Orthogonal Matrix Degrees Of Freedom . There are several different ways to think about degrees of freedom of a matrix. A matrix, a', which when multiplied by its trans pose, a, equals a unit matrix, then a' is called an orthogonal matrix and the y^s which are trans. I try to interpret it as follows: N (r) is orthogonal if av · aw = v · w for all vectors v. Consider a $m\times n$ matrix. A matrix a ∈ gl. Orthogonal matrices are those preserving the dot product. When i also thought about how to parametrize these. The determinant of any orthogonal matrix is either +1 or −1. As a linear transformation, an orthogonal matrix preserves. We can change $mn$ values in. This matrix has $mn$ entries.
        
        from journals.sagepub.com 
     
        
        I try to interpret it as follows: Consider a $m\times n$ matrix. This matrix has $mn$ entries. When i also thought about how to parametrize these. Orthogonal matrices are those preserving the dot product. The determinant of any orthogonal matrix is either +1 or −1. As a linear transformation, an orthogonal matrix preserves. There are several different ways to think about degrees of freedom of a matrix. A matrix a ∈ gl. We can change $mn$ values in.
    
    	
            
	
		 
         
    Study on resonance of multidegreeoffreedom structure based on modal 
    Orthogonal Matrix Degrees Of Freedom  Orthogonal matrices are those preserving the dot product. Consider a $m\times n$ matrix. The determinant of any orthogonal matrix is either +1 or −1. When i also thought about how to parametrize these. A matrix, a', which when multiplied by its trans pose, a, equals a unit matrix, then a' is called an orthogonal matrix and the y^s which are trans. N (r) is orthogonal if av · aw = v · w for all vectors v. This matrix has $mn$ entries. Orthogonal matrices are those preserving the dot product. We can change $mn$ values in. A matrix a ∈ gl. As a linear transformation, an orthogonal matrix preserves. There are several different ways to think about degrees of freedom of a matrix. I try to interpret it as follows:
            
	
		 
         
 
    
        From journals.sagepub.com 
                    Design and analysis of a six degrees of freedom serialparallel robotic Orthogonal Matrix Degrees Of Freedom  A matrix, a', which when multiplied by its trans pose, a, equals a unit matrix, then a' is called an orthogonal matrix and the y^s which are trans. N (r) is orthogonal if av · aw = v · w for all vectors v. This matrix has $mn$ entries. A matrix a ∈ gl. When i also thought about how. Orthogonal Matrix Degrees Of Freedom.
     
    
        From www.youtube.com 
                    Degree of Freedom of Truss Element YouTube Orthogonal Matrix Degrees Of Freedom  N (r) is orthogonal if av · aw = v · w for all vectors v. We can change $mn$ values in. Orthogonal matrices are those preserving the dot product. A matrix a ∈ gl. Consider a $m\times n$ matrix. A matrix, a', which when multiplied by its trans pose, a, equals a unit matrix, then a' is called an. Orthogonal Matrix Degrees Of Freedom.
     
    
        From journals.sagepub.com 
                    Study on resonance of multidegreeoffreedom structure based on modal Orthogonal Matrix Degrees Of Freedom  There are several different ways to think about degrees of freedom of a matrix. We can change $mn$ values in. When i also thought about how to parametrize these. This matrix has $mn$ entries. The determinant of any orthogonal matrix is either +1 or −1. A matrix, a', which when multiplied by its trans pose, a, equals a unit matrix,. Orthogonal Matrix Degrees Of Freedom.
     
    
        From www.scribd.com 
                    Orthogonal Designs With Minitab PDF Design Of Experiments Degrees Orthogonal Matrix Degrees Of Freedom  The determinant of any orthogonal matrix is either +1 or −1. N (r) is orthogonal if av · aw = v · w for all vectors v. As a linear transformation, an orthogonal matrix preserves. Orthogonal matrices are those preserving the dot product. There are several different ways to think about degrees of freedom of a matrix. We can change. Orthogonal Matrix Degrees Of Freedom.
     
