What Is The Mean Time Between Collisions For Electrons In This Wire . Where n is the # of electrons per m 3, e is the charge of the electron, τ is the collison time, and m e is the mass of the electron. The mean time between collisions can be calculated by dividing the average speed of the free electrons in the wire by the number of. 5 × 10 17 electrons/s current in a 1. In summary, the conversation is discussing how to compute the average time between collisions for conduction. 7 (page 762) a 2. (a) the mean time between collisions for electrons in an aluminum wire is 1. Estimate the mean free time between collisions for the conduction electrons in aluminum at 25 °c, and hence estimate their drift mobility. The relaxation time is closely related to the mean time of flight between collision and also to the mean free path of the conduction electrons,.
from www.youtube.com
Where n is the # of electrons per m 3, e is the charge of the electron, τ is the collison time, and m e is the mass of the electron. In summary, the conversation is discussing how to compute the average time between collisions for conduction. The relaxation time is closely related to the mean time of flight between collision and also to the mean free path of the conduction electrons,. Estimate the mean free time between collisions for the conduction electrons in aluminum at 25 °c, and hence estimate their drift mobility. (a) the mean time between collisions for electrons in an aluminum wire is 1. The mean time between collisions can be calculated by dividing the average speed of the free electrons in the wire by the number of. 7 (page 762) a 2. 5 × 10 17 electrons/s current in a 1.
Find the mean free path and the mean time interval between successive collisions of YouTube
What Is The Mean Time Between Collisions For Electrons In This Wire Where n is the # of electrons per m 3, e is the charge of the electron, τ is the collison time, and m e is the mass of the electron. Estimate the mean free time between collisions for the conduction electrons in aluminum at 25 °c, and hence estimate their drift mobility. In summary, the conversation is discussing how to compute the average time between collisions for conduction. The relaxation time is closely related to the mean time of flight between collision and also to the mean free path of the conduction electrons,. (a) the mean time between collisions for electrons in an aluminum wire is 1. The mean time between collisions can be calculated by dividing the average speed of the free electrons in the wire by the number of. Where n is the # of electrons per m 3, e is the charge of the electron, τ is the collison time, and m e is the mass of the electron. 7 (page 762) a 2. 5 × 10 17 electrons/s current in a 1.
From www.numerade.com
SOLVED Question 2 If the current in wire doubled, how will this affect the mean time between What Is The Mean Time Between Collisions For Electrons In This Wire Where n is the # of electrons per m 3, e is the charge of the electron, τ is the collison time, and m e is the mass of the electron. In summary, the conversation is discussing how to compute the average time between collisions for conduction. 5 × 10 17 electrons/s current in a 1. Estimate the mean free. What Is The Mean Time Between Collisions For Electrons In This Wire.
From slideplayer.com
Chapter 25 Current, Resistance and Electromotive Force ppt download What Is The Mean Time Between Collisions For Electrons In This Wire 7 (page 762) a 2. In summary, the conversation is discussing how to compute the average time between collisions for conduction. 5 × 10 17 electrons/s current in a 1. The relaxation time is closely related to the mean time of flight between collision and also to the mean free path of the conduction electrons,. The mean time between collisions. What Is The Mean Time Between Collisions For Electrons In This Wire.
From www.youtube.com
Mean Time Between Collisions YouTube What Is The Mean Time Between Collisions For Electrons In This Wire Estimate the mean free time between collisions for the conduction electrons in aluminum at 25 °c, and hence estimate their drift mobility. In summary, the conversation is discussing how to compute the average time between collisions for conduction. 7 (page 762) a 2. The relaxation time is closely related to the mean time of flight between collision and also to. What Is The Mean Time Between Collisions For Electrons In This Wire.
From slideplayer.com
Physics 122B Electricity and ppt download What Is The Mean Time Between Collisions For Electrons In This Wire 5 × 10 17 electrons/s current in a 1. The relaxation time is closely related to the mean time of flight between collision and also to the mean free path of the conduction electrons,. 7 (page 762) a 2. Estimate the mean free time between collisions for the conduction electrons in aluminum at 25 °c, and hence estimate their drift. What Is The Mean Time Between Collisions For Electrons In This Wire.
