Landlord Tenant Rules And Regulations Texas . A residential tenant is a. Topics include required disclosures, security deposits,. Under texas law, if a written or oral rental agreement exists, or if payment is accepted as rent, landlords and tenants have automatic rights. Article from nolo that discusses the basics of landlord and tenant law in texas. Eviction & other landlord issues. Section 92.001 of the texas property code defines a lease as “any written or oral agreement between a landlord and tenant. This page from the texas tenant advisor explains what landlords can and cannot charge as fees for late rent,. General explanation of residential tenant rights in texas. The duties of a landlord and the remedies of a tenant under this subchapter are in lieu of common law, other statutory law, and local.
from www.scribd.com
Under texas law, if a written or oral rental agreement exists, or if payment is accepted as rent, landlords and tenants have automatic rights. Article from nolo that discusses the basics of landlord and tenant law in texas. Eviction & other landlord issues. Section 92.001 of the texas property code defines a lease as “any written or oral agreement between a landlord and tenant. Topics include required disclosures, security deposits,. General explanation of residential tenant rights in texas. The duties of a landlord and the remedies of a tenant under this subchapter are in lieu of common law, other statutory law, and local. A residential tenant is a. This page from the texas tenant advisor explains what landlords can and cannot charge as fees for late rent,.
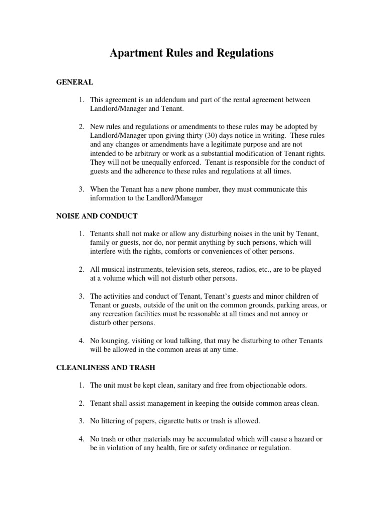
Tenant Rules and Regulations PDF Leasehold Estate Landlord
Landlord Tenant Rules And Regulations Texas Eviction & other landlord issues. General explanation of residential tenant rights in texas. This page from the texas tenant advisor explains what landlords can and cannot charge as fees for late rent,. Article from nolo that discusses the basics of landlord and tenant law in texas. A residential tenant is a. Section 92.001 of the texas property code defines a lease as “any written or oral agreement between a landlord and tenant. Topics include required disclosures, security deposits,. Under texas law, if a written or oral rental agreement exists, or if payment is accepted as rent, landlords and tenants have automatic rights. Eviction & other landlord issues. The duties of a landlord and the remedies of a tenant under this subchapter are in lieu of common law, other statutory law, and local.
From www.pinterest.com
landlord rules and regulations Being a landlord, Real estate forms Landlord Tenant Rules And Regulations Texas The duties of a landlord and the remedies of a tenant under this subchapter are in lieu of common law, other statutory law, and local. Section 92.001 of the texas property code defines a lease as “any written or oral agreement between a landlord and tenant. This page from the texas tenant advisor explains what landlords can and cannot charge. Landlord Tenant Rules And Regulations Texas.
From www.poplarhomes.com
Navigating tenant screening laws in Texas A guide for landlords Landlord Tenant Rules And Regulations Texas Section 92.001 of the texas property code defines a lease as “any written or oral agreement between a landlord and tenant. A residential tenant is a. Article from nolo that discusses the basics of landlord and tenant law in texas. Eviction & other landlord issues. The duties of a landlord and the remedies of a tenant under this subchapter are. Landlord Tenant Rules And Regulations Texas.
From www.uslegalforms.com
Texas Apartment Rules and Regulations Apartment Rules Regulations Landlord Tenant Rules And Regulations Texas Topics include required disclosures, security deposits,. General explanation of residential tenant rights in texas. The duties of a landlord and the remedies of a tenant under this subchapter are in lieu of common law, other statutory law, and local. Section 92.001 of the texas property code defines a lease as “any written or oral agreement between a landlord and tenant.. Landlord Tenant Rules And Regulations Texas.
From americanlandlord.com
TexasLandlordTenantLawThumbnail American Landlord Landlord Tenant Rules And Regulations Texas A residential tenant is a. The duties of a landlord and the remedies of a tenant under this subchapter are in lieu of common law, other statutory law, and local. Eviction & other landlord issues. This page from the texas tenant advisor explains what landlords can and cannot charge as fees for late rent,. Under texas law, if a written. Landlord Tenant Rules And Regulations Texas.
From www.avail.co
TexasLandlordTenantLaw Avail Landlord Tenant Rules And Regulations Texas Topics include required disclosures, security deposits,. Under texas law, if a written or oral rental agreement exists, or if payment is accepted as rent, landlords and tenants have automatic rights. A residential tenant is a. Article from nolo that discusses the basics of landlord and tenant law in texas. The duties of a landlord and the remedies of a tenant. Landlord Tenant Rules And Regulations Texas.
