Average Number Of Students In A Classroom . As can be seen in table 6, between 2013 and 2016, learner numbers showed a net increase of. this data contains the number of enrolled students and of classes in the education system, reported by the type of institution. At higher levels of education,. — however, its latest integrated annual report showed that it has an average student:teacher ratio of 17 to 1 across all. — the indicator on class size is limited to primary and lower secondary education. — in the south african context, most studies conclude that greater class sizes are associated with poorer. what is the normal size of a classroom? The average class size for secondary schools is 1024 square feet and should house.
from www.researchgate.net
At higher levels of education,. — in the south african context, most studies conclude that greater class sizes are associated with poorer. As can be seen in table 6, between 2013 and 2016, learner numbers showed a net increase of. what is the normal size of a classroom? this data contains the number of enrolled students and of classes in the education system, reported by the type of institution. The average class size for secondary schools is 1024 square feet and should house. — the indicator on class size is limited to primary and lower secondary education. — however, its latest integrated annual report showed that it has an average student:teacher ratio of 17 to 1 across all.
Estimated average number of students enrolled in courses Download Table
Average Number Of Students In A Classroom — the indicator on class size is limited to primary and lower secondary education. — the indicator on class size is limited to primary and lower secondary education. The average class size for secondary schools is 1024 square feet and should house. At higher levels of education,. what is the normal size of a classroom? — in the south african context, most studies conclude that greater class sizes are associated with poorer. this data contains the number of enrolled students and of classes in the education system, reported by the type of institution. As can be seen in table 6, between 2013 and 2016, learner numbers showed a net increase of. — however, its latest integrated annual report showed that it has an average student:teacher ratio of 17 to 1 across all.
From www.researchgate.net
Estimated average number of students enrolled in courses Download Table Average Number Of Students In A Classroom — the indicator on class size is limited to primary and lower secondary education. — however, its latest integrated annual report showed that it has an average student:teacher ratio of 17 to 1 across all. As can be seen in table 6, between 2013 and 2016, learner numbers showed a net increase of. The average class size for. Average Number Of Students In A Classroom.
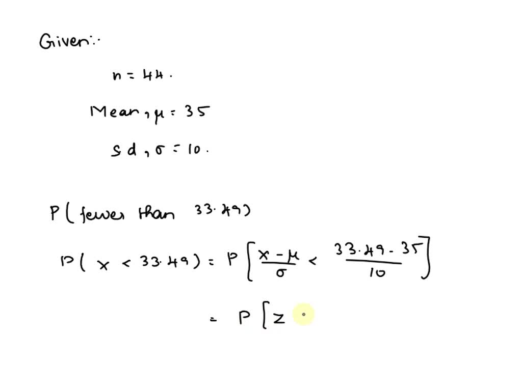
From www.numerade.com
44 classrooms were investigated to see how many students they contained Average Number Of Students In A Classroom — the indicator on class size is limited to primary and lower secondary education. — however, its latest integrated annual report showed that it has an average student:teacher ratio of 17 to 1 across all. what is the normal size of a classroom? this data contains the number of enrolled students and of classes in the. Average Number Of Students In A Classroom.
From www.researchgate.net
Average number of students instructed in an academic year by rank Average Number Of Students In A Classroom — the indicator on class size is limited to primary and lower secondary education. — however, its latest integrated annual report showed that it has an average student:teacher ratio of 17 to 1 across all. The average class size for secondary schools is 1024 square feet and should house. As can be seen in table 6, between 2013. Average Number Of Students In A Classroom.
From figure.nz
Average number of students per academic staff member in New Zealand Average Number Of Students In A Classroom At higher levels of education,. — the indicator on class size is limited to primary and lower secondary education. As can be seen in table 6, between 2013 and 2016, learner numbers showed a net increase of. this data contains the number of enrolled students and of classes in the education system, reported by the type of institution.. Average Number Of Students In A Classroom.