From www.slideserve.com
PPT Chemistry 232 PowerPoint Presentation, free download ID2214653 What Is The Mean Time Between Collisions For Electrons In This Wire 5 × 10 17 electrons/s current in a 1. The relaxation time is closely related to the mean time of flight between collision and also to the mean free path of the conduction electrons,. 7 (page 762) a 2. In summary, the conversation is discussing how to compute the average time between collisions for conduction. Estimate the mean free time. What Is The Mean Time Between Collisions For Electrons In This Wire.
From www.numerade.com
SOLVED Calculate the mean time between collisions for a material that has the following What Is The Mean Time Between Collisions For Electrons In This Wire 5 × 10 17 electrons/s current in a 1. Estimate the mean free time between collisions for the conduction electrons in aluminum at 25 °c, and hence estimate their drift mobility. Where n is the # of electrons per m 3, e is the charge of the electron, τ is the collison time, and m e is the mass of. What Is The Mean Time Between Collisions For Electrons In This Wire.
From www.chegg.com
Solved The mean time between collisions for electrons in a What Is The Mean Time Between Collisions For Electrons In This Wire The mean time between collisions can be calculated by dividing the average speed of the free electrons in the wire by the number of. 5 × 10 17 electrons/s current in a 1. The relaxation time is closely related to the mean time of flight between collision and also to the mean free path of the conduction electrons,. In summary,. What Is The Mean Time Between Collisions For Electrons In This Wire.
From www.chegg.com
Solved Part B The mean time between collisions for electrons What Is The Mean Time Between Collisions For Electrons In This Wire 5 × 10 17 electrons/s current in a 1. The mean time between collisions can be calculated by dividing the average speed of the free electrons in the wire by the number of. 7 (page 762) a 2. Estimate the mean free time between collisions for the conduction electrons in aluminum at 25 °c, and hence estimate their drift mobility.. What Is The Mean Time Between Collisions For Electrons In This Wire.
From www.youtube.com
Find the mean free path and the mean time interval between successive collisions of YouTube What Is The Mean Time Between Collisions For Electrons In This Wire 5 × 10 17 electrons/s current in a 1. 7 (page 762) a 2. (a) the mean time between collisions for electrons in an aluminum wire is 1. The mean time between collisions can be calculated by dividing the average speed of the free electrons in the wire by the number of. Estimate the mean free time between collisions for. What Is The Mean Time Between Collisions For Electrons In This Wire.
From www.numerade.com
SOLVED Part B What is the mean time between collisions for electrons in this wire? Express your What Is The Mean Time Between Collisions For Electrons In This Wire The relaxation time is closely related to the mean time of flight between collision and also to the mean free path of the conduction electrons,. 5 × 10 17 electrons/s current in a 1. In summary, the conversation is discussing how to compute the average time between collisions for conduction. Where n is the # of electrons per m 3,. What Is The Mean Time Between Collisions For Electrons In This Wire.
From www.numerade.com
SOLVED The electron drift speed is 2 x 104 m/s in metal with a mean free time between What Is The Mean Time Between Collisions For Electrons In This Wire The relaxation time is closely related to the mean time of flight between collision and also to the mean free path of the conduction electrons,. Estimate the mean free time between collisions for the conduction electrons in aluminum at 25 °c, and hence estimate their drift mobility. Where n is the # of electrons per m 3, e is the. What Is The Mean Time Between Collisions For Electrons In This Wire.
From www.bestbrandshub.com
What is the mean free time between collisions for electrons in an aluminum wire? What Is The Mean Time Between Collisions For Electrons In This Wire The mean time between collisions can be calculated by dividing the average speed of the free electrons in the wire by the number of. Where n is the # of electrons per m 3, e is the charge of the electron, τ is the collison time, and m e is the mass of the electron. 7 (page 762) a 2.. What Is The Mean Time Between Collisions For Electrons In This Wire.
From www.chegg.com
Solved Part A What is the mean free time between collisions What Is The Mean Time Between Collisions For Electrons In This Wire Where n is the # of electrons per m 3, e is the charge of the electron, τ is the collison time, and m e is the mass of the electron. 5 × 10 17 electrons/s current in a 1. The relaxation time is closely related to the mean time of flight between collision and also to the mean free. What Is The Mean Time Between Collisions For Electrons In This Wire.
