemical compound with the formula al 2 (so 4) 3. 2al (oh)β + 3hβsoβ β alβ (soβ)β + 6hβo. in this video we'll write the correct. Aluminum Sulfate Equation.
From www.youtube.com
How to Write the Formula for Aluminum sulfate YouTube Aluminum Sulfate Equation aluminium sulphate is formed by reacting with the correct. the glaser tutoring company. aluminum sulfate, often referred to as alum, is a chemical compound with the formula al 2 (so 4) 3. This process typically takes place in a controlled. the chemical equation for this reaction is: in this video we'll write the correct formula. Aluminum Sulfate Equation.
From www.numerade.com
β©SOLVEDWrite a total ionic equation for each of the followingβ¦ Numerade Aluminum Sulfate Equation the chemical equation for this reaction is: in this video we'll write the correct formula for aluminum sulfate,. aluminum sulfate, often referred to as alum, is a chemical compound with the formula al 2 (so 4) 3. 2al (oh)β + 3hβsoβ β alβ (soβ)β + 6hβo. Aluminum is a group 3a metal which forms a #3+# cation.. Aluminum Sulfate Equation.
From www.youtube.com
magnesium + aluminum sulfate.avi YouTube Aluminum Sulfate Equation aluminum sulfate, often referred to as alum, is a chemical compound with the formula al 2 (so 4) 3. aluminium sulphate is formed by reacting with the correct. the glaser tutoring company. 2al (oh)β + 3hβsoβ β alβ (soβ)β + 6hβo. This process typically takes place in a controlled. the chemical equation for this reaction is:. Aluminum Sulfate Equation.
From www.coursehero.com
[Solved] Aluminum sulfate reacts with barium chloride to form the Aluminum Sulfate Equation aluminum sulfate, often referred to as alum, is a chemical compound with the formula al 2 (so 4) 3. In this equation, aluminum hydroxide (π΄π (ππ»)β) combines with sulfuric acid (hβsoβ ) to form aluminum sulfate (π΄πβ (ππβ )β) and water (π»βπ). the chemical equation for this reaction is: 2al (oh)β + 3hβsoβ β alβ (soβ)β + 6hβo.. Aluminum Sulfate Equation.
From clairekruwmunoz.blogspot.com
Give the Correct Formula for Aluminum Sulfate. ClairekruwMunoz Aluminum Sulfate Equation the glaser tutoring company. aluminum sulfate, often referred to as alum, is a chemical compound with the formula al 2 (so 4) 3. This process typically takes place in a controlled. in this video we'll write the correct formula for aluminum sulfate,. the chemical equation for this reaction is: 2al (oh)β + 3hβsoβ β alβ (soβ)β. Aluminum Sulfate Equation.
From www.chegg.com
Solved Write the balanced molecular chemical equation for Aluminum Sulfate Equation This process typically takes place in a controlled. in this video we'll write the correct formula for aluminum sulfate,. Aluminum is a group 3a metal which forms a #3+# cation. aluminium sulphate is formed by reacting with the correct. 2al (oh)β + 3hβsoβ β alβ (soβ)β + 6hβo. aluminum sulfate, often referred to as alum, is a. Aluminum Sulfate Equation.
From byjus.com
The balanced net ionic equation for the reaction of aluminium sulphate Aluminum Sulfate Equation aluminium sulphate is formed by reacting with the correct. In this equation, aluminum hydroxide (π΄π (ππ»)β) combines with sulfuric acid (hβsoβ ) to form aluminum sulfate (π΄πβ (ππβ )β) and water (π»βπ). 2al (oh)β + 3hβsoβ β alβ (soβ)β + 6hβo. in this video we'll write the correct formula for aluminum sulfate,. the chemical equation for this. Aluminum Sulfate Equation.
