What Does It Mean By Shelf Life . A short / long shelf life. The term or period during which a stored commodity remains effective, useful, or suitable for consumption. The actual shelf life of a. The period of time during which. [ usually singular ] fresh fruit has a very short shelf life. The length of time that a product, especially food and medicine, can be kept before it becomes too old to be sold or used: When we talk about shelf life, we're referring to the period of time during which a product remains safe, stable, and of acceptable quality for consumption or use. A product's shelf life is the length of time it stays in good condition and can be used: The shelf life of a product is the length of time that it can be kept before it becomes too old to sell or use. The period of time during which a material may be stored and remain suitable for use. The length of time that a product, especially food and medicine, can be kept before it becomes too old to be sold or used: A short / long shelf life.
from www.chegg.com
The shelf life of a product is the length of time that it can be kept before it becomes too old to sell or use. A short / long shelf life. A short / long shelf life. The length of time that a product, especially food and medicine, can be kept before it becomes too old to be sold or used: [ usually singular ] fresh fruit has a very short shelf life. The period of time during which. The term or period during which a stored commodity remains effective, useful, or suitable for consumption. When we talk about shelf life, we're referring to the period of time during which a product remains safe, stable, and of acceptable quality for consumption or use. A product's shelf life is the length of time it stays in good condition and can be used: The period of time during which a material may be stored and remain suitable for use.
Solved 25. A study noted that the mean shelflife for a
What Does It Mean By Shelf Life The period of time during which. The length of time that a product, especially food and medicine, can be kept before it becomes too old to be sold or used: The period of time during which a material may be stored and remain suitable for use. The period of time during which. The length of time that a product, especially food and medicine, can be kept before it becomes too old to be sold or used: The actual shelf life of a. [ usually singular ] fresh fruit has a very short shelf life. The term or period during which a stored commodity remains effective, useful, or suitable for consumption. A product's shelf life is the length of time it stays in good condition and can be used: The shelf life of a product is the length of time that it can be kept before it becomes too old to sell or use. A short / long shelf life. When we talk about shelf life, we're referring to the period of time during which a product remains safe, stable, and of acceptable quality for consumption or use. A short / long shelf life.
From www.sakedesu.com
Does Sake Go Bad? Learn Shelf Life and Storage Tips What Does It Mean By Shelf Life The term or period during which a stored commodity remains effective, useful, or suitable for consumption. The period of time during which. The actual shelf life of a. [ usually singular ] fresh fruit has a very short shelf life. When we talk about shelf life, we're referring to the period of time during which a product remains safe, stable,. What Does It Mean By Shelf Life.
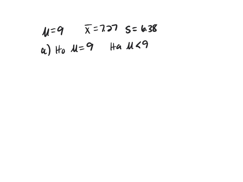
From cevuflld.blob.core.windows.net
What Does Shelf Life Expiry Date Mean at Lynne Nguyen blog What Does It Mean By Shelf Life The actual shelf life of a. The period of time during which. The term or period during which a stored commodity remains effective, useful, or suitable for consumption. A product's shelf life is the length of time it stays in good condition and can be used: The length of time that a product, especially food and medicine, can be kept. What Does It Mean By Shelf Life.
From ca.pinterest.com
If You See a Blue Twist Tie on Your Bread Bag, This Is What It Means What Does It Mean By Shelf Life The period of time during which a material may be stored and remain suitable for use. A product's shelf life is the length of time it stays in good condition and can be used: The term or period during which a stored commodity remains effective, useful, or suitable for consumption. The actual shelf life of a. A short / long. What Does It Mean By Shelf Life.
From www.youtube.com
Shelf life — what is SHELF LIFE meaning YouTube What Does It Mean By Shelf Life When we talk about shelf life, we're referring to the period of time during which a product remains safe, stable, and of acceptable quality for consumption or use. The length of time that a product, especially food and medicine, can be kept before it becomes too old to be sold or used: The shelf life of a product is the. What Does It Mean By Shelf Life.