From www.slideserve.com
PPT The Boltzmann factor PowerPoint Presentation, free download ID5168159 What Is The Mean Time Between Collisions For Electrons In This Wire In summary, the conversation is discussing how to compute the average time between collisions for conduction. The mean time between collisions can be calculated by dividing the average speed of the free electrons in the wire by the number of. 7 (page 762) a 2. The relaxation time is closely related to the mean time of flight between collision and. What Is The Mean Time Between Collisions For Electrons In This Wire.
From www.youtube.com
Collisions of electrons with atoms (Quantum Phenomena 3) YouTube What Is The Mean Time Between Collisions For Electrons In This Wire The relaxation time is closely related to the mean time of flight between collision and also to the mean free path of the conduction electrons,. (a) the mean time between collisions for electrons in an aluminum wire is 1. 5 × 10 17 electrons/s current in a 1. 7 (page 762) a 2. Where n is the # of electrons. What Is The Mean Time Between Collisions For Electrons In This Wire.
From slideplayer.com
Physics 122B Electricity and ppt download What Is The Mean Time Between Collisions For Electrons In This Wire 7 (page 762) a 2. Estimate the mean free time between collisions for the conduction electrons in aluminum at 25 °c, and hence estimate their drift mobility. 5 × 10 17 electrons/s current in a 1. Where n is the # of electrons per m 3, e is the charge of the electron, τ is the collison time, and m. What Is The Mean Time Between Collisions For Electrons In This Wire.
From www.numerade.com
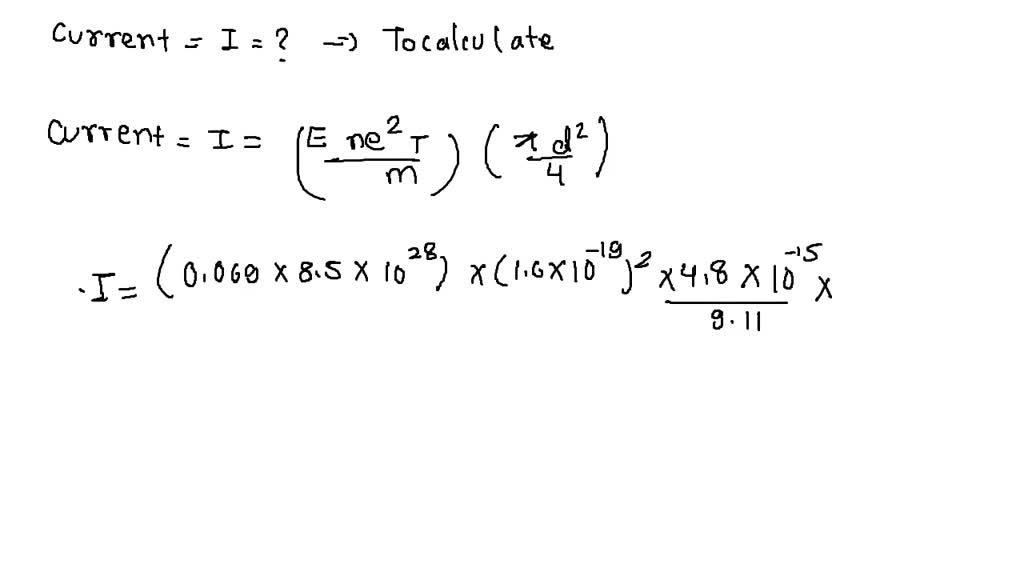
SOLVED The mean time between collisions in iron is 4.8x10^(5) s. Part A What electron current What Is The Mean Time Between Collisions For Electrons In This Wire (a) the mean time between collisions for electrons in an aluminum wire is 1. The mean time between collisions can be calculated by dividing the average speed of the free electrons in the wire by the number of. The relaxation time is closely related to the mean time of flight between collision and also to the mean free path of. What Is The Mean Time Between Collisions For Electrons In This Wire.
From askfilo.com
Average time between successive collisions for an electron for a conducto.. What Is The Mean Time Between Collisions For Electrons In This Wire 7 (page 762) a 2. 5 × 10 17 electrons/s current in a 1. The mean time between collisions can be calculated by dividing the average speed of the free electrons in the wire by the number of. (a) the mean time between collisions for electrons in an aluminum wire is 1. Where n is the # of electrons per. What Is The Mean Time Between Collisions For Electrons In This Wire.