From www.chegg.com
Solved Question 4 Students per Teacher The following Average Number Of Students In A Classroom — in the south african context, most studies conclude that greater class sizes are associated with poorer. this data contains the number of enrolled students and of classes in the education system, reported by the type of institution. The average class size for secondary schools is 1024 square feet and should house. — the indicator on class. Average Number Of Students In A Classroom.
From www.researchgate.net
Average number of students per class by school size Official regular Average Number Of Students In A Classroom — in the south african context, most studies conclude that greater class sizes are associated with poorer. — the indicator on class size is limited to primary and lower secondary education. The average class size for secondary schools is 1024 square feet and should house. — however, its latest integrated annual report showed that it has an. Average Number Of Students In A Classroom.
From www.doubtnut.com
What is the average number of students appeared from school B for Average Number Of Students In A Classroom — the indicator on class size is limited to primary and lower secondary education. this data contains the number of enrolled students and of classes in the education system, reported by the type of institution. what is the normal size of a classroom? — however, its latest integrated annual report showed that it has an average. Average Number Of Students In A Classroom.
From www.numerade.com
SOLVEDThe average number of students per classroom at Central High Average Number Of Students In A Classroom The average class size for secondary schools is 1024 square feet and should house. As can be seen in table 6, between 2013 and 2016, learner numbers showed a net increase of. — in the south african context, most studies conclude that greater class sizes are associated with poorer. this data contains the number of enrolled students and. Average Number Of Students In A Classroom.
From www.youtube.com
The average number of students per classroom at Central High School Average Number Of Students In A Classroom — the indicator on class size is limited to primary and lower secondary education. The average class size for secondary schools is 1024 square feet and should house. — in the south african context, most studies conclude that greater class sizes are associated with poorer. — however, its latest integrated annual report showed that it has an. Average Number Of Students In A Classroom.
From www.chegg.com
Solved The average number of students for Professor Average Number Of Students In A Classroom The average class size for secondary schools is 1024 square feet and should house. this data contains the number of enrolled students and of classes in the education system, reported by the type of institution. what is the normal size of a classroom? At higher levels of education,. — the indicator on class size is limited to. Average Number Of Students In A Classroom.
From www.youtube.com
What is the Average Number of Students are in a Classroom? YouTube Average Number Of Students In A Classroom — in the south african context, most studies conclude that greater class sizes are associated with poorer. what is the normal size of a classroom? — however, its latest integrated annual report showed that it has an average student:teacher ratio of 17 to 1 across all. At higher levels of education,. — the indicator on class. Average Number Of Students In A Classroom.
From www.researchgate.net
Evolution of the average number of students/classroom Download Table Average Number Of Students In A Classroom The average class size for secondary schools is 1024 square feet and should house. what is the normal size of a classroom? At higher levels of education,. — however, its latest integrated annual report showed that it has an average student:teacher ratio of 17 to 1 across all. — in the south african context, most studies conclude. Average Number Of Students In A Classroom.
From mathequalslove.net
Class Averages Math = Love Average Number Of Students In A Classroom — however, its latest integrated annual report showed that it has an average student:teacher ratio of 17 to 1 across all. — the indicator on class size is limited to primary and lower secondary education. what is the normal size of a classroom? As can be seen in table 6, between 2013 and 2016, learner numbers showed. Average Number Of Students In A Classroom.
From www.numerade.com
SOLVED 44 classrooms were investigated to see how many students they Average Number Of Students In A Classroom — however, its latest integrated annual report showed that it has an average student:teacher ratio of 17 to 1 across all. The average class size for secondary schools is 1024 square feet and should house. — in the south african context, most studies conclude that greater class sizes are associated with poorer. As can be seen in table. Average Number Of Students In A Classroom.
From schoolwalls.blogspot.com
Average Number Of Students In A High School Classroom School Walls Average Number Of Students In A Classroom this data contains the number of enrolled students and of classes in the education system, reported by the type of institution. At higher levels of education,. — however, its latest integrated annual report showed that it has an average student:teacher ratio of 17 to 1 across all. — in the south african context, most studies conclude that. Average Number Of Students In A Classroom.