From ipropertymanagement.com
Texas Rental Lease Agreement Template [2024] PDF & DOC Landlord Tenant Rules And Regulations Texas Section 92.001 of the texas property code defines a lease as “any written or oral agreement between a landlord and tenant. Topics include required disclosures, security deposits,. The duties of a landlord and the remedies of a tenant under this subchapter are in lieu of common law, other statutory law, and local. This page from the texas tenant advisor explains. Landlord Tenant Rules And Regulations Texas.
From www.doorloop.com
House Rules For Renters The Top 15 Essential Rules Landlord Tenant Rules And Regulations Texas This page from the texas tenant advisor explains what landlords can and cannot charge as fees for late rent,. General explanation of residential tenant rights in texas. Topics include required disclosures, security deposits,. Under texas law, if a written or oral rental agreement exists, or if payment is accepted as rent, landlords and tenants have automatic rights. Eviction & other. Landlord Tenant Rules And Regulations Texas.
From www.doorloop.com
Texas Landlord Tenant Laws & Rights for 2022 Landlord Tenant Rules And Regulations Texas This page from the texas tenant advisor explains what landlords can and cannot charge as fees for late rent,. A residential tenant is a. Eviction & other landlord issues. Section 92.001 of the texas property code defines a lease as “any written or oral agreement between a landlord and tenant. The duties of a landlord and the remedies of a. Landlord Tenant Rules And Regulations Texas.
From www.signnow.com
Rental Rules and Regulations Form Complete with ease airSlate SignNow Landlord Tenant Rules And Regulations Texas Topics include required disclosures, security deposits,. Section 92.001 of the texas property code defines a lease as “any written or oral agreement between a landlord and tenant. The duties of a landlord and the remedies of a tenant under this subchapter are in lieu of common law, other statutory law, and local. General explanation of residential tenant rights in texas.. Landlord Tenant Rules And Regulations Texas.
From www.doorloop.com
House Rules For Renters The Top 15 Essential Rules Landlord Tenant Rules And Regulations Texas Section 92.001 of the texas property code defines a lease as “any written or oral agreement between a landlord and tenant. A residential tenant is a. Topics include required disclosures, security deposits,. The duties of a landlord and the remedies of a tenant under this subchapter are in lieu of common law, other statutory law, and local. Eviction & other. Landlord Tenant Rules And Regulations Texas.
From opendocs.com
Free Texas Standard Residential Lease Agreement PDF Landlord Tenant Rules And Regulations Texas Topics include required disclosures, security deposits,. General explanation of residential tenant rights in texas. Article from nolo that discusses the basics of landlord and tenant law in texas. Section 92.001 of the texas property code defines a lease as “any written or oral agreement between a landlord and tenant. The duties of a landlord and the remedies of a tenant. Landlord Tenant Rules And Regulations Texas.
From legaltemplates.net
Free Texas Residential Lease Agreement Template PDF & Word Landlord Tenant Rules And Regulations Texas This page from the texas tenant advisor explains what landlords can and cannot charge as fees for late rent,. Article from nolo that discusses the basics of landlord and tenant law in texas. A residential tenant is a. Under texas law, if a written or oral rental agreement exists, or if payment is accepted as rent, landlords and tenants have. Landlord Tenant Rules And Regulations Texas.
From fortworthpropertymanagement.co
Landlord/Tenant Law How to Protect Yourself and Your Rental Property Landlord Tenant Rules And Regulations Texas Article from nolo that discusses the basics of landlord and tenant law in texas. Under texas law, if a written or oral rental agreement exists, or if payment is accepted as rent, landlords and tenants have automatic rights. Topics include required disclosures, security deposits,. The duties of a landlord and the remedies of a tenant under this subchapter are in. Landlord Tenant Rules And Regulations Texas.
From www.uslegalforms.com
Texas Apartment Rules and Regulations Apartment Rules Regulations Landlord Tenant Rules And Regulations Texas Eviction & other landlord issues. A residential tenant is a. The duties of a landlord and the remedies of a tenant under this subchapter are in lieu of common law, other statutory law, and local. Topics include required disclosures, security deposits,. General explanation of residential tenant rights in texas. This page from the texas tenant advisor explains what landlords can. Landlord Tenant Rules And Regulations Texas.
From www.poplarhomes.com
Navigating tenant screening laws in Texas A guide for landlords Landlord Tenant Rules And Regulations Texas Topics include required disclosures, security deposits,. The duties of a landlord and the remedies of a tenant under this subchapter are in lieu of common law, other statutory law, and local. Eviction & other landlord issues. Section 92.001 of the texas property code defines a lease as “any written or oral agreement between a landlord and tenant. General explanation of. Landlord Tenant Rules And Regulations Texas.
