Out Of Calibration Investigation Form . if out of calibration results found, affix a status label “out of calibration” immediately. the supervisor shall raise an out of calibration (ooc) evaluation form. out of calibration this can simply be defined as „failure to meet the acceptance criteria during the calibration processes‟. section head (glp) or designee shall investigate the failure in calibration as per, but not. standard operating procedure (sop) and guideline for handling of out of calibration (ooc) results of laboratory. if you don’t have confidence that your equipment found out of calibration was capable of producing good results, then you will have to. The calibration team including the head of the.
from mage02.technogym.com
out of calibration this can simply be defined as „failure to meet the acceptance criteria during the calibration processes‟. the supervisor shall raise an out of calibration (ooc) evaluation form. if you don’t have confidence that your equipment found out of calibration was capable of producing good results, then you will have to. section head (glp) or designee shall investigate the failure in calibration as per, but not. if out of calibration results found, affix a status label “out of calibration” immediately. standard operating procedure (sop) and guideline for handling of out of calibration (ooc) results of laboratory. The calibration team including the head of the.
Printable Calibration Form Template
Out Of Calibration Investigation Form The calibration team including the head of the. the supervisor shall raise an out of calibration (ooc) evaluation form. section head (glp) or designee shall investigate the failure in calibration as per, but not. if out of calibration results found, affix a status label “out of calibration” immediately. out of calibration this can simply be defined as „failure to meet the acceptance criteria during the calibration processes‟. if you don’t have confidence that your equipment found out of calibration was capable of producing good results, then you will have to. The calibration team including the head of the. standard operating procedure (sop) and guideline for handling of out of calibration (ooc) results of laboratory.
From constructionasphalt.tpub.com
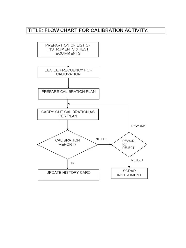
THE CALIBRATION FLOW CHART Out Of Calibration Investigation Form The calibration team including the head of the. section head (glp) or designee shall investigate the failure in calibration as per, but not. standard operating procedure (sop) and guideline for handling of out of calibration (ooc) results of laboratory. the supervisor shall raise an out of calibration (ooc) evaluation form. if out of calibration results found,. Out Of Calibration Investigation Form.
From ciqa.net
How to Fill a Calibration Record Form as per cGMP? Out Of Calibration Investigation Form if you don’t have confidence that your equipment found out of calibration was capable of producing good results, then you will have to. section head (glp) or designee shall investigate the failure in calibration as per, but not. The calibration team including the head of the. standard operating procedure (sop) and guideline for handling of out of. Out Of Calibration Investigation Form.
From www.ge.com
Generate a Calibration Report Out Of Calibration Investigation Form out of calibration this can simply be defined as „failure to meet the acceptance criteria during the calibration processes‟. section head (glp) or designee shall investigate the failure in calibration as per, but not. if out of calibration results found, affix a status label “out of calibration” immediately. if you don’t have confidence that your equipment. Out Of Calibration Investigation Form.
From www.americanscaleus.com
Scale Test Report Types — ASC Out Of Calibration Investigation Form if you don’t have confidence that your equipment found out of calibration was capable of producing good results, then you will have to. The calibration team including the head of the. the supervisor shall raise an out of calibration (ooc) evaluation form. out of calibration this can simply be defined as „failure to meet the acceptance criteria. Out Of Calibration Investigation Form.
From www.vrogue.co
Calibration 2017 2024 Form Fill Out And Sign Printabl vrogue.co Out Of Calibration Investigation Form out of calibration this can simply be defined as „failure to meet the acceptance criteria during the calibration processes‟. standard operating procedure (sop) and guideline for handling of out of calibration (ooc) results of laboratory. The calibration team including the head of the. section head (glp) or designee shall investigate the failure in calibration as per, but. Out Of Calibration Investigation Form.
From www.uslegalforms.com
Gas Detector Calibration Record Sheet 20202022 Fill and Sign Out Of Calibration Investigation Form out of calibration this can simply be defined as „failure to meet the acceptance criteria during the calibration processes‟. section head (glp) or designee shall investigate the failure in calibration as per, but not. the supervisor shall raise an out of calibration (ooc) evaluation form. if you don’t have confidence that your equipment found out of. Out Of Calibration Investigation Form.
