Insurance Agent License Texas . passing your texas insurance license exam is a pivotal part of becoming a licensed insurance agent in the state of texas. Find out how to get a temporary license, a. if you’re thinking about becoming an insurance agent in texas, the first step you’ll need to take in order to kickstart your career is to obtain a texas insurance license. getting a texas insurance license is often the first step if you want to pursue a career as an insurance professional in the lone star state. renew an insurance license online with the texas department of insurance or find information about active insurance agents,. Just like in other states, the process isn’t always. getting your texas property and casualty license is the first step toward becoming a p&c insurance agent in texas. learn about the different types of licenses, exams, and fees for insurance careers in texas. Select a license type below to apply for that license or learn how to: agent and adjuster licensing.
from www.suretybonds.org
getting your texas property and casualty license is the first step toward becoming a p&c insurance agent in texas. Just like in other states, the process isn’t always. Find out how to get a temporary license, a. getting a texas insurance license is often the first step if you want to pursue a career as an insurance professional in the lone star state. learn about the different types of licenses, exams, and fees for insurance careers in texas. passing your texas insurance license exam is a pivotal part of becoming a licensed insurance agent in the state of texas. Select a license type below to apply for that license or learn how to: agent and adjuster licensing. renew an insurance license online with the texas department of insurance or find information about active insurance agents,. if you’re thinking about becoming an insurance agent in texas, the first step you’ll need to take in order to kickstart your career is to obtain a texas insurance license.
Your Guide to Getting a Texas Insurance Agent License
Insurance Agent License Texas learn about the different types of licenses, exams, and fees for insurance careers in texas. getting your texas property and casualty license is the first step toward becoming a p&c insurance agent in texas. Just like in other states, the process isn’t always. passing your texas insurance license exam is a pivotal part of becoming a licensed insurance agent in the state of texas. agent and adjuster licensing. Select a license type below to apply for that license or learn how to: getting a texas insurance license is often the first step if you want to pursue a career as an insurance professional in the lone star state. Find out how to get a temporary license, a. renew an insurance license online with the texas department of insurance or find information about active insurance agents,. if you’re thinking about becoming an insurance agent in texas, the first step you’ll need to take in order to kickstart your career is to obtain a texas insurance license. learn about the different types of licenses, exams, and fees for insurance careers in texas.
From www.youtube.com
How to Get Insurance Agent License StepbyStep Guide for Beginners Insurance Agent License Texas passing your texas insurance license exam is a pivotal part of becoming a licensed insurance agent in the state of texas. agent and adjuster licensing. if you’re thinking about becoming an insurance agent in texas, the first step you’ll need to take in order to kickstart your career is to obtain a texas insurance license. Find out. Insurance Agent License Texas.
From polasteinando.blogspot.com
Insurance Agent License Texas Licensing Application For Insurance Insurance Agent License Texas getting your texas property and casualty license is the first step toward becoming a p&c insurance agent in texas. agent and adjuster licensing. passing your texas insurance license exam is a pivotal part of becoming a licensed insurance agent in the state of texas. renew an insurance license online with the texas department of insurance or. Insurance Agent License Texas.
From excelspreadsheetsgroup.com
Texas Department Of Insurance License Renewal Financial Report Insurance Agent License Texas agent and adjuster licensing. getting your texas property and casualty license is the first step toward becoming a p&c insurance agent in texas. passing your texas insurance license exam is a pivotal part of becoming a licensed insurance agent in the state of texas. if you’re thinking about becoming an insurance agent in texas, the first. Insurance Agent License Texas.
From insurancenoon.com
Texas Department of Insurance License Agent Lookup Insurance Noon Insurance Agent License Texas agent and adjuster licensing. if you’re thinking about becoming an insurance agent in texas, the first step you’ll need to take in order to kickstart your career is to obtain a texas insurance license. passing your texas insurance license exam is a pivotal part of becoming a licensed insurance agent in the state of texas. Select a. Insurance Agent License Texas.