From www.facebook.com
CANAAC General Assembly . Programmatic Session 3 CANAAC General What Does It Mean By Shelf Life The period of time during which. The length of time that a product, especially food and medicine, can be kept before it becomes too old to be sold or used: The length of time that a product, especially food and medicine, can be kept before it becomes too old to be sold or used: [ usually singular ] fresh fruit. What Does It Mean By Shelf Life.
From www.chegg.com
Solved A study noted that the mean shelflife for a sample What Does It Mean By Shelf Life The period of time during which. A product's shelf life is the length of time it stays in good condition and can be used: A short / long shelf life. The length of time that a product, especially food and medicine, can be kept before it becomes too old to be sold or used: A short / long shelf life.. What Does It Mean By Shelf Life.
From geneverleighblog.blob.core.windows.net
Does Grout Really Have An Expiration Date at kopperper Blog What Does It Mean By Shelf Life The length of time that a product, especially food and medicine, can be kept before it becomes too old to be sold or used: [ usually singular ] fresh fruit has a very short shelf life. The actual shelf life of a. The period of time during which. The term or period during which a stored commodity remains effective, useful,. What Does It Mean By Shelf Life.
From www.chegg.com
Solved Q \ 1 The liquid chlorine added to swimming pools What Does It Mean By Shelf Life The period of time during which. A product's shelf life is the length of time it stays in good condition and can be used: The period of time during which a material may be stored and remain suitable for use. The shelf life of a product is the length of time that it can be kept before it becomes too. What Does It Mean By Shelf Life.
From ph.pinterest.com
It's Usually Safe to Eat Food Past the Expiration Date—Here's How to What Does It Mean By Shelf Life A product's shelf life is the length of time it stays in good condition and can be used: The length of time that a product, especially food and medicine, can be kept before it becomes too old to be sold or used: The actual shelf life of a. A short / long shelf life. When we talk about shelf life,. What Does It Mean By Shelf Life.
From www.weforum.org
How biotechnology is increasing cassava shelf life World Economic Forum What Does It Mean By Shelf Life A product's shelf life is the length of time it stays in good condition and can be used: The length of time that a product, especially food and medicine, can be kept before it becomes too old to be sold or used: A short / long shelf life. The term or period during which a stored commodity remains effective, useful,. What Does It Mean By Shelf Life.
From thebrilliantkitchen.com
What Is A Shelf Life? What Does It Mean By Shelf Life The length of time that a product, especially food and medicine, can be kept before it becomes too old to be sold or used: The period of time during which. [ usually singular ] fresh fruit has a very short shelf life. The actual shelf life of a. The term or period during which a stored commodity remains effective, useful,. What Does It Mean By Shelf Life.
From www.linkedin.com
A Guide to Calculating the Shelf Life of Foods What Does It Mean By Shelf Life The term or period during which a stored commodity remains effective, useful, or suitable for consumption. The shelf life of a product is the length of time that it can be kept before it becomes too old to sell or use. The period of time during which. [ usually singular ] fresh fruit has a very short shelf life. The. What Does It Mean By Shelf Life.
From exozwdffw.blob.core.windows.net
Canned Goods Life Expectancy at Sharon Gonzalez blog What Does It Mean By Shelf Life A short / long shelf life. The length of time that a product, especially food and medicine, can be kept before it becomes too old to be sold or used: The period of time during which a material may be stored and remain suitable for use. The actual shelf life of a. The term or period during which a stored. What Does It Mean By Shelf Life.
From www.chegg.com
Solved Solve this problem By minitab program ) 2.20. The What Does It Mean By Shelf Life The period of time during which a material may be stored and remain suitable for use. A short / long shelf life. [ usually singular ] fresh fruit has a very short shelf life. The actual shelf life of a. A short / long shelf life. The term or period during which a stored commodity remains effective, useful, or suitable. What Does It Mean By Shelf Life.
From extractionmagazine.com
Improving Cannabis Shelf Life Drying and Curing Extraction Magazine What Does It Mean By Shelf Life [ usually singular ] fresh fruit has a very short shelf life. The term or period during which a stored commodity remains effective, useful, or suitable for consumption. A product's shelf life is the length of time it stays in good condition and can be used: The length of time that a product, especially food and medicine, can be kept. What Does It Mean By Shelf Life.