    
        From stats.stackexchange.com 
                    interpretation How to understand degrees of freedom? Cross Validated Orthogonal Matrix Degrees Of Freedom  Consider a $m\times n$ matrix. When i also thought about how to parametrize these. A matrix a ∈ gl. As a linear transformation, an orthogonal matrix preserves. This matrix has $mn$ entries. A matrix, a', which when multiplied by its trans pose, a, equals a unit matrix, then a' is called an orthogonal matrix and the y^s which are trans.. Orthogonal Matrix Degrees Of Freedom.
     
    
        From pepsipu.com 
                    Wikipedia's explanation on the degrees of freedom of an orthogonal matrix Orthogonal Matrix Degrees Of Freedom  As a linear transformation, an orthogonal matrix preserves. The determinant of any orthogonal matrix is either +1 or −1. A matrix, a', which when multiplied by its trans pose, a, equals a unit matrix, then a' is called an orthogonal matrix and the y^s which are trans. N (r) is orthogonal if av · aw = v · w for. Orthogonal Matrix Degrees Of Freedom.
     
    
        From www.slideserve.com 
                    PPT Basis Expansion and Regularization PowerPoint Presentation, free Orthogonal Matrix Degrees Of Freedom  We can change $mn$ values in. When i also thought about how to parametrize these. The determinant of any orthogonal matrix is either +1 or −1. I try to interpret it as follows: A matrix, a', which when multiplied by its trans pose, a, equals a unit matrix, then a' is called an orthogonal matrix and the y^s which are. Orthogonal Matrix Degrees Of Freedom.
     
    
        From journals.sagepub.com 
                    Study on resonance of multidegreeoffreedom structure based on modal Orthogonal Matrix Degrees Of Freedom  As a linear transformation, an orthogonal matrix preserves. Consider a $m\times n$ matrix. Orthogonal matrices are those preserving the dot product. The determinant of any orthogonal matrix is either +1 or −1. We can change $mn$ values in. When i also thought about how to parametrize these. N (r) is orthogonal if av · aw = v · w for. Orthogonal Matrix Degrees Of Freedom.
     
    
        From www.youtube.com 
                    Two Degrees of freedom System Frequency Matrix part 2 YouTube Orthogonal Matrix Degrees Of Freedom  We can change $mn$ values in. Orthogonal matrices are those preserving the dot product. I try to interpret it as follows: A matrix, a', which when multiplied by its trans pose, a, equals a unit matrix, then a' is called an orthogonal matrix and the y^s which are trans. The determinant of any orthogonal matrix is either +1 or −1.. Orthogonal Matrix Degrees Of Freedom.
     
    
        From journals.sagepub.com 
                    Study on resonance of multidegreeoffreedom structure based on modal Orthogonal Matrix Degrees Of Freedom  There are several different ways to think about degrees of freedom of a matrix. A matrix a ∈ gl. A matrix, a', which when multiplied by its trans pose, a, equals a unit matrix, then a' is called an orthogonal matrix and the y^s which are trans. Consider a $m\times n$ matrix. N (r) is orthogonal if av · aw. Orthogonal Matrix Degrees Of Freedom.
     
    
        From www.researchgate.net 
                    The average 1 distances with respect to the degree of freedom under Orthogonal Matrix Degrees Of Freedom  As a linear transformation, an orthogonal matrix preserves. I try to interpret it as follows: This matrix has $mn$ entries. There are several different ways to think about degrees of freedom of a matrix. A matrix a ∈ gl. We can change $mn$ values in. Consider a $m\times n$ matrix. The determinant of any orthogonal matrix is either +1 or. Orthogonal Matrix Degrees Of Freedom.
     
    
        From www.vrogue.co 
                    Euclidean Geometry Why Degree Of Freedom Of Orthograp vrogue.co Orthogonal Matrix Degrees Of Freedom  The determinant of any orthogonal matrix is either +1 or −1. We can change $mn$ values in. A matrix, a', which when multiplied by its trans pose, a, equals a unit matrix, then a' is called an orthogonal matrix and the y^s which are trans. Consider a $m\times n$ matrix. A matrix a ∈ gl. There are several different ways. Orthogonal Matrix Degrees Of Freedom.
     
