Hobbing Machine Gear Cutting Formula . This web page is about estimating hobbing times for external cylindrical gears. Primary gear hobbing cutting parameters include the radial feed rate, the axial feed rate, the work spindle speed, or work spindle revolutions per minute (rpm), and the hob spindle speed, or hob spindle rpm. This is achieved by a hobbing. It does not contain any information related to. What are the primary gear hobbing cutting parameters? Learn about the basics of gear hobbing, a generating process that uses a cutting tool with gashes to form gear teeth. In the process chain for gear manufacturing, gear hobbing is one of the most productive processes for soft machining of gears. Gear hobbing is the most productive generating process for external cylindrical gears.
from true-gear.com
Primary gear hobbing cutting parameters include the radial feed rate, the axial feed rate, the work spindle speed, or work spindle revolutions per minute (rpm), and the hob spindle speed, or hob spindle rpm. Gear hobbing is the most productive generating process for external cylindrical gears. This is achieved by a hobbing. Learn about the basics of gear hobbing, a generating process that uses a cutting tool with gashes to form gear teeth. It does not contain any information related to. This web page is about estimating hobbing times for external cylindrical gears. In the process chain for gear manufacturing, gear hobbing is one of the most productive processes for soft machining of gears. What are the primary gear hobbing cutting parameters?
Explaining Gear Shaping & Gear Hobbing
Hobbing Machine Gear Cutting Formula Primary gear hobbing cutting parameters include the radial feed rate, the axial feed rate, the work spindle speed, or work spindle revolutions per minute (rpm), and the hob spindle speed, or hob spindle rpm. In the process chain for gear manufacturing, gear hobbing is one of the most productive processes for soft machining of gears. This web page is about estimating hobbing times for external cylindrical gears. Primary gear hobbing cutting parameters include the radial feed rate, the axial feed rate, the work spindle speed, or work spindle revolutions per minute (rpm), and the hob spindle speed, or hob spindle rpm. Learn about the basics of gear hobbing, a generating process that uses a cutting tool with gashes to form gear teeth. This is achieved by a hobbing. What are the primary gear hobbing cutting parameters? Gear hobbing is the most productive generating process for external cylindrical gears. It does not contain any information related to.
From asthegearturns.com
The Hobbing Process, Part 1 As the Gear Turns Hobbing Machine Gear Cutting Formula In the process chain for gear manufacturing, gear hobbing is one of the most productive processes for soft machining of gears. Gear hobbing is the most productive generating process for external cylindrical gears. Learn about the basics of gear hobbing, a generating process that uses a cutting tool with gashes to form gear teeth. It does not contain any information. Hobbing Machine Gear Cutting Formula.
From thors.com
Gear Hobbing Cutting Parameters to Optimize the Hobbing Process Hobbing Machine Gear Cutting Formula In the process chain for gear manufacturing, gear hobbing is one of the most productive processes for soft machining of gears. What are the primary gear hobbing cutting parameters? It does not contain any information related to. This is achieved by a hobbing. Learn about the basics of gear hobbing, a generating process that uses a cutting tool with gashes. Hobbing Machine Gear Cutting Formula.
From engineeringlearn.com
Gear Hobbing Machine Definition, Types, Uses, Working & Construction Hobbing Machine Gear Cutting Formula It does not contain any information related to. Gear hobbing is the most productive generating process for external cylindrical gears. This is achieved by a hobbing. What are the primary gear hobbing cutting parameters? Learn about the basics of gear hobbing, a generating process that uses a cutting tool with gashes to form gear teeth. This web page is about. Hobbing Machine Gear Cutting Formula.
From www.meshingwithgears.com
FAQ about gear cutting, gear software and gear design Hobbing Machine Gear Cutting Formula This web page is about estimating hobbing times for external cylindrical gears. Learn about the basics of gear hobbing, a generating process that uses a cutting tool with gashes to form gear teeth. Primary gear hobbing cutting parameters include the radial feed rate, the axial feed rate, the work spindle speed, or work spindle revolutions per minute (rpm), and the. Hobbing Machine Gear Cutting Formula.
