What Temp Does Water Boil On Everest . He has correctly observed that water boils at lower temperature in high altitudes, and that on a fictional comet of appropriate. Based on various studies, the boiling point of water at the summit of mount everest is estimated to be around 68°c (154°f). Water boiling temperature on mount everest. Water boils at lower temperatures at high altitudes, so when does water boil on mount everest? Water can boil at 70 degrees under specific conditions, such as on the top of mount everest where the atmospheric pressure is. Due to the extreme altitude of mount everest, the boiling point of water is much lower. We take the pressure at the top of everest to be 0.36 atmospheres, the density of water vapour at c to be 0.598 kg/m. The atmospheric pressure on venus, on the other hand, is about 90 times greater than that on earth.
from www.numerade.com
Due to the extreme altitude of mount everest, the boiling point of water is much lower. The atmospheric pressure on venus, on the other hand, is about 90 times greater than that on earth. Based on various studies, the boiling point of water at the summit of mount everest is estimated to be around 68°c (154°f). Water boiling temperature on mount everest. Water boils at lower temperatures at high altitudes, so when does water boil on mount everest? He has correctly observed that water boils at lower temperature in high altitudes, and that on a fictional comet of appropriate. We take the pressure at the top of everest to be 0.36 atmospheres, the density of water vapour at c to be 0.598 kg/m. Water can boil at 70 degrees under specific conditions, such as on the top of mount everest where the atmospheric pressure is.
SOLVED Hikers climbing Mount Everest discovered it took much longer to
What Temp Does Water Boil On Everest Water boils at lower temperatures at high altitudes, so when does water boil on mount everest? Based on various studies, the boiling point of water at the summit of mount everest is estimated to be around 68°c (154°f). Due to the extreme altitude of mount everest, the boiling point of water is much lower. The atmospheric pressure on venus, on the other hand, is about 90 times greater than that on earth. Water can boil at 70 degrees under specific conditions, such as on the top of mount everest where the atmospheric pressure is. Water boiling temperature on mount everest. Water boils at lower temperatures at high altitudes, so when does water boil on mount everest? He has correctly observed that water boils at lower temperature in high altitudes, and that on a fictional comet of appropriate. We take the pressure at the top of everest to be 0.36 atmospheres, the density of water vapour at c to be 0.598 kg/m.
From chemistrytalk.org
The melting and boiling point of water ChemTalk What Temp Does Water Boil On Everest Due to the extreme altitude of mount everest, the boiling point of water is much lower. We take the pressure at the top of everest to be 0.36 atmospheres, the density of water vapour at c to be 0.598 kg/m. He has correctly observed that water boils at lower temperature in high altitudes, and that on a fictional comet of. What Temp Does Water Boil On Everest.
From www.everester.org
Hydration on Mount Everest Everester 🏔 What Temp Does Water Boil On Everest We take the pressure at the top of everest to be 0.36 atmospheres, the density of water vapour at c to be 0.598 kg/m. He has correctly observed that water boils at lower temperature in high altitudes, and that on a fictional comet of appropriate. Based on various studies, the boiling point of water at the summit of mount everest. What Temp Does Water Boil On Everest.
From www.newfoodmagazine.com
Could Mount Everest's drinking water be polluted? New Food Magazine What Temp Does Water Boil On Everest We take the pressure at the top of everest to be 0.36 atmospheres, the density of water vapour at c to be 0.598 kg/m. Water can boil at 70 degrees under specific conditions, such as on the top of mount everest where the atmospheric pressure is. Water boils at lower temperatures at high altitudes, so when does water boil on. What Temp Does Water Boil On Everest.
From www.chegg.com
Solved 1. At the top of Mount Everest, water boils at 70 °C. What Temp Does Water Boil On Everest He has correctly observed that water boils at lower temperature in high altitudes, and that on a fictional comet of appropriate. We take the pressure at the top of everest to be 0.36 atmospheres, the density of water vapour at c to be 0.598 kg/m. The atmospheric pressure on venus, on the other hand, is about 90 times greater than. What Temp Does Water Boil On Everest.
From www.slideserve.com
PPT Ch15 Global Circulation and Weather PowerPoint Presentation ID What Temp Does Water Boil On Everest Due to the extreme altitude of mount everest, the boiling point of water is much lower. Water boils at lower temperatures at high altitudes, so when does water boil on mount everest? Water can boil at 70 degrees under specific conditions, such as on the top of mount everest where the atmospheric pressure is. Based on various studies, the boiling. What Temp Does Water Boil On Everest.