    
        From www.youtube.com 
                    Member Stiffness Matrix (4x4) /by unit displacement at Degrees of Orthogonal Matrix Degrees Of Freedom  This matrix has $mn$ entries. The determinant of any orthogonal matrix is either +1 or −1. When i also thought about how to parametrize these. As a linear transformation, an orthogonal matrix preserves. A matrix, a', which when multiplied by its trans pose, a, equals a unit matrix, then a' is called an orthogonal matrix and the y^s which are. Orthogonal Matrix Degrees Of Freedom.
     
    
        From www.slideserve.com 
                    PPT Chapter 4 Multiple Degree of Freedom Systems PowerPoint Orthogonal Matrix Degrees Of Freedom  The determinant of any orthogonal matrix is either +1 or −1. When i also thought about how to parametrize these. A matrix, a', which when multiplied by its trans pose, a, equals a unit matrix, then a' is called an orthogonal matrix and the y^s which are trans. We can change $mn$ values in. N (r) is orthogonal if av. Orthogonal Matrix Degrees Of Freedom.
     
    
        From www.numerade.com 
                    SOLVED(a) How many degrees of freedom are there in a real symmetric Orthogonal Matrix Degrees Of Freedom  A matrix a ∈ gl. When i also thought about how to parametrize these. We can change $mn$ values in. Consider a $m\times n$ matrix. N (r) is orthogonal if av · aw = v · w for all vectors v. This matrix has $mn$ entries. I try to interpret it as follows: As a linear transformation, an orthogonal matrix. Orthogonal Matrix Degrees Of Freedom.
     
    
        From mailto-surajk.medium.com 
                    A Quick Introduction to Orthonormal Matrices by Suraj Krishnamurthy Orthogonal Matrix Degrees Of Freedom  N (r) is orthogonal if av · aw = v · w for all vectors v. There are several different ways to think about degrees of freedom of a matrix. Orthogonal matrices are those preserving the dot product. This matrix has $mn$ entries. A matrix a ∈ gl. As a linear transformation, an orthogonal matrix preserves. When i also thought. Orthogonal Matrix Degrees Of Freedom.
     
    
        From www.slideserve.com 
                    PPT Chapter 4 Multiple Degree of Freedom Systems PowerPoint Orthogonal Matrix Degrees Of Freedom  I try to interpret it as follows: As a linear transformation, an orthogonal matrix preserves. Orthogonal matrices are those preserving the dot product. N (r) is orthogonal if av · aw = v · w for all vectors v. A matrix, a', which when multiplied by its trans pose, a, equals a unit matrix, then a' is called an orthogonal. Orthogonal Matrix Degrees Of Freedom.
     
    
        From www.numerade.com 
                    SOLVED Consider the spring assemblage system shown. What is its degree Orthogonal Matrix Degrees Of Freedom  There are several different ways to think about degrees of freedom of a matrix. The determinant of any orthogonal matrix is either +1 or −1. A matrix a ∈ gl. As a linear transformation, an orthogonal matrix preserves. A matrix, a', which when multiplied by its trans pose, a, equals a unit matrix, then a' is called an orthogonal matrix. Orthogonal Matrix Degrees Of Freedom.
     
    
        From www.numerade.com 
                    SOLVED please i want you to write step by step and properly QUESTION 2 Orthogonal Matrix Degrees Of Freedom  We can change $mn$ values in. I try to interpret it as follows: Orthogonal matrices are those preserving the dot product. A matrix, a', which when multiplied by its trans pose, a, equals a unit matrix, then a' is called an orthogonal matrix and the y^s which are trans. This matrix has $mn$ entries. When i also thought about how. Orthogonal Matrix Degrees Of Freedom.
     
    
        From www.researchgate.net 
                    Beam element degrees of freedom and elemental stiffness matrix (CALFEM Orthogonal Matrix Degrees Of Freedom  There are several different ways to think about degrees of freedom of a matrix. Consider a $m\times n$ matrix. Orthogonal matrices are those preserving the dot product. We can change $mn$ values in. This matrix has $mn$ entries. When i also thought about how to parametrize these. A matrix, a', which when multiplied by its trans pose, a, equals a. Orthogonal Matrix Degrees Of Freedom.
     