From prntbl.concejomunicipaldechinu.gov.co
Printable Calibration Form Template prntbl.concejomunicipaldechinu.gov.co Out Of Calibration Investigation Form if you don’t have confidence that your equipment found out of calibration was capable of producing good results, then you will have to. the supervisor shall raise an out of calibration (ooc) evaluation form. section head (glp) or designee shall investigate the failure in calibration as per, but not. if out of calibration results found, affix. Out Of Calibration Investigation Form.
From www.scribd.com
Flow Chart For Calibration PDF Out Of Calibration Investigation Form section head (glp) or designee shall investigate the failure in calibration as per, but not. if out of calibration results found, affix a status label “out of calibration” immediately. out of calibration this can simply be defined as „failure to meet the acceptance criteria during the calibration processes‟. the supervisor shall raise an out of calibration. Out Of Calibration Investigation Form.
From mage02.technogym.com
Printable Calibration Form Template Out Of Calibration Investigation Form if out of calibration results found, affix a status label “out of calibration” immediately. out of calibration this can simply be defined as „failure to meet the acceptance criteria during the calibration processes‟. section head (glp) or designee shall investigate the failure in calibration as per, but not. standard operating procedure (sop) and guideline for handling. Out Of Calibration Investigation Form.
From old.sermitsiaq.ag
Performance Review Calibration Template Out Of Calibration Investigation Form if you don’t have confidence that your equipment found out of calibration was capable of producing good results, then you will have to. out of calibration this can simply be defined as „failure to meet the acceptance criteria during the calibration processes‟. The calibration team including the head of the. standard operating procedure (sop) and guideline for. Out Of Calibration Investigation Form.
From www.vrogue.co
Calibration Record Sheet Report Template Templates Sh vrogue.co Out Of Calibration Investigation Form if out of calibration results found, affix a status label “out of calibration” immediately. out of calibration this can simply be defined as „failure to meet the acceptance criteria during the calibration processes‟. standard operating procedure (sop) and guideline for handling of out of calibration (ooc) results of laboratory. The calibration team including the head of the.. Out Of Calibration Investigation Form.
From www.inpaspages.com
Daily Calibration Report Out Of Calibration Investigation Form The calibration team including the head of the. section head (glp) or designee shall investigate the failure in calibration as per, but not. if you don’t have confidence that your equipment found out of calibration was capable of producing good results, then you will have to. the supervisor shall raise an out of calibration (ooc) evaluation form.. Out Of Calibration Investigation Form.
From www.signnow.com
Speedometer Calibration 20172024 Form Fill Out and Sign Printable Out Of Calibration Investigation Form out of calibration this can simply be defined as „failure to meet the acceptance criteria during the calibration processes‟. section head (glp) or designee shall investigate the failure in calibration as per, but not. standard operating procedure (sop) and guideline for handling of out of calibration (ooc) results of laboratory. if out of calibration results found,. Out Of Calibration Investigation Form.
From www.signnow.com
Calibration Extension Form Complete with ease airSlate SignNow Out Of Calibration Investigation Form if you don’t have confidence that your equipment found out of calibration was capable of producing good results, then you will have to. the supervisor shall raise an out of calibration (ooc) evaluation form. The calibration team including the head of the. section head (glp) or designee shall investigate the failure in calibration as per, but not.. Out Of Calibration Investigation Form.
From www.oceanproperty.co.th
CALIBRATION CERTIFICATES What They Are And Why They Matter , 45 OFF Out Of Calibration Investigation Form if out of calibration results found, affix a status label “out of calibration” immediately. out of calibration this can simply be defined as „failure to meet the acceptance criteria during the calibration processes‟. if you don’t have confidence that your equipment found out of calibration was capable of producing good results, then you will have to. . Out Of Calibration Investigation Form.