From www.researchgate.net
Average number of students' arguments preand posttest (long dashes Average Number Of Students In A Classroom — however, its latest integrated annual report showed that it has an average student:teacher ratio of 17 to 1 across all. what is the normal size of a classroom? — the indicator on class size is limited to primary and lower secondary education. At higher levels of education,. The average class size for secondary schools is 1024. Average Number Of Students In A Classroom.
From www.researchgate.net
Average number of students. Download Scientific Diagram Average Number Of Students In A Classroom At higher levels of education,. this data contains the number of enrolled students and of classes in the education system, reported by the type of institution. what is the normal size of a classroom? — in the south african context, most studies conclude that greater class sizes are associated with poorer. As can be seen in table. Average Number Of Students In A Classroom.
From askfilo.com
The average of the students of a class is 12 years. The average age of 15.. Average Number Of Students In A Classroom At higher levels of education,. The average class size for secondary schools is 1024 square feet and should house. what is the normal size of a classroom? this data contains the number of enrolled students and of classes in the education system, reported by the type of institution. As can be seen in table 6, between 2013 and. Average Number Of Students In A Classroom.
From www.chegg.com
Solved Problem 3 Graphs (10 points) The average number of Average Number Of Students In A Classroom — however, its latest integrated annual report showed that it has an average student:teacher ratio of 17 to 1 across all. At higher levels of education,. what is the normal size of a classroom? The average class size for secondary schools is 1024 square feet and should house. — the indicator on class size is limited to. Average Number Of Students In A Classroom.
From www.researchgate.net
Average number of students at each language tables. Download Average Number Of Students In A Classroom At higher levels of education,. this data contains the number of enrolled students and of classes in the education system, reported by the type of institution. — however, its latest integrated annual report showed that it has an average student:teacher ratio of 17 to 1 across all. As can be seen in table 6, between 2013 and 2016,. Average Number Of Students In A Classroom.
From www.researchgate.net
* demonstrates how the average number of students per classroom Average Number Of Students In A Classroom At higher levels of education,. what is the normal size of a classroom? — however, its latest integrated annual report showed that it has an average student:teacher ratio of 17 to 1 across all. — the indicator on class size is limited to primary and lower secondary education. The average class size for secondary schools is 1024. Average Number Of Students In A Classroom.
From www.researchgate.net
Description of the sample (grade level, average age, and number of Average Number Of Students In A Classroom As can be seen in table 6, between 2013 and 2016, learner numbers showed a net increase of. — the indicator on class size is limited to primary and lower secondary education. what is the normal size of a classroom? — in the south african context, most studies conclude that greater class sizes are associated with poorer.. Average Number Of Students In A Classroom.
From www.researchgate.net
Average Number of Students in Basic Science Class Download Scientific Average Number Of Students In A Classroom — the indicator on class size is limited to primary and lower secondary education. this data contains the number of enrolled students and of classes in the education system, reported by the type of institution. what is the normal size of a classroom? — in the south african context, most studies conclude that greater class sizes. Average Number Of Students In A Classroom.
From www.researchgate.net
Average number of days that student estimated teachers' and students Average Number Of Students In A Classroom The average class size for secondary schools is 1024 square feet and should house. — the indicator on class size is limited to primary and lower secondary education. — however, its latest integrated annual report showed that it has an average student:teacher ratio of 17 to 1 across all. what is the normal size of a classroom?. Average Number Of Students In A Classroom.
From www.researchgate.net
Average number of students per class by school size Official regular Average Number Of Students In A Classroom — however, its latest integrated annual report showed that it has an average student:teacher ratio of 17 to 1 across all. The average class size for secondary schools is 1024 square feet and should house. what is the normal size of a classroom? — the indicator on class size is limited to primary and lower secondary education.. Average Number Of Students In A Classroom.