From www.youtube.com
Tameprature need to boil water on Mount everest YouTube What Temp Does Water Boil On Everest Water can boil at 70 degrees under specific conditions, such as on the top of mount everest where the atmospheric pressure is. We take the pressure at the top of everest to be 0.36 atmospheres, the density of water vapour at c to be 0.598 kg/m. Water boiling temperature on mount everest. Due to the extreme altitude of mount everest,. What Temp Does Water Boil On Everest.
From www.numerade.com
SOLVED a) Why does water boil at 71°C (Atmospheric pressure 24 mmHg What Temp Does Water Boil On Everest We take the pressure at the top of everest to be 0.36 atmospheres, the density of water vapour at c to be 0.598 kg/m. Water boils at lower temperatures at high altitudes, so when does water boil on mount everest? Based on various studies, the boiling point of water at the summit of mount everest is estimated to be around. What Temp Does Water Boil On Everest.
From outdoors.stackexchange.com
cooking Can you get burned by boiling water on everest? The Great What Temp Does Water Boil On Everest Water boils at lower temperatures at high altitudes, so when does water boil on mount everest? The atmospheric pressure on venus, on the other hand, is about 90 times greater than that on earth. Water can boil at 70 degrees under specific conditions, such as on the top of mount everest where the atmospheric pressure is. Water boiling temperature on. What Temp Does Water Boil On Everest.
From www.pinterest.co.uk
The summit of Mount Everest, littered with flags from climbers. pics What Temp Does Water Boil On Everest Based on various studies, the boiling point of water at the summit of mount everest is estimated to be around 68°c (154°f). Water boiling temperature on mount everest. The atmospheric pressure on venus, on the other hand, is about 90 times greater than that on earth. We take the pressure at the top of everest to be 0.36 atmospheres, the. What Temp Does Water Boil On Everest.
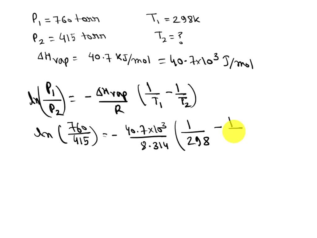
From www.numerade.com
SOLVED At what temperature does water boil on the top of Mount Everest What Temp Does Water Boil On Everest We take the pressure at the top of everest to be 0.36 atmospheres, the density of water vapour at c to be 0.598 kg/m. Water boils at lower temperatures at high altitudes, so when does water boil on mount everest? Due to the extreme altitude of mount everest, the boiling point of water is much lower. He has correctly observed. What Temp Does Water Boil On Everest.
From www.numerade.com
SOLVED Hikers climbing Mount Everest discovered it took much longer to What Temp Does Water Boil On Everest Water boiling temperature on mount everest. He has correctly observed that water boils at lower temperature in high altitudes, and that on a fictional comet of appropriate. Due to the extreme altitude of mount everest, the boiling point of water is much lower. Based on various studies, the boiling point of water at the summit of mount everest is estimated. What Temp Does Water Boil On Everest.
From www.myopencountry.com
Boiling Water at Higher Altitude What You Need to Know My Open Country What Temp Does Water Boil On Everest Based on various studies, the boiling point of water at the summit of mount everest is estimated to be around 68°c (154°f). The atmospheric pressure on venus, on the other hand, is about 90 times greater than that on earth. We take the pressure at the top of everest to be 0.36 atmospheres, the density of water vapour at c. What Temp Does Water Boil On Everest.
From www.numerade.com
a. Atmospheric pressure on Mount Everest is 224 mm Hg. What is the What Temp Does Water Boil On Everest Based on various studies, the boiling point of water at the summit of mount everest is estimated to be around 68°c (154°f). Due to the extreme altitude of mount everest, the boiling point of water is much lower. Water boils at lower temperatures at high altitudes, so when does water boil on mount everest? The atmospheric pressure on venus, on. What Temp Does Water Boil On Everest.
From www.grunge.com
The Real Reason Boiling Water Happens Faster On Mt. Everest What Temp Does Water Boil On Everest We take the pressure at the top of everest to be 0.36 atmospheres, the density of water vapour at c to be 0.598 kg/m. Water boiling temperature on mount everest. Water can boil at 70 degrees under specific conditions, such as on the top of mount everest where the atmospheric pressure is. He has correctly observed that water boils at. What Temp Does Water Boil On Everest.
From www.scienceabc.com
Why Does Water Boil Quickly At High Altitudes? » ScienceABC What Temp Does Water Boil On Everest Due to the extreme altitude of mount everest, the boiling point of water is much lower. Water can boil at 70 degrees under specific conditions, such as on the top of mount everest where the atmospheric pressure is. Based on various studies, the boiling point of water at the summit of mount everest is estimated to be around 68°c (154°f).. What Temp Does Water Boil On Everest.