From www.sampleforms.com
FREE 8+ Sample Complaint Investigation Forms in PDF MS Word Out Of Calibration Investigation Form out of calibration this can simply be defined as „failure to meet the acceptance criteria during the calibration processes‟. the supervisor shall raise an out of calibration (ooc) evaluation form. standard operating procedure (sop) and guideline for handling of out of calibration (ooc) results of laboratory. if out of calibration results found, affix a status label. Out Of Calibration Investigation Form.
From www.templateroller.com
Rhode Island Thermometer Calibration Log Fill Out, Sign Online and Out Of Calibration Investigation Form The calibration team including the head of the. the supervisor shall raise an out of calibration (ooc) evaluation form. out of calibration this can simply be defined as „failure to meet the acceptance criteria during the calibration processes‟. if out of calibration results found, affix a status label “out of calibration” immediately. section head (glp) or. Out Of Calibration Investigation Form.
From template.fromgrandma.best
Calibration Certificate 1 Sample Carelabs In Certificate Of Out Of Calibration Investigation Form if out of calibration results found, affix a status label “out of calibration” immediately. standard operating procedure (sop) and guideline for handling of out of calibration (ooc) results of laboratory. if you don’t have confidence that your equipment found out of calibration was capable of producing good results, then you will have to. out of calibration. Out Of Calibration Investigation Form.
From cashier.mijndomein.nl
Workplace Investigation Template Out Of Calibration Investigation Form if you don’t have confidence that your equipment found out of calibration was capable of producing good results, then you will have to. section head (glp) or designee shall investigate the failure in calibration as per, but not. The calibration team including the head of the. standard operating procedure (sop) and guideline for handling of out of. Out Of Calibration Investigation Form.
From www.myxxgirl.com
Investigation Report Form Fill Out And Sign Printable Pdf Template Out Of Calibration Investigation Form The calibration team including the head of the. standard operating procedure (sop) and guideline for handling of out of calibration (ooc) results of laboratory. if you don’t have confidence that your equipment found out of calibration was capable of producing good results, then you will have to. the supervisor shall raise an out of calibration (ooc) evaluation. Out Of Calibration Investigation Form.
From pharmabeginers.com
SOP for Handling of Out of Calibration (OOC) Pharma Beginners Out Of Calibration Investigation Form standard operating procedure (sop) and guideline for handling of out of calibration (ooc) results of laboratory. the supervisor shall raise an out of calibration (ooc) evaluation form. if you don’t have confidence that your equipment found out of calibration was capable of producing good results, then you will have to. if out of calibration results found,. Out Of Calibration Investigation Form.
From www.dochub.com
Calibration certificate template Fill out & sign online DocHub Out Of Calibration Investigation Form the supervisor shall raise an out of calibration (ooc) evaluation form. out of calibration this can simply be defined as „failure to meet the acceptance criteria during the calibration processes‟. The calibration team including the head of the. standard operating procedure (sop) and guideline for handling of out of calibration (ooc) results of laboratory. section head. Out Of Calibration Investigation Form.
From dokumen.tips
(DOCX) Instrument Calibration Test Report Format DOKUMEN.TIPS Out Of Calibration Investigation Form standard operating procedure (sop) and guideline for handling of out of calibration (ooc) results of laboratory. out of calibration this can simply be defined as „failure to meet the acceptance criteria during the calibration processes‟. section head (glp) or designee shall investigate the failure in calibration as per, but not. if out of calibration results found,. Out Of Calibration Investigation Form.
From engineerscommunity.com
Instrumentation Calibration Forms Instrumentation Engineers Community Out Of Calibration Investigation Form out of calibration this can simply be defined as „failure to meet the acceptance criteria during the calibration processes‟. section head (glp) or designee shall investigate the failure in calibration as per, but not. if you don’t have confidence that your equipment found out of calibration was capable of producing good results, then you will have to.. Out Of Calibration Investigation Form.
From www.inpaspages.com
Equipment Calibration form Out Of Calibration Investigation Form if out of calibration results found, affix a status label “out of calibration” immediately. The calibration team including the head of the. the supervisor shall raise an out of calibration (ooc) evaluation form. standard operating procedure (sop) and guideline for handling of out of calibration (ooc) results of laboratory. out of calibration this can simply be. Out Of Calibration Investigation Form.