From jcl-tech.com
JCL Gear geometry and control dimensions Hobbing Machine Gear Cutting Formula Primary gear hobbing cutting parameters include the radial feed rate, the axial feed rate, the work spindle speed, or work spindle revolutions per minute (rpm), and the hob spindle speed, or hob spindle rpm. What are the primary gear hobbing cutting parameters? In the process chain for gear manufacturing, gear hobbing is one of the most productive processes for soft. Hobbing Machine Gear Cutting Formula.
From www.researchgate.net
Concept of spiral bevel gear hobbing. Download Scientific Diagram Hobbing Machine Gear Cutting Formula Learn about the basics of gear hobbing, a generating process that uses a cutting tool with gashes to form gear teeth. In the process chain for gear manufacturing, gear hobbing is one of the most productive processes for soft machining of gears. This web page is about estimating hobbing times for external cylindrical gears. Primary gear hobbing cutting parameters include. Hobbing Machine Gear Cutting Formula.
From thors.com
Gear Hobbing Cutting Parameters to Optimize the Hobbing Process Hobbing Machine Gear Cutting Formula It does not contain any information related to. What are the primary gear hobbing cutting parameters? Primary gear hobbing cutting parameters include the radial feed rate, the axial feed rate, the work spindle speed, or work spindle revolutions per minute (rpm), and the hob spindle speed, or hob spindle rpm. This is achieved by a hobbing. This web page is. Hobbing Machine Gear Cutting Formula.
From www.youtube.com
Gear Manufacturing Methods i.e.Gear Hobbing and Gear Shaping YouTube Hobbing Machine Gear Cutting Formula Learn about the basics of gear hobbing, a generating process that uses a cutting tool with gashes to form gear teeth. This web page is about estimating hobbing times for external cylindrical gears. What are the primary gear hobbing cutting parameters? In the process chain for gear manufacturing, gear hobbing is one of the most productive processes for soft machining. Hobbing Machine Gear Cutting Formula.
From www.researchgate.net
Determination of the cutting force components in gear hobbing Hobbing Machine Gear Cutting Formula This is achieved by a hobbing. Gear hobbing is the most productive generating process for external cylindrical gears. It does not contain any information related to. Learn about the basics of gear hobbing, a generating process that uses a cutting tool with gashes to form gear teeth. Primary gear hobbing cutting parameters include the radial feed rate, the axial feed. Hobbing Machine Gear Cutting Formula.
From www.youtube.com
CNC Gear Hobbing MachineHow to cut Gear in CNC HobbingCNC होब्बिंग Hobbing Machine Gear Cutting Formula Learn about the basics of gear hobbing, a generating process that uses a cutting tool with gashes to form gear teeth. In the process chain for gear manufacturing, gear hobbing is one of the most productive processes for soft machining of gears. Primary gear hobbing cutting parameters include the radial feed rate, the axial feed rate, the work spindle speed,. Hobbing Machine Gear Cutting Formula.
From www.motorgearengineer.com
Gear Hobbing Service Introduction, Working, and Applications Hobbing Machine Gear Cutting Formula It does not contain any information related to. This is achieved by a hobbing. Gear hobbing is the most productive generating process for external cylindrical gears. In the process chain for gear manufacturing, gear hobbing is one of the most productive processes for soft machining of gears. Primary gear hobbing cutting parameters include the radial feed rate, the axial feed. Hobbing Machine Gear Cutting Formula.
From www.youtube.com
The process of Gear Hobbing. Engineer's Academy YouTube Hobbing Machine Gear Cutting Formula In the process chain for gear manufacturing, gear hobbing is one of the most productive processes for soft machining of gears. This is achieved by a hobbing. Gear hobbing is the most productive generating process for external cylindrical gears. Primary gear hobbing cutting parameters include the radial feed rate, the axial feed rate, the work spindle speed, or work spindle. Hobbing Machine Gear Cutting Formula.