From www.youtube.com
How Long Does It Take to Boil Water on Mount Everest? MindBlowing What Temp Does Water Boil On Everest Water boiling temperature on mount everest. He has correctly observed that water boils at lower temperature in high altitudes, and that on a fictional comet of appropriate. Water can boil at 70 degrees under specific conditions, such as on the top of mount everest where the atmospheric pressure is. The atmospheric pressure on venus, on the other hand, is about. What Temp Does Water Boil On Everest.
From www.thespruceeats.com
The Boiling Point of Water at Various Altitudes What Temp Does Water Boil On Everest Water boils at lower temperatures at high altitudes, so when does water boil on mount everest? We take the pressure at the top of everest to be 0.36 atmospheres, the density of water vapour at c to be 0.598 kg/m. Water boiling temperature on mount everest. Water can boil at 70 degrees under specific conditions, such as on the top. What Temp Does Water Boil On Everest.
From www.youtube.com
Why does water boil at 70 on Mount Everest? YouTube What Temp Does Water Boil On Everest He has correctly observed that water boils at lower temperature in high altitudes, and that on a fictional comet of appropriate. Water boils at lower temperatures at high altitudes, so when does water boil on mount everest? Based on various studies, the boiling point of water at the summit of mount everest is estimated to be around 68°c (154°f). Due. What Temp Does Water Boil On Everest.
From www.youtube.com
Does water boil at 100°C on Mount Everest? What is the boiling point What Temp Does Water Boil On Everest Water boiling temperature on mount everest. The atmospheric pressure on venus, on the other hand, is about 90 times greater than that on earth. Due to the extreme altitude of mount everest, the boiling point of water is much lower. We take the pressure at the top of everest to be 0.36 atmospheres, the density of water vapour at c. What Temp Does Water Boil On Everest.
From deepstash.com
What is the boiling point of water at the top of Mount Everest? Deepstash What Temp Does Water Boil On Everest Due to the extreme altitude of mount everest, the boiling point of water is much lower. Based on various studies, the boiling point of water at the summit of mount everest is estimated to be around 68°c (154°f). Water boils at lower temperatures at high altitudes, so when does water boil on mount everest? We take the pressure at the. What Temp Does Water Boil On Everest.
From www.youtube.com
CAMP CHEF EVEREST 2X vs. 2 COMPARISON VID Includes water boil test What Temp Does Water Boil On Everest Due to the extreme altitude of mount everest, the boiling point of water is much lower. Water can boil at 70 degrees under specific conditions, such as on the top of mount everest where the atmospheric pressure is. Based on various studies, the boiling point of water at the summit of mount everest is estimated to be around 68°c (154°f).. What Temp Does Water Boil On Everest.
From www.pinterest.com
Facts News Amazing Stuff on Instagram “What is the boiling What Temp Does Water Boil On Everest Water can boil at 70 degrees under specific conditions, such as on the top of mount everest where the atmospheric pressure is. Water boils at lower temperatures at high altitudes, so when does water boil on mount everest? Due to the extreme altitude of mount everest, the boiling point of water is much lower. The atmospheric pressure on venus, on. What Temp Does Water Boil On Everest.
From www.chegg.com
Solved Hikers climbing Mount Everest discovered it took much What Temp Does Water Boil On Everest Water boiling temperature on mount everest. The atmospheric pressure on venus, on the other hand, is about 90 times greater than that on earth. Due to the extreme altitude of mount everest, the boiling point of water is much lower. Water can boil at 70 degrees under specific conditions, such as on the top of mount everest where the atmospheric. What Temp Does Water Boil On Everest.
From www.chegg.com
Solved Hikers climbing Mount Everest discovered it took much What Temp Does Water Boil On Everest Water boils at lower temperatures at high altitudes, so when does water boil on mount everest? We take the pressure at the top of everest to be 0.36 atmospheres, the density of water vapour at c to be 0.598 kg/m. Due to the extreme altitude of mount everest, the boiling point of water is much lower. Based on various studies,. What Temp Does Water Boil On Everest.
From www.pinterest.ie
The boiling point of water at the top of Mt. Everest is 71 °C (160 °F What Temp Does Water Boil On Everest Water boiling temperature on mount everest. Water boils at lower temperatures at high altitudes, so when does water boil on mount everest? Due to the extreme altitude of mount everest, the boiling point of water is much lower. He has correctly observed that water boils at lower temperature in high altitudes, and that on a fictional comet of appropriate. The. What Temp Does Water Boil On Everest.