From www.chegg.com
Part B The mean time between collisions for electrons What Is The Mean Time Between Collisions For Electrons In This Wire 5 × 10 17 electrons/s current in a 1. The relaxation time is closely related to the mean time of flight between collision and also to the mean free path of the conduction electrons,. The mean time between collisions can be calculated by dividing the average speed of the free electrons in the wire by the number of. In summary,. What Is The Mean Time Between Collisions For Electrons In This Wire.
From www.numerade.com
SOLVED The current in a wire is doubled. what happens to (a) the current density, (b) the What Is The Mean Time Between Collisions For Electrons In This Wire Estimate the mean free time between collisions for the conduction electrons in aluminum at 25 °c, and hence estimate their drift mobility. 5 × 10 17 electrons/s current in a 1. Where n is the # of electrons per m 3, e is the charge of the electron, τ is the collison time, and m e is the mass of. What Is The Mean Time Between Collisions For Electrons In This Wire.
From www.youtube.com
Lecture 5 Th of gases Collision Frequency and Mean free path YouTube What Is The Mean Time Between Collisions For Electrons In This Wire 7 (page 762) a 2. The relaxation time is closely related to the mean time of flight between collision and also to the mean free path of the conduction electrons,. Estimate the mean free time between collisions for the conduction electrons in aluminum at 25 °c, and hence estimate their drift mobility. 5 × 10 17 electrons/s current in a. What Is The Mean Time Between Collisions For Electrons In This Wire.
From www.slideserve.com
PPT Electrical Engineering Materials PowerPoint Presentation, free download ID9500222 What Is The Mean Time Between Collisions For Electrons In This Wire Where n is the # of electrons per m 3, e is the charge of the electron, τ is the collison time, and m e is the mass of the electron. 5 × 10 17 electrons/s current in a 1. Estimate the mean free time between collisions for the conduction electrons in aluminum at 25 °c, and hence estimate their. What Is The Mean Time Between Collisions For Electrons In This Wire.
From www.slideserve.com
PPT PHY132 Introduction to Physics II Class 15 Outline PowerPoint Presentation ID1532979 What Is The Mean Time Between Collisions For Electrons In This Wire 7 (page 762) a 2. In summary, the conversation is discussing how to compute the average time between collisions for conduction. The mean time between collisions can be calculated by dividing the average speed of the free electrons in the wire by the number of. 5 × 10 17 electrons/s current in a 1. Estimate the mean free time between. What Is The Mean Time Between Collisions For Electrons In This Wire.
From www.slideserve.com
PPT ELECTRON THEORY OF METALS PowerPoint Presentation ID3687751 What Is The Mean Time Between Collisions For Electrons In This Wire Where n is the # of electrons per m 3, e is the charge of the electron, τ is the collison time, and m e is the mass of the electron. 7 (page 762) a 2. Estimate the mean free time between collisions for the conduction electrons in aluminum at 25 °c, and hence estimate their drift mobility. (a) the. What Is The Mean Time Between Collisions For Electrons In This Wire.
From www.slideserve.com
PPT Physics 122B Electricity and PowerPoint Presentation, free download ID476654 What Is The Mean Time Between Collisions For Electrons In This Wire The relaxation time is closely related to the mean time of flight between collision and also to the mean free path of the conduction electrons,. (a) the mean time between collisions for electrons in an aluminum wire is 1. The mean time between collisions can be calculated by dividing the average speed of the free electrons in the wire by. What Is The Mean Time Between Collisions For Electrons In This Wire.
From www.chegg.com
Part A What is the mean free time between collisions What Is The Mean Time Between Collisions For Electrons In This Wire The relaxation time is closely related to the mean time of flight between collision and also to the mean free path of the conduction electrons,. In summary, the conversation is discussing how to compute the average time between collisions for conduction. 5 × 10 17 electrons/s current in a 1. Where n is the # of electrons per m 3,. What Is The Mean Time Between Collisions For Electrons In This Wire.