From insurance-prop2.blogspot.com
Insurance Agent License Texas insurance Insurance Agent License Texas passing your texas insurance license exam is a pivotal part of becoming a licensed insurance agent in the state of texas. learn about the different types of licenses, exams, and fees for insurance careers in texas. getting a texas insurance license is often the first step if you want to pursue a career as an insurance professional. Insurance Agent License Texas.
From excelspreadsheetsgroup.com
Texas Insurance License Renewal Financial Report Insurance Agent License Texas passing your texas insurance license exam is a pivotal part of becoming a licensed insurance agent in the state of texas. getting a texas insurance license is often the first step if you want to pursue a career as an insurance professional in the lone star state. Just like in other states, the process isn’t always. learn. Insurance Agent License Texas.
From www.youtube.com
Apply for Tx Dept Insurance License YouTube Insurance Agent License Texas learn about the different types of licenses, exams, and fees for insurance careers in texas. renew an insurance license online with the texas department of insurance or find information about active insurance agents,. agent and adjuster licensing. getting your texas property and casualty license is the first step toward becoming a p&c insurance agent in texas.. Insurance Agent License Texas.
From www.youtube.com
How to Get an Insurance License in Texas to Sell Life and Health Insurance Agent License Texas agent and adjuster licensing. Find out how to get a temporary license, a. Select a license type below to apply for that license or learn how to: renew an insurance license online with the texas department of insurance or find information about active insurance agents,. if you’re thinking about becoming an insurance agent in texas, the first. Insurance Agent License Texas.
From excelspreadsheetsgroup.com
Texas Crop Insurance Agent License Financial Report Insurance Agent License Texas agent and adjuster licensing. Select a license type below to apply for that license or learn how to: Just like in other states, the process isn’t always. passing your texas insurance license exam is a pivotal part of becoming a licensed insurance agent in the state of texas. if you’re thinking about becoming an insurance agent in. Insurance Agent License Texas.
From www.insurancebusinessmag.com
How to get an insurance agent license a stepbystep guide Insurance Insurance Agent License Texas agent and adjuster licensing. if you’re thinking about becoming an insurance agent in texas, the first step you’ll need to take in order to kickstart your career is to obtain a texas insurance license. Find out how to get a temporary license, a. Just like in other states, the process isn’t always. Select a license type below to. Insurance Agent License Texas.
From excelspreadsheetsgroup.com
Texas Insurance License Renewal Financial Report Insurance Agent License Texas Find out how to get a temporary license, a. if you’re thinking about becoming an insurance agent in texas, the first step you’ll need to take in order to kickstart your career is to obtain a texas insurance license. getting your texas property and casualty license is the first step toward becoming a p&c insurance agent in texas.. Insurance Agent License Texas.
From excelspreadsheetsgroup.com
Check Insurance License Texas Financial Report Insurance Agent License Texas passing your texas insurance license exam is a pivotal part of becoming a licensed insurance agent in the state of texas. if you’re thinking about becoming an insurance agent in texas, the first step you’ll need to take in order to kickstart your career is to obtain a texas insurance license. getting your texas property and casualty. Insurance Agent License Texas.
From americasprofessor.com
How to pass the Texas Insurance Licensing Exam Insurance Agent License Texas if you’re thinking about becoming an insurance agent in texas, the first step you’ll need to take in order to kickstart your career is to obtain a texas insurance license. passing your texas insurance license exam is a pivotal part of becoming a licensed insurance agent in the state of texas. getting your texas property and casualty. Insurance Agent License Texas.
From excelspreadsheetsgroup.com
Auto Insurance Agent License Texas Financial Report Insurance Agent License Texas Select a license type below to apply for that license or learn how to: Find out how to get a temporary license, a. agent and adjuster licensing. passing your texas insurance license exam is a pivotal part of becoming a licensed insurance agent in the state of texas. getting a texas insurance license is often the first. Insurance Agent License Texas.
From careeremployer.com
How to Get Insurance Agent License in 2024 State Licensing Insurance Agent License Texas Just like in other states, the process isn’t always. Find out how to get a temporary license, a. learn about the different types of licenses, exams, and fees for insurance careers in texas. renew an insurance license online with the texas department of insurance or find information about active insurance agents,. agent and adjuster licensing. Select a. Insurance Agent License Texas.