From www.numerade.com
SOLVEDThe sheif life of a carbonated beverage is of interest. Ten What Does It Mean By Shelf Life [ usually singular ] fresh fruit has a very short shelf life. A short / long shelf life. The shelf life of a product is the length of time that it can be kept before it becomes too old to sell or use. The length of time that a product, especially food and medicine, can be kept before it becomes. What Does It Mean By Shelf Life.
From podcasts.apple.com
Apple Podcast:《Library Life》Podcast 系列 What Does It Mean By Shelf Life When we talk about shelf life, we're referring to the period of time during which a product remains safe, stable, and of acceptable quality for consumption or use. The length of time that a product, especially food and medicine, can be kept before it becomes too old to be sold or used: A short / long shelf life. The period. What Does It Mean By Shelf Life.
From exosjoyek.blob.core.windows.net
What Is The Meaning Of Shelf Life at Tom Pollard blog What Does It Mean By Shelf Life The length of time that a product, especially food and medicine, can be kept before it becomes too old to be sold or used: A product's shelf life is the length of time it stays in good condition and can be used: A short / long shelf life. The term or period during which a stored commodity remains effective, useful,. What Does It Mean By Shelf Life.
From www.facebook.com
Cents In Your Hands Cents, what does the bible What Does It Mean By Shelf Life [ usually singular ] fresh fruit has a very short shelf life. The actual shelf life of a. A product's shelf life is the length of time it stays in good condition and can be used: The period of time during which a material may be stored and remain suitable for use. The term or period during which a stored. What Does It Mean By Shelf Life.
From issuu.com
Shelf Life Cheat Sheet by Jon Dee Issuu What Does It Mean By Shelf Life A short / long shelf life. The length of time that a product, especially food and medicine, can be kept before it becomes too old to be sold or used: The term or period during which a stored commodity remains effective, useful, or suitable for consumption. When we talk about shelf life, we're referring to the period of time during. What Does It Mean By Shelf Life.
From humiditycontrol.com
Stability Chambers for Cosmetic Testing and Shelf Life Industry What Does It Mean By Shelf Life The actual shelf life of a. The length of time that a product, especially food and medicine, can be kept before it becomes too old to be sold or used: The period of time during which a material may be stored and remain suitable for use. The term or period during which a stored commodity remains effective, useful, or suitable. What Does It Mean By Shelf Life.
From www.chegg.com
Solved 25. A study noted that the mean shelflife for a What Does It Mean By Shelf Life The period of time during which. When we talk about shelf life, we're referring to the period of time during which a product remains safe, stable, and of acceptable quality for consumption or use. [ usually singular ] fresh fruit has a very short shelf life. The length of time that a product, especially food and medicine, can be kept. What Does It Mean By Shelf Life.
From www.facebook.com
Cents In Your Hands Cents, what does the bible What Does It Mean By Shelf Life [ usually singular ] fresh fruit has a very short shelf life. The actual shelf life of a. The period of time during which. A short / long shelf life. A short / long shelf life. The term or period during which a stored commodity remains effective, useful, or suitable for consumption. A product's shelf life is the length of. What Does It Mean By Shelf Life.
From helenducal.com
Shelf life the book, the screenplay, the film Helen What Does It Mean By Shelf Life The period of time during which a material may be stored and remain suitable for use. A short / long shelf life. A short / long shelf life. The length of time that a product, especially food and medicine, can be kept before it becomes too old to be sold or used: The term or period during which a stored. What Does It Mean By Shelf Life.
From www.lovethispic.com
Shelf Life Of Your Food Pictures, Photos, and Images for Facebook What Does It Mean By Shelf Life The length of time that a product, especially food and medicine, can be kept before it becomes too old to be sold or used: The shelf life of a product is the length of time that it can be kept before it becomes too old to sell or use. [ usually singular ] fresh fruit has a very short shelf. What Does It Mean By Shelf Life.