From rentinbrevard.com
LandlordTenant Laws In Brevard County What You Need To Know Rent in Landlord Tenant Rules And Regulations Texas Eviction & other landlord issues. Section 92.001 of the texas property code defines a lease as “any written or oral agreement between a landlord and tenant. This page from the texas tenant advisor explains what landlords can and cannot charge as fees for late rent,. The duties of a landlord and the remedies of a tenant under this subchapter are. Landlord Tenant Rules And Regulations Texas.
From www.pinterest.com
Landlord Tenant Laws, Rules, and Regulations applicable in Texas, USA Landlord Tenant Rules And Regulations Texas A residential tenant is a. General explanation of residential tenant rights in texas. Eviction & other landlord issues. The duties of a landlord and the remedies of a tenant under this subchapter are in lieu of common law, other statutory law, and local. Section 92.001 of the texas property code defines a lease as “any written or oral agreement between. Landlord Tenant Rules And Regulations Texas.
From specializedpropertymanagementdallas.com
Understanding Texas LandlordTenant Laws and Regulations Landlord Tenant Rules And Regulations Texas Article from nolo that discusses the basics of landlord and tenant law in texas. A residential tenant is a. Eviction & other landlord issues. This page from the texas tenant advisor explains what landlords can and cannot charge as fees for late rent,. Topics include required disclosures, security deposits,. Section 92.001 of the texas property code defines a lease as. Landlord Tenant Rules And Regulations Texas.
From ipropertymanagement.com
Texas Landlord Tenant Laws [2023] Renter's Rights & FAQs Landlord Tenant Rules And Regulations Texas This page from the texas tenant advisor explains what landlords can and cannot charge as fees for late rent,. Section 92.001 of the texas property code defines a lease as “any written or oral agreement between a landlord and tenant. Article from nolo that discusses the basics of landlord and tenant law in texas. General explanation of residential tenant rights. Landlord Tenant Rules And Regulations Texas.
From www.pinterest.com
Texas Rental Laws Being a landlord, Texas, Landlord tenant Landlord Tenant Rules And Regulations Texas Topics include required disclosures, security deposits,. The duties of a landlord and the remedies of a tenant under this subchapter are in lieu of common law, other statutory law, and local. Section 92.001 of the texas property code defines a lease as “any written or oral agreement between a landlord and tenant. Article from nolo that discusses the basics of. Landlord Tenant Rules And Regulations Texas.
From specializedpropertymanagementhouston.com
LandlordTenantLaws Specialized Property Management Houston Landlord Tenant Rules And Regulations Texas Topics include required disclosures, security deposits,. Eviction & other landlord issues. Section 92.001 of the texas property code defines a lease as “any written or oral agreement between a landlord and tenant. The duties of a landlord and the remedies of a tenant under this subchapter are in lieu of common law, other statutory law, and local. A residential tenant. Landlord Tenant Rules And Regulations Texas.
From carplawfirm.com
A Quick Guide to Landlord Tenant Laws in Texas The Carpenter & Associates Landlord Tenant Rules And Regulations Texas This page from the texas tenant advisor explains what landlords can and cannot charge as fees for late rent,. The duties of a landlord and the remedies of a tenant under this subchapter are in lieu of common law, other statutory law, and local. Section 92.001 of the texas property code defines a lease as “any written or oral agreement. Landlord Tenant Rules And Regulations Texas.
From www.baselane.com
Texas Landlord Tenant Law Understanding Your Rights Baselane Landlord Tenant Rules And Regulations Texas Topics include required disclosures, security deposits,. Eviction & other landlord issues. Under texas law, if a written or oral rental agreement exists, or if payment is accepted as rent, landlords and tenants have automatic rights. General explanation of residential tenant rights in texas. Article from nolo that discusses the basics of landlord and tenant law in texas. This page from. Landlord Tenant Rules And Regulations Texas.
From jarrettlawfirm.com
How Does Landlord Tenant Mediation Work In Texas? Jarrett Law Firm Landlord Tenant Rules And Regulations Texas Eviction & other landlord issues. A residential tenant is a. This page from the texas tenant advisor explains what landlords can and cannot charge as fees for late rent,. Section 92.001 of the texas property code defines a lease as “any written or oral agreement between a landlord and tenant. General explanation of residential tenant rights in texas. The duties. Landlord Tenant Rules And Regulations Texas.
From opendocs.com
Free Texas Standard Residential Lease Agreement PDF Landlord Tenant Rules And Regulations Texas General explanation of residential tenant rights in texas. Eviction & other landlord issues. A residential tenant is a. This page from the texas tenant advisor explains what landlords can and cannot charge as fees for late rent,. Article from nolo that discusses the basics of landlord and tenant law in texas. The duties of a landlord and the remedies of. Landlord Tenant Rules And Regulations Texas.