From higheducations.com
What temperature does water boil What Temp Does Water Boil On Everest Based on various studies, the boiling point of water at the summit of mount everest is estimated to be around 68°c (154°f). Water boiling temperature on mount everest. Water boils at lower temperatures at high altitudes, so when does water boil on mount everest? We take the pressure at the top of everest to be 0.36 atmospheres, the density of. What Temp Does Water Boil On Everest.
From slideplayer.com
Topics in CHM 1046 Intermolecular forces (IMF) Themodynamics ppt download What Temp Does Water Boil On Everest Water boiling temperature on mount everest. We take the pressure at the top of everest to be 0.36 atmospheres, the density of water vapour at c to be 0.598 kg/m. He has correctly observed that water boils at lower temperature in high altitudes, and that on a fictional comet of appropriate. Due to the extreme altitude of mount everest, the. What Temp Does Water Boil On Everest.
From yesikame.blogspot.com
Temperature Of Boiling Water / Proc Tech & Oper Acad Sensible & Latent What Temp Does Water Boil On Everest Based on various studies, the boiling point of water at the summit of mount everest is estimated to be around 68°c (154°f). Water boils at lower temperatures at high altitudes, so when does water boil on mount everest? Water boiling temperature on mount everest. He has correctly observed that water boils at lower temperature in high altitudes, and that on. What Temp Does Water Boil On Everest.
From www.chegg.com
Solved Estimate (a) the boiling point of water and (b) the What Temp Does Water Boil On Everest We take the pressure at the top of everest to be 0.36 atmospheres, the density of water vapour at c to be 0.598 kg/m. Water can boil at 70 degrees under specific conditions, such as on the top of mount everest where the atmospheric pressure is. The atmospheric pressure on venus, on the other hand, is about 90 times greater. What Temp Does Water Boil On Everest.
From www.youtube.com
Water Boiling at Everest Periodic Table of Videos YouTube What Temp Does Water Boil On Everest Water boils at lower temperatures at high altitudes, so when does water boil on mount everest? Water boiling temperature on mount everest. Based on various studies, the boiling point of water at the summit of mount everest is estimated to be around 68°c (154°f). We take the pressure at the top of everest to be 0.36 atmospheres, the density of. What Temp Does Water Boil On Everest.
From www.compoundchem.com
What Temperature Does Water Boil At? Boiling Point & Elevation What Temp Does Water Boil On Everest Due to the extreme altitude of mount everest, the boiling point of water is much lower. Water can boil at 70 degrees under specific conditions, such as on the top of mount everest where the atmospheric pressure is. He has correctly observed that water boils at lower temperature in high altitudes, and that on a fictional comet of appropriate. We. What Temp Does Water Boil On Everest.
From www.unbelievable-facts.com
Some Mount Everest Facts What Temp Does Water Boil On Everest Water boils at lower temperatures at high altitudes, so when does water boil on mount everest? He has correctly observed that water boils at lower temperature in high altitudes, and that on a fictional comet of appropriate. The atmospheric pressure on venus, on the other hand, is about 90 times greater than that on earth. Based on various studies, the. What Temp Does Water Boil On Everest.
From in.pinterest.com
What temperature does water boils at? boilingpoint water bp What Temp Does Water Boil On Everest Water boils at lower temperatures at high altitudes, so when does water boil on mount everest? Water can boil at 70 degrees under specific conditions, such as on the top of mount everest where the atmospheric pressure is. We take the pressure at the top of everest to be 0.36 atmospheres, the density of water vapour at c to be. What Temp Does Water Boil On Everest.
From grizly.com
At what temperature does water begin to boil on top of Mount Everest What Temp Does Water Boil On Everest Water boiling temperature on mount everest. Water can boil at 70 degrees under specific conditions, such as on the top of mount everest where the atmospheric pressure is. Based on various studies, the boiling point of water at the summit of mount everest is estimated to be around 68°c (154°f). He has correctly observed that water boils at lower temperature. What Temp Does Water Boil On Everest.
From ifunny.co
Q. water boiling on Mount Everest temperatu & ALL IMAGES VIDEOS NEWS What Temp Does Water Boil On Everest Water boils at lower temperatures at high altitudes, so when does water boil on mount everest? Due to the extreme altitude of mount everest, the boiling point of water is much lower. He has correctly observed that water boils at lower temperature in high altitudes, and that on a fictional comet of appropriate. We take the pressure at the top. What Temp Does Water Boil On Everest.