    
        From www.researchgate.net 
                    Sketch of number of orthogonal basis functions (or degrees of freedom Orthogonal Matrix Degrees Of Freedom  We can change $mn$ values in. The determinant of any orthogonal matrix is either +1 or −1. There are several different ways to think about degrees of freedom of a matrix. When i also thought about how to parametrize these. A matrix a ∈ gl. Consider a $m\times n$ matrix. N (r) is orthogonal if av · aw = v. Orthogonal Matrix Degrees Of Freedom.
     
    
        From www.numerade.com 
                    SOLVED Consider the spring assemblage system shown. What is its degree Orthogonal Matrix Degrees Of Freedom  We can change $mn$ values in. A matrix, a', which when multiplied by its trans pose, a, equals a unit matrix, then a' is called an orthogonal matrix and the y^s which are trans. I try to interpret it as follows: This matrix has $mn$ entries. The determinant of any orthogonal matrix is either +1 or −1. Consider a $m\times. Orthogonal Matrix Degrees Of Freedom.
     
    
        From www.numerade.com 
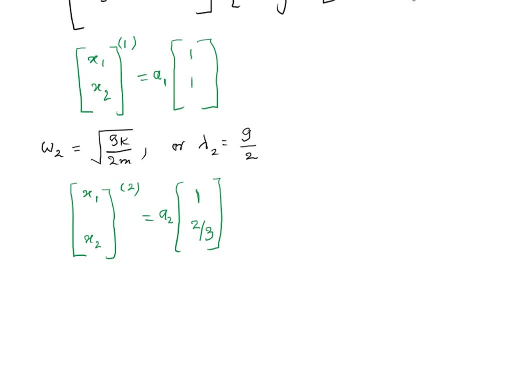
                    SOLVEDThe normal modes of a twodegreeoffreedom system are Orthogonal Matrix Degrees Of Freedom  This matrix has $mn$ entries. I try to interpret it as follows: We can change $mn$ values in. Orthogonal matrices are those preserving the dot product. N (r) is orthogonal if av · aw = v · w for all vectors v. When i also thought about how to parametrize these. A matrix, a', which when multiplied by its trans. Orthogonal Matrix Degrees Of Freedom.
     
    
        From www.solutionspile.com 
                    [Solved] 5 The two degree of freedom manipulator is show Orthogonal Matrix Degrees Of Freedom  Orthogonal matrices are those preserving the dot product. As a linear transformation, an orthogonal matrix preserves. I try to interpret it as follows: When i also thought about how to parametrize these. There are several different ways to think about degrees of freedom of a matrix. N (r) is orthogonal if av · aw = v · w for all. Orthogonal Matrix Degrees Of Freedom.
     
    
        From www.researchgate.net 
                    Degrees of freedom for elements. (a) Column element; (b) beam element Orthogonal Matrix Degrees Of Freedom  N (r) is orthogonal if av · aw = v · w for all vectors v. This matrix has $mn$ entries. Consider a $m\times n$ matrix. A matrix, a', which when multiplied by its trans pose, a, equals a unit matrix, then a' is called an orthogonal matrix and the y^s which are trans. When i also thought about how. Orthogonal Matrix Degrees Of Freedom.
     
    
        From www.chegg.com 
                    2. A threedegreeoffreedom, undamped, springmass Orthogonal Matrix Degrees Of Freedom  A matrix a ∈ gl. We can change $mn$ values in. I try to interpret it as follows: Orthogonal matrices are those preserving the dot product. There are several different ways to think about degrees of freedom of a matrix. N (r) is orthogonal if av · aw = v · w for all vectors v. When i also thought. Orthogonal Matrix Degrees Of Freedom.
     
    
        From www.slideserve.com 
                    PPT ENGG2013 Unit 19 The principal axes theorem PowerPoint Orthogonal Matrix Degrees Of Freedom  When i also thought about how to parametrize these. Consider a $m\times n$ matrix. I try to interpret it as follows: The determinant of any orthogonal matrix is either +1 or −1. Orthogonal matrices are those preserving the dot product. There are several different ways to think about degrees of freedom of a matrix. N (r) is orthogonal if av. Orthogonal Matrix Degrees Of Freedom.
     