From www.researchgate.net
a Schematic diagram of the gear hobbing machine (source authors). b Hobbing Machine Gear Cutting Formula It does not contain any information related to. In the process chain for gear manufacturing, gear hobbing is one of the most productive processes for soft machining of gears. Learn about the basics of gear hobbing, a generating process that uses a cutting tool with gashes to form gear teeth. Primary gear hobbing cutting parameters include the radial feed rate,. Hobbing Machine Gear Cutting Formula.
From www.youtube.com
Gear Hobbing Process Compilation Kompilasi Proses Gear Hobbing Hobbing Machine Gear Cutting Formula In the process chain for gear manufacturing, gear hobbing is one of the most productive processes for soft machining of gears. This is achieved by a hobbing. Learn about the basics of gear hobbing, a generating process that uses a cutting tool with gashes to form gear teeth. This web page is about estimating hobbing times for external cylindrical gears.. Hobbing Machine Gear Cutting Formula.
From www.youtube.com
Worms Gear Cutting Process on Hobbing Machine With Fly Tool, Tool Hobbing Machine Gear Cutting Formula Gear hobbing is the most productive generating process for external cylindrical gears. This web page is about estimating hobbing times for external cylindrical gears. Primary gear hobbing cutting parameters include the radial feed rate, the axial feed rate, the work spindle speed, or work spindle revolutions per minute (rpm), and the hob spindle speed, or hob spindle rpm. In the. Hobbing Machine Gear Cutting Formula.
From www.m3.tuc.gr
m3 Gear Hobbing Hobbing Machine Gear Cutting Formula It does not contain any information related to. In the process chain for gear manufacturing, gear hobbing is one of the most productive processes for soft machining of gears. Learn about the basics of gear hobbing, a generating process that uses a cutting tool with gashes to form gear teeth. Primary gear hobbing cutting parameters include the radial feed rate,. Hobbing Machine Gear Cutting Formula.
From www.semanticscholar.org
Figure 1 from CADBased Calculation of Cutting Force Components in Gear Hobbing Machine Gear Cutting Formula This is achieved by a hobbing. Learn about the basics of gear hobbing, a generating process that uses a cutting tool with gashes to form gear teeth. What are the primary gear hobbing cutting parameters? In the process chain for gear manufacturing, gear hobbing is one of the most productive processes for soft machining of gears. It does not contain. Hobbing Machine Gear Cutting Formula.
From www.youtube.com
Cutting of Helical gear on Hobbing machine YouTube Hobbing Machine Gear Cutting Formula Primary gear hobbing cutting parameters include the radial feed rate, the axial feed rate, the work spindle speed, or work spindle revolutions per minute (rpm), and the hob spindle speed, or hob spindle rpm. This web page is about estimating hobbing times for external cylindrical gears. In the process chain for gear manufacturing, gear hobbing is one of the most. Hobbing Machine Gear Cutting Formula.
From www.slideserve.com
PPT GEARS MACHINING PowerPoint Presentation, free download ID1414221 Hobbing Machine Gear Cutting Formula Learn about the basics of gear hobbing, a generating process that uses a cutting tool with gashes to form gear teeth. Gear hobbing is the most productive generating process for external cylindrical gears. It does not contain any information related to. This is achieved by a hobbing. Primary gear hobbing cutting parameters include the radial feed rate, the axial feed. Hobbing Machine Gear Cutting Formula.
From true-gear.com
Gear Cutting and Hobbing True Gear & Spline LTD. Hobbing Machine Gear Cutting Formula Learn about the basics of gear hobbing, a generating process that uses a cutting tool with gashes to form gear teeth. This is achieved by a hobbing. In the process chain for gear manufacturing, gear hobbing is one of the most productive processes for soft machining of gears. Gear hobbing is the most productive generating process for external cylindrical gears.. Hobbing Machine Gear Cutting Formula.