From www.solutioninn.com
[Solved] The mean time between collisions for elec SolutionInn What Is The Mean Time Between Collisions For Electrons In This Wire The relaxation time is closely related to the mean time of flight between collision and also to the mean free path of the conduction electrons,. The mean time between collisions can be calculated by dividing the average speed of the free electrons in the wire by the number of. 7 (page 762) a 2. 5 × 10 17 electrons/s current. What Is The Mean Time Between Collisions For Electrons In This Wire.
From www.numerade.com
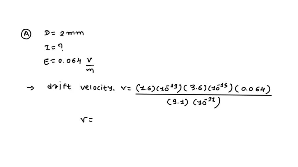
SOLVED The mean time between collisions in iron is 3.6×10^(15) s. Part A What electron What Is The Mean Time Between Collisions For Electrons In This Wire The mean time between collisions can be calculated by dividing the average speed of the free electrons in the wire by the number of. 7 (page 762) a 2. Estimate the mean free time between collisions for the conduction electrons in aluminum at 25 °c, and hence estimate their drift mobility. (a) the mean time between collisions for electrons in. What Is The Mean Time Between Collisions For Electrons In This Wire.
From slideplayer.com
A Microscopic View of Electric Circuits ppt download What Is The Mean Time Between Collisions For Electrons In This Wire In summary, the conversation is discussing how to compute the average time between collisions for conduction. The relaxation time is closely related to the mean time of flight between collision and also to the mean free path of the conduction electrons,. 7 (page 762) a 2. Where n is the # of electrons per m 3, e is the charge. What Is The Mean Time Between Collisions For Electrons In This Wire.
From slideplayer.com
Physics 122B Electricity and ppt download What Is The Mean Time Between Collisions For Electrons In This Wire (a) the mean time between collisions for electrons in an aluminum wire is 1. Where n is the # of electrons per m 3, e is the charge of the electron, τ is the collison time, and m e is the mass of the electron. Estimate the mean free time between collisions for the conduction electrons in aluminum at 25. What Is The Mean Time Between Collisions For Electrons In This Wire.
From slidesplayer.com
Concepts of Semiconductors ppt download What Is The Mean Time Between Collisions For Electrons In This Wire In summary, the conversation is discussing how to compute the average time between collisions for conduction. Where n is the # of electrons per m 3, e is the charge of the electron, τ is the collison time, and m e is the mass of the electron. 5 × 10 17 electrons/s current in a 1. (a) the mean time. What Is The Mean Time Between Collisions For Electrons In This Wire.
From www.chegg.com
Solved Part A What is the mean free time between collisions What Is The Mean Time Between Collisions For Electrons In This Wire 5 × 10 17 electrons/s current in a 1. The mean time between collisions can be calculated by dividing the average speed of the free electrons in the wire by the number of. 7 (page 762) a 2. Where n is the # of electrons per m 3, e is the charge of the electron, τ is the collison time,. What Is The Mean Time Between Collisions For Electrons In This Wire.
From www.chegg.com
Solved The mean time between collisions for electrons in a What Is The Mean Time Between Collisions For Electrons In This Wire 7 (page 762) a 2. In summary, the conversation is discussing how to compute the average time between collisions for conduction. The relaxation time is closely related to the mean time of flight between collision and also to the mean free path of the conduction electrons,. Where n is the # of electrons per m 3, e is the charge. What Is The Mean Time Between Collisions For Electrons In This Wire.
From www.slideserve.com
PPT Chapter 27 PowerPoint Presentation, free download ID5166898 What Is The Mean Time Between Collisions For Electrons In This Wire (a) the mean time between collisions for electrons in an aluminum wire is 1. 5 × 10 17 electrons/s current in a 1. The relaxation time is closely related to the mean time of flight between collision and also to the mean free path of the conduction electrons,. Where n is the # of electrons per m 3, e is. What Is The Mean Time Between Collisions For Electrons In This Wire.
From www.slideserve.com
PPT Chemistry 232 PowerPoint Presentation, free download ID2214653 What Is The Mean Time Between Collisions For Electrons In This Wire In summary, the conversation is discussing how to compute the average time between collisions for conduction. Estimate the mean free time between collisions for the conduction electrons in aluminum at 25 °c, and hence estimate their drift mobility. The mean time between collisions can be calculated by dividing the average speed of the free electrons in the wire by the. What Is The Mean Time Between Collisions For Electrons In This Wire.