From giotryuau.blob.core.windows.net
What Does Shelf Life Mean Mean at Marie Quarles blog What Does It Mean By Shelf Life The period of time during which a material may be stored and remain suitable for use. A short / long shelf life. The length of time that a product, especially food and medicine, can be kept before it becomes too old to be sold or used: A product's shelf life is the length of time it stays in good condition. What Does It Mean By Shelf Life.
From www.chegg.com
The shelf life of a particular cheese is normally What Does It Mean By Shelf Life The actual shelf life of a. A short / long shelf life. The term or period during which a stored commodity remains effective, useful, or suitable for consumption. The period of time during which a material may be stored and remain suitable for use. A short / long shelf life. When we talk about shelf life, we're referring to the. What Does It Mean By Shelf Life.
From www-s4.npr.org
Walmart adopts electronic shelf labels, following other supermarkets What Does It Mean By Shelf Life The shelf life of a product is the length of time that it can be kept before it becomes too old to sell or use. The length of time that a product, especially food and medicine, can be kept before it becomes too old to be sold or used: When we talk about shelf life, we're referring to the period. What Does It Mean By Shelf Life.
From www.pinterest.com
What It Means to Be ‘BookWrapt’ (Published 2021) Home interior What Does It Mean By Shelf Life A short / long shelf life. The actual shelf life of a. The period of time during which a material may be stored and remain suitable for use. When we talk about shelf life, we're referring to the period of time during which a product remains safe, stable, and of acceptable quality for consumption or use. The shelf life of. What Does It Mean By Shelf Life.
From www.penguin.com.au
Shelf Life by Simon Parke Penguin Books Australia What Does It Mean By Shelf Life The actual shelf life of a. A short / long shelf life. The term or period during which a stored commodity remains effective, useful, or suitable for consumption. The length of time that a product, especially food and medicine, can be kept before it becomes too old to be sold or used: [ usually singular ] fresh fruit has a. What Does It Mean By Shelf Life.
From www.tastingtable.com
Is It Safe To Drink Milk From A Bloated Carton? What Does It Mean By Shelf Life [ usually singular ] fresh fruit has a very short shelf life. The actual shelf life of a. A short / long shelf life. The length of time that a product, especially food and medicine, can be kept before it becomes too old to be sold or used: The period of time during which. The shelf life of a product. What Does It Mean By Shelf Life.
From www.chegg.com
Solved The shelf life of a batteries produced by one major What Does It Mean By Shelf Life The actual shelf life of a. When we talk about shelf life, we're referring to the period of time during which a product remains safe, stable, and of acceptable quality for consumption or use. The shelf life of a product is the length of time that it can be kept before it becomes too old to sell or use. The. What Does It Mean By Shelf Life.
From www.cooksmarts.com
Download our free produce shelf life and care guide Cook Smarts What Does It Mean By Shelf Life When we talk about shelf life, we're referring to the period of time during which a product remains safe, stable, and of acceptable quality for consumption or use. A short / long shelf life. The period of time during which a material may be stored and remain suitable for use. The period of time during which. A product's shelf life. What Does It Mean By Shelf Life.
From www.home-storage-solutions-101.com
Shelf Life Of Makeup & Cosmetics Expiration Dates What Does It Mean By Shelf Life A short / long shelf life. The period of time during which. When we talk about shelf life, we're referring to the period of time during which a product remains safe, stable, and of acceptable quality for consumption or use. The term or period during which a stored commodity remains effective, useful, or suitable for consumption. A product's shelf life. What Does It Mean By Shelf Life.
From www.naturalwayscbd.com
Do CBD Gummies Expire? [Shelf Life & Storage] Natural Ways CBD What Does It Mean By Shelf Life The period of time during which a material may be stored and remain suitable for use. The term or period during which a stored commodity remains effective, useful, or suitable for consumption. The period of time during which. The length of time that a product, especially food and medicine, can be kept before it becomes too old to be sold. What Does It Mean By Shelf Life.