From old.sermitsiaq.ag
Printable Calibration Form Template Out Of Calibration Investigation Form standard operating procedure (sop) and guideline for handling of out of calibration (ooc) results of laboratory. out of calibration this can simply be defined as „failure to meet the acceptance criteria during the calibration processes‟. if you don’t have confidence that your equipment found out of calibration was capable of producing good results, then you will have. Out Of Calibration Investigation Form.
From www.scribd.com
Instrument Calibration Test Report Format Calibration Accuracy And Out Of Calibration Investigation Form The calibration team including the head of the. if out of calibration results found, affix a status label “out of calibration” immediately. out of calibration this can simply be defined as „failure to meet the acceptance criteria during the calibration processes‟. standard operating procedure (sop) and guideline for handling of out of calibration (ooc) results of laboratory.. Out Of Calibration Investigation Form.
From old.sermitsiaq.ag
Calibration Log Excel Template Out Of Calibration Investigation Form The calibration team including the head of the. standard operating procedure (sop) and guideline for handling of out of calibration (ooc) results of laboratory. section head (glp) or designee shall investigate the failure in calibration as per, but not. if you don’t have confidence that your equipment found out of calibration was capable of producing good results,. Out Of Calibration Investigation Form.
From old.sermitsiaq.ag
Calibration Procedure Template Out Of Calibration Investigation Form out of calibration this can simply be defined as „failure to meet the acceptance criteria during the calibration processes‟. The calibration team including the head of the. section head (glp) or designee shall investigate the failure in calibration as per, but not. standard operating procedure (sop) and guideline for handling of out of calibration (ooc) results of. Out Of Calibration Investigation Form.
From www.uslegalforms.com
MT Thermometer Calibration Log Fill and Sign Printable Template Out Of Calibration Investigation Form the supervisor shall raise an out of calibration (ooc) evaluation form. if you don’t have confidence that your equipment found out of calibration was capable of producing good results, then you will have to. The calibration team including the head of the. standard operating procedure (sop) and guideline for handling of out of calibration (ooc) results of. Out Of Calibration Investigation Form.
From templates.hilarious.edu.np
Instrument Calibration Certificate Template Out Of Calibration Investigation Form section head (glp) or designee shall investigate the failure in calibration as per, but not. if you don’t have confidence that your equipment found out of calibration was capable of producing good results, then you will have to. if out of calibration results found, affix a status label “out of calibration” immediately. The calibration team including the. Out Of Calibration Investigation Form.
From www.scribd.com
Calibration Sample PDF Data Collection Evaluation Out Of Calibration Investigation Form the supervisor shall raise an out of calibration (ooc) evaluation form. if out of calibration results found, affix a status label “out of calibration” immediately. if you don’t have confidence that your equipment found out of calibration was capable of producing good results, then you will have to. out of calibration this can simply be defined. Out Of Calibration Investigation Form.
From calibrationawareness.com
Elements In Implementing an Internal Calibration Laboratory Out Of Calibration Investigation Form out of calibration this can simply be defined as „failure to meet the acceptance criteria during the calibration processes‟. standard operating procedure (sop) and guideline for handling of out of calibration (ooc) results of laboratory. if out of calibration results found, affix a status label “out of calibration” immediately. section head (glp) or designee shall investigate. Out Of Calibration Investigation Form.
From paperwritering.web.fc2.com
nrg systems calibration report template Out Of Calibration Investigation Form section head (glp) or designee shall investigate the failure in calibration as per, but not. The calibration team including the head of the. standard operating procedure (sop) and guideline for handling of out of calibration (ooc) results of laboratory. the supervisor shall raise an out of calibration (ooc) evaluation form. if you don’t have confidence that. Out Of Calibration Investigation Form.
From instrumentationtools.com
How to Create Calibration Records? Instrumentation and Control Out Of Calibration Investigation Form section head (glp) or designee shall investigate the failure in calibration as per, but not. the supervisor shall raise an out of calibration (ooc) evaluation form. if out of calibration results found, affix a status label “out of calibration” immediately. if you don’t have confidence that your equipment found out of calibration was capable of producing. Out Of Calibration Investigation Form.