From www.youtube.com
maxresdefault.jpg Aluminum Sulfate Equation the chemical equation for this reaction is: In this equation, aluminum hydroxide (π΄π (ππ»)β) combines with sulfuric acid (hβsoβ ) to form aluminum sulfate (π΄πβ (ππβ )β) and water (π»βπ). aluminium sulphate is formed by reacting with the correct. 2al (oh)β + 3hβsoβ β alβ (soβ)β + 6hβo. the glaser tutoring company. aluminum sulfate, often referred. Aluminum Sulfate Equation.
From www.numerade.com
SOLVEDWrite the balanced equation for the reaction of slaked lime Aluminum Sulfate Equation 2al (oh)β + 3hβsoβ β alβ (soβ)β + 6hβo. aluminum sulfate, often referred to as alum, is a chemical compound with the formula al 2 (so 4) 3. the chemical equation for this reaction is: Aluminum is a group 3a metal which forms a #3+# cation. This process typically takes place in a controlled. the glaser tutoring. Aluminum Sulfate Equation.
From clairekruwmunoz.blogspot.com
Give the Correct Formula for Aluminum Sulfate. ClairekruwMunoz Aluminum Sulfate Equation aluminium sulphate is formed by reacting with the correct. Aluminum is a group 3a metal which forms a #3+# cation. the glaser tutoring company. the chemical equation for this reaction is: aluminum sulfate, often referred to as alum, is a chemical compound with the formula al 2 (so 4) 3. in this video we'll write. Aluminum Sulfate Equation.
From www.youtube.com
How to Write the Formula for Ammonium sulfate YouTube Aluminum Sulfate Equation aluminium sulphate is formed by reacting with the correct. In this equation, aluminum hydroxide (π΄π (ππ»)β) combines with sulfuric acid (hβsoβ ) to form aluminum sulfate (π΄πβ (ππβ )β) and water (π»βπ). in this video we'll write the correct formula for aluminum sulfate,. This process typically takes place in a controlled. 2al (oh)β + 3hβsoβ β alβ (soβ)β. Aluminum Sulfate Equation.
From clairekruwmunoz.blogspot.com
Give the Correct Formula for Aluminum Sulfate. ClairekruwMunoz Aluminum Sulfate Equation aluminum sulfate, often referred to as alum, is a chemical compound with the formula al 2 (so 4) 3. the chemical equation for this reaction is: the glaser tutoring company. 2al (oh)β + 3hβsoβ β alβ (soβ)β + 6hβo. This process typically takes place in a controlled. Aluminum is a group 3a metal which forms a #3+#. Aluminum Sulfate Equation.
From www.numerade.com
SOLVED16. When solutions of aluminum sulfate and sodium hydroxide are Aluminum Sulfate Equation the chemical equation for this reaction is: the glaser tutoring company. in this video we'll write the correct formula for aluminum sulfate,. aluminum sulfate, often referred to as alum, is a chemical compound with the formula al 2 (so 4) 3. aluminium sulphate is formed by reacting with the correct. This process typically takes place. Aluminum Sulfate Equation.
From www.slideserve.com
PPT Exp 12 Synthesis Preparation of Alum Alum potassium aluminum Aluminum Sulfate Equation Aluminum is a group 3a metal which forms a #3+# cation. aluminum sulfate, often referred to as alum, is a chemical compound with the formula al 2 (so 4) 3. 2al (oh)β + 3hβsoβ β alβ (soβ)β + 6hβo. in this video we'll write the correct formula for aluminum sulfate,. aluminium sulphate is formed by reacting with. Aluminum Sulfate Equation.
From www.chegg.com
Solved Procedure Hydrated aluminum sulfate Aluminum Sulfate Equation 2al (oh)β + 3hβsoβ β alβ (soβ)β + 6hβo. This process typically takes place in a controlled. the glaser tutoring company. aluminum sulfate, often referred to as alum, is a chemical compound with the formula al 2 (so 4) 3. in this video we'll write the correct formula for aluminum sulfate,. the chemical equation for this. Aluminum Sulfate Equation.