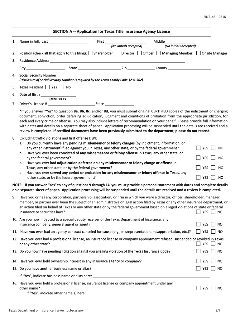
From www.templateroller.com
Form FINT143 Download Fillable PDF or Fill Online Application for Title Insurance Agent License Texas Find out how to get a temporary license, a. getting a texas insurance license is often the first step if you want to pursue a career as an insurance professional in the lone star state. agent and adjuster licensing. getting your texas property and casualty license is the first step toward becoming a p&c insurance agent in. Insurance Agent License Texas.
From www.pdffiller.com
Fillable Online tdi texas Application for Texas Title Insurance Agents Insurance Agent License Texas getting your texas property and casualty license is the first step toward becoming a p&c insurance agent in texas. passing your texas insurance license exam is a pivotal part of becoming a licensed insurance agent in the state of texas. Select a license type below to apply for that license or learn how to: learn about the. Insurance Agent License Texas.
From excelspreadsheetsgroup.com
Health Insurance Agent License Texas Financial Report Insurance Agent License Texas getting your texas property and casualty license is the first step toward becoming a p&c insurance agent in texas. passing your texas insurance license exam is a pivotal part of becoming a licensed insurance agent in the state of texas. renew an insurance license online with the texas department of insurance or find information about active insurance. Insurance Agent License Texas.
From www.slideshare.net
Texas Life Insurance Agent License Insurance Agent License Texas Select a license type below to apply for that license or learn how to: getting a texas insurance license is often the first step if you want to pursue a career as an insurance professional in the lone star state. Find out how to get a temporary license, a. agent and adjuster licensing. getting your texas property. Insurance Agent License Texas.
From edit-pdf.dochub.com
Texas insurance license application Fill out & sign online DocHub Insurance Agent License Texas agent and adjuster licensing. passing your texas insurance license exam is a pivotal part of becoming a licensed insurance agent in the state of texas. learn about the different types of licenses, exams, and fees for insurance careers in texas. getting your texas property and casualty license is the first step toward becoming a p&c insurance. Insurance Agent License Texas.
From alllinestraining.com
Texas Insurance Agent License — AllLines Training® Insurance Agent License Texas agent and adjuster licensing. Find out how to get a temporary license, a. Just like in other states, the process isn’t always. renew an insurance license online with the texas department of insurance or find information about active insurance agents,. learn about the different types of licenses, exams, and fees for insurance careers in texas. getting. Insurance Agent License Texas.
From excelspreadsheetsgroup.com
Copy Of Texas Insurance License Financial Report Insurance Agent License Texas getting a texas insurance license is often the first step if you want to pursue a career as an insurance professional in the lone star state. Just like in other states, the process isn’t always. passing your texas insurance license exam is a pivotal part of becoming a licensed insurance agent in the state of texas. Select a. Insurance Agent License Texas.
From www.youtube.com
How to Pass Your Texas Insurance License Exam the First Time YouTube Insurance Agent License Texas Select a license type below to apply for that license or learn how to: getting a texas insurance license is often the first step if you want to pursue a career as an insurance professional in the lone star state. agent and adjuster licensing. passing your texas insurance license exam is a pivotal part of becoming a. Insurance Agent License Texas.
From content.govdelivery.com
How to print your insurance license Insurance Agent License Texas Find out how to get a temporary license, a. agent and adjuster licensing. getting your texas property and casualty license is the first step toward becoming a p&c insurance agent in texas. learn about the different types of licenses, exams, and fees for insurance careers in texas. getting a texas insurance license is often the first. Insurance Agent License Texas.