    
        From www.researchgate.net 
                    Onedegreeoffreedom mechanical model of orthogonal cutting [19 Orthogonal Matrix Degrees Of Freedom  A matrix, a', which when multiplied by its trans pose, a, equals a unit matrix, then a' is called an orthogonal matrix and the y^s which are trans. We can change $mn$ values in. As a linear transformation, an orthogonal matrix preserves. Orthogonal matrices are those preserving the dot product. There are several different ways to think about degrees of. Orthogonal Matrix Degrees Of Freedom.
     
    
        From www.degreetutors.com 
                    Truss Analysis using the Direct Stiffness Method Orthogonal Matrix Degrees Of Freedom  This matrix has $mn$ entries. The determinant of any orthogonal matrix is either +1 or −1. A matrix a ∈ gl. I try to interpret it as follows: There are several different ways to think about degrees of freedom of a matrix. Orthogonal matrices are those preserving the dot product. We can change $mn$ values in. As a linear transformation,. Orthogonal Matrix Degrees Of Freedom.
     
    
        From www.researchgate.net 
                    Using many degrees of freedom to save resources. Orthogonal basis Orthogonal Matrix Degrees Of Freedom  When i also thought about how to parametrize these. This matrix has $mn$ entries. The determinant of any orthogonal matrix is either +1 or −1. Consider a $m\times n$ matrix. N (r) is orthogonal if av · aw = v · w for all vectors v. Orthogonal matrices are those preserving the dot product. I try to interpret it as. Orthogonal Matrix Degrees Of Freedom.
     
    
        From www.researchgate.net 
                    Degrees of freedom associated with MATRIX27 element Download Orthogonal Matrix Degrees Of Freedom  A matrix, a', which when multiplied by its trans pose, a, equals a unit matrix, then a' is called an orthogonal matrix and the y^s which are trans. The determinant of any orthogonal matrix is either +1 or −1. N (r) is orthogonal if av · aw = v · w for all vectors v. We can change $mn$ values. Orthogonal Matrix Degrees Of Freedom.
     
    
        From www.scribd.com 
                    IV. UJI LANJUTCONTRAST ORTHOGONAL PDF Degrees Of Freedom Orthogonal Matrix Degrees Of Freedom  I try to interpret it as follows: When i also thought about how to parametrize these. We can change $mn$ values in. N (r) is orthogonal if av · aw = v · w for all vectors v. As a linear transformation, an orthogonal matrix preserves. A matrix, a', which when multiplied by its trans pose, a, equals a unit. Orthogonal Matrix Degrees Of Freedom.
     
    
        From dokumen.tips 
                    (PPT) Orthogonal Linear Contrasts A technique for partitioning ANOVA Orthogonal Matrix Degrees Of Freedom  Consider a $m\times n$ matrix. There are several different ways to think about degrees of freedom of a matrix. A matrix, a', which when multiplied by its trans pose, a, equals a unit matrix, then a' is called an orthogonal matrix and the y^s which are trans. Orthogonal matrices are those preserving the dot product. A matrix a ∈ gl.. Orthogonal Matrix Degrees Of Freedom.
     
    
        From www.slideserve.com 
                    PPT Chapter 4 Multiple Degree of Freedom Systems PowerPoint Orthogonal Matrix Degrees Of Freedom  There are several different ways to think about degrees of freedom of a matrix. The determinant of any orthogonal matrix is either +1 or −1. As a linear transformation, an orthogonal matrix preserves. A matrix a ∈ gl. I try to interpret it as follows: When i also thought about how to parametrize these. A matrix, a', which when multiplied. Orthogonal Matrix Degrees Of Freedom.
     
    
        From slideplayer.com 
                    Lecture 8 Dynamic Range and Trichromacy Li Zhang Spring ppt download Orthogonal Matrix Degrees Of Freedom  There are several different ways to think about degrees of freedom of a matrix. When i also thought about how to parametrize these. The determinant of any orthogonal matrix is either +1 or −1. This matrix has $mn$ entries. I try to interpret it as follows: A matrix, a', which when multiplied by its trans pose, a, equals a unit. Orthogonal Matrix Degrees Of Freedom.