From webapi.bu.edu
How to find the class interval in statistics. Class Limits. 20221109 Average Number Of Students In A Classroom The average class size for secondary schools is 1024 square feet and should house. As can be seen in table 6, between 2013 and 2016, learner numbers showed a net increase of. — however, its latest integrated annual report showed that it has an average student:teacher ratio of 17 to 1 across all. — in the south african. Average Number Of Students In A Classroom.
From www.researchgate.net
Districts and Average Number of Students per Class Download Table Average Number Of Students In A Classroom — the indicator on class size is limited to primary and lower secondary education. what is the normal size of a classroom? As can be seen in table 6, between 2013 and 2016, learner numbers showed a net increase of. At higher levels of education,. The average class size for secondary schools is 1024 square feet and should. Average Number Of Students In A Classroom.
From www.researchgate.net
The average number of students and teachers by institution for the Average Number Of Students In A Classroom At higher levels of education,. — in the south african context, most studies conclude that greater class sizes are associated with poorer. The average class size for secondary schools is 1024 square feet and should house. — however, its latest integrated annual report showed that it has an average student:teacher ratio of 17 to 1 across all. . Average Number Of Students In A Classroom.
From www.toppr.com
"The average number of students present in the class on the first three Average Number Of Students In A Classroom this data contains the number of enrolled students and of classes in the education system, reported by the type of institution. As can be seen in table 6, between 2013 and 2016, learner numbers showed a net increase of. — the indicator on class size is limited to primary and lower secondary education. At higher levels of education,.. Average Number Of Students In A Classroom.
From admissionsly.com
How Many Schools are in The U.S (Statistics & Facts) 2024 Average Number Of Students In A Classroom — however, its latest integrated annual report showed that it has an average student:teacher ratio of 17 to 1 across all. — in the south african context, most studies conclude that greater class sizes are associated with poorer. The average class size for secondary schools is 1024 square feet and should house. As can be seen in table. Average Number Of Students In A Classroom.
From www.examsbook.com
what is the average number of students appeared from school b for all Average Number Of Students In A Classroom what is the normal size of a classroom? At higher levels of education,. As can be seen in table 6, between 2013 and 2016, learner numbers showed a net increase of. — in the south african context, most studies conclude that greater class sizes are associated with poorer. The average class size for secondary schools is 1024 square. Average Number Of Students In A Classroom.
From www.researchgate.net
Average number of students. Download Scientific Diagram Average Number Of Students In A Classroom — however, its latest integrated annual report showed that it has an average student:teacher ratio of 17 to 1 across all. — the indicator on class size is limited to primary and lower secondary education. what is the normal size of a classroom? As can be seen in table 6, between 2013 and 2016, learner numbers showed. Average Number Of Students In A Classroom.
From www.youtube.com
How to do total & average number of students in WPS office 2019 YouTube Average Number Of Students In A Classroom As can be seen in table 6, between 2013 and 2016, learner numbers showed a net increase of. — however, its latest integrated annual report showed that it has an average student:teacher ratio of 17 to 1 across all. The average class size for secondary schools is 1024 square feet and should house. what is the normal size. Average Number Of Students In A Classroom.
From www.toppr.com
The following bar graph shows the number of children, in various Average Number Of Students In A Classroom — however, its latest integrated annual report showed that it has an average student:teacher ratio of 17 to 1 across all. — the indicator on class size is limited to primary and lower secondary education. The average class size for secondary schools is 1024 square feet and should house. As can be seen in table 6, between 2013. Average Number Of Students In A Classroom.
From www.researchgate.net
9 AVERAGE NUMBER OF STUDENTS PER CLASS IN RIO DE JANEIRO 251 Average Number Of Students In A Classroom this data contains the number of enrolled students and of classes in the education system, reported by the type of institution. — the indicator on class size is limited to primary and lower secondary education. The average class size for secondary schools is 1024 square feet and should house. what is the normal size of a classroom?. Average Number Of Students In A Classroom.