From www.suretybonds.org
Your Guide to Getting a Texas Insurance Agent License Insurance Agent License Texas renew an insurance license online with the texas department of insurance or find information about active insurance agents,. getting a texas insurance license is often the first step if you want to pursue a career as an insurance professional in the lone star state. learn about the different types of licenses, exams, and fees for insurance careers. Insurance Agent License Texas.
From www.youtube.com
How to a Life Insurance Agent in Texas YouTube Insurance Agent License Texas getting your texas property and casualty license is the first step toward becoming a p&c insurance agent in texas. Find out how to get a temporary license, a. Select a license type below to apply for that license or learn how to: agent and adjuster licensing. getting a texas insurance license is often the first step if. Insurance Agent License Texas.
From exosoucah.blob.core.windows.net
Texas Real Estate License Attorney at Lauren Salgado blog Insurance Agent License Texas agent and adjuster licensing. Select a license type below to apply for that license or learn how to: getting your texas property and casualty license is the first step toward becoming a p&c insurance agent in texas. Just like in other states, the process isn’t always. if you’re thinking about becoming an insurance agent in texas, the. Insurance Agent License Texas.
From www.suretybonds.com
Texas Public Insurance Adjuster Licensing A 2018 Guide Insurance Agent License Texas Select a license type below to apply for that license or learn how to: if you’re thinking about becoming an insurance agent in texas, the first step you’ll need to take in order to kickstart your career is to obtain a texas insurance license. getting a texas insurance license is often the first step if you want to. Insurance Agent License Texas.
From www.templateroller.com
Form FINT143 Download Fillable PDF or Fill Online Application for Title Insurance Agent License Texas if you’re thinking about becoming an insurance agent in texas, the first step you’ll need to take in order to kickstart your career is to obtain a texas insurance license. Select a license type below to apply for that license or learn how to: learn about the different types of licenses, exams, and fees for insurance careers in. Insurance Agent License Texas.
From excelspreadsheetsgroup.com
Health Insurance Agent License Texas Financial Report Insurance Agent License Texas agent and adjuster licensing. if you’re thinking about becoming an insurance agent in texas, the first step you’ll need to take in order to kickstart your career is to obtain a texas insurance license. Just like in other states, the process isn’t always. getting your texas property and casualty license is the first step toward becoming a. Insurance Agent License Texas.
From www.suretybonds.org
Your Guide to Getting a Texas Insurance Agent License Insurance Agent License Texas getting a texas insurance license is often the first step if you want to pursue a career as an insurance professional in the lone star state. if you’re thinking about becoming an insurance agent in texas, the first step you’ll need to take in order to kickstart your career is to obtain a texas insurance license. Find out. Insurance Agent License Texas.
From polasteinando.blogspot.com
Insurance Agent License Texas Licensing Application For Insurance Insurance Agent License Texas Find out how to get a temporary license, a. getting a texas insurance license is often the first step if you want to pursue a career as an insurance professional in the lone star state. Select a license type below to apply for that license or learn how to: renew an insurance license online with the texas department. Insurance Agent License Texas.
From excelspreadsheetsgroup.com
Texas Insurance License Financial Report Insurance Agent License Texas if you’re thinking about becoming an insurance agent in texas, the first step you’ll need to take in order to kickstart your career is to obtain a texas insurance license. learn about the different types of licenses, exams, and fees for insurance careers in texas. Just like in other states, the process isn’t always. agent and adjuster. Insurance Agent License Texas.
From auditstudent.com
How Much Does It Cost to Get a Real Estate License in Texas? Audit Insurance Agent License Texas Just like in other states, the process isn’t always. Find out how to get a temporary license, a. getting a texas insurance license is often the first step if you want to pursue a career as an insurance professional in the lone star state. getting your texas property and casualty license is the first step toward becoming a. Insurance Agent License Texas.
From simpletermlife.com
Texas Simple Term Life Insurance Agent License Texas getting your texas property and casualty license is the first step toward becoming a p&c insurance agent in texas. learn about the different types of licenses, exams, and fees for insurance careers in texas. Select a license type below to apply for that license or learn how to: getting a texas insurance license is often the first. Insurance Agent License Texas.