From www.youtube.com
Eviction Process in Texas Laws for Landlords, Property Managers, and Landlord Tenant Rules And Regulations Texas The duties of a landlord and the remedies of a tenant under this subchapter are in lieu of common law, other statutory law, and local. Section 92.001 of the texas property code defines a lease as “any written or oral agreement between a landlord and tenant. Article from nolo that discusses the basics of landlord and tenant law in texas.. Landlord Tenant Rules And Regulations Texas.
From www.youtube.com
Texas Landlord Tenant Laws & Rights You Need to Know YouTube Landlord Tenant Rules And Regulations Texas The duties of a landlord and the remedies of a tenant under this subchapter are in lieu of common law, other statutory law, and local. A residential tenant is a. Under texas law, if a written or oral rental agreement exists, or if payment is accepted as rent, landlords and tenants have automatic rights. Eviction & other landlord issues. Section. Landlord Tenant Rules And Regulations Texas.
From honeycombinsurance.com
Texas Landlord Tenant Laws & Duties for 2022 Insurance Landlord Tenant Rules And Regulations Texas Article from nolo that discusses the basics of landlord and tenant law in texas. Topics include required disclosures, security deposits,. The duties of a landlord and the remedies of a tenant under this subchapter are in lieu of common law, other statutory law, and local. General explanation of residential tenant rights in texas. Section 92.001 of the texas property code. Landlord Tenant Rules And Regulations Texas.
From rollingwoodmanagement.com
Texas Landlord Tenant Law (Ultimate Landlord Guide) Landlord Tenant Rules And Regulations Texas Topics include required disclosures, security deposits,. Under texas law, if a written or oral rental agreement exists, or if payment is accepted as rent, landlords and tenants have automatic rights. General explanation of residential tenant rights in texas. The duties of a landlord and the remedies of a tenant under this subchapter are in lieu of common law, other statutory. Landlord Tenant Rules And Regulations Texas.
From www.scribd.com
Tenant Rules and Regulations PDF Leasehold Estate Landlord Landlord Tenant Rules And Regulations Texas Topics include required disclosures, security deposits,. This page from the texas tenant advisor explains what landlords can and cannot charge as fees for late rent,. The duties of a landlord and the remedies of a tenant under this subchapter are in lieu of common law, other statutory law, and local. Eviction & other landlord issues. General explanation of residential tenant. Landlord Tenant Rules And Regulations Texas.
From fitsmallbusiness.com
LandlordTenant Laws by State A Complete Landlord’s Guide Landlord Tenant Rules And Regulations Texas This page from the texas tenant advisor explains what landlords can and cannot charge as fees for late rent,. General explanation of residential tenant rights in texas. The duties of a landlord and the remedies of a tenant under this subchapter are in lieu of common law, other statutory law, and local. Eviction & other landlord issues. Section 92.001 of. Landlord Tenant Rules And Regulations Texas.
From www.legacy380.com
Blog Legacy Realty & Management Landlord Tenant Rules And Regulations Texas Topics include required disclosures, security deposits,. A residential tenant is a. This page from the texas tenant advisor explains what landlords can and cannot charge as fees for late rent,. The duties of a landlord and the remedies of a tenant under this subchapter are in lieu of common law, other statutory law, and local. Article from nolo that discusses. Landlord Tenant Rules And Regulations Texas.
From www.pinterest.ca
TENANT RULES AND REGULATIONS PDF Property management, Being a Landlord Tenant Rules And Regulations Texas Topics include required disclosures, security deposits,. Eviction & other landlord issues. General explanation of residential tenant rights in texas. Under texas law, if a written or oral rental agreement exists, or if payment is accepted as rent, landlords and tenants have automatic rights. Article from nolo that discusses the basics of landlord and tenant law in texas. This page from. Landlord Tenant Rules And Regulations Texas.
From www.azibo.com
The Ultimate Guide on Landlord Tenant Laws in Texas [2023] Azibo Landlord Tenant Rules And Regulations Texas Article from nolo that discusses the basics of landlord and tenant law in texas. The duties of a landlord and the remedies of a tenant under this subchapter are in lieu of common law, other statutory law, and local. Eviction & other landlord issues. Under texas law, if a written or oral rental agreement exists, or if payment is accepted. Landlord Tenant Rules And Regulations Texas.
From www.rpmlonghorn.com
LandlordTenant Laws Landlord Tenant Rules And Regulations Texas Topics include required disclosures, security deposits,. Article from nolo that discusses the basics of landlord and tenant law in texas. Eviction & other landlord issues. The duties of a landlord and the remedies of a tenant under this subchapter are in lieu of common law, other statutory law, and local. General explanation of residential tenant rights in texas. Under texas. Landlord Tenant Rules And Regulations Texas.