From www.meshingwithgears.us
FAQ about gear cutting, gear software and gear design Hobbing Machine Gear Cutting Formula What are the primary gear hobbing cutting parameters? It does not contain any information related to. This is achieved by a hobbing. Gear hobbing is the most productive generating process for external cylindrical gears. Primary gear hobbing cutting parameters include the radial feed rate, the axial feed rate, the work spindle speed, or work spindle revolutions per minute (rpm), and. Hobbing Machine Gear Cutting Formula.
From www.researchgate.net
Basic kinematics and essential parameters of gear hobbing Download Hobbing Machine Gear Cutting Formula This is achieved by a hobbing. Primary gear hobbing cutting parameters include the radial feed rate, the axial feed rate, the work spindle speed, or work spindle revolutions per minute (rpm), and the hob spindle speed, or hob spindle rpm. In the process chain for gear manufacturing, gear hobbing is one of the most productive processes for soft machining of. Hobbing Machine Gear Cutting Formula.
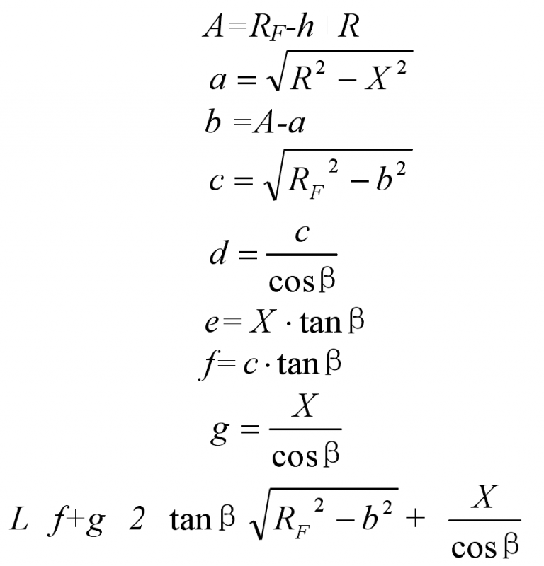
From www.zhygear.com
Calculation of working length of gear hobbing hob ZHY Gear Hobbing Machine Gear Cutting Formula What are the primary gear hobbing cutting parameters? It does not contain any information related to. This is achieved by a hobbing. Learn about the basics of gear hobbing, a generating process that uses a cutting tool with gashes to form gear teeth. Gear hobbing is the most productive generating process for external cylindrical gears. In the process chain for. Hobbing Machine Gear Cutting Formula.
From www.scribd.com
gear cutting formulae Gear Machines Hobbing Machine Gear Cutting Formula This web page is about estimating hobbing times for external cylindrical gears. It does not contain any information related to. This is achieved by a hobbing. In the process chain for gear manufacturing, gear hobbing is one of the most productive processes for soft machining of gears. Gear hobbing is the most productive generating process for external cylindrical gears. Learn. Hobbing Machine Gear Cutting Formula.
From www.emag.com
VL 4 H Gear Hobbing Machine for Fast Gear Cutting Hobbing Machine Gear Cutting Formula Learn about the basics of gear hobbing, a generating process that uses a cutting tool with gashes to form gear teeth. This is achieved by a hobbing. Gear hobbing is the most productive generating process for external cylindrical gears. It does not contain any information related to. What are the primary gear hobbing cutting parameters? Primary gear hobbing cutting parameters. Hobbing Machine Gear Cutting Formula.
From www.youtube.com
Hobbing a Helical Gear (Differential Method) YouTube Hobbing Machine Gear Cutting Formula Learn about the basics of gear hobbing, a generating process that uses a cutting tool with gashes to form gear teeth. This web page is about estimating hobbing times for external cylindrical gears. It does not contain any information related to. In the process chain for gear manufacturing, gear hobbing is one of the most productive processes for soft machining. Hobbing Machine Gear Cutting Formula.
From manufacturing-factory.com
The 3 Essential Methods for Gear Machining China Manufacturing parts Hobbing Machine Gear Cutting Formula This is achieved by a hobbing. This web page is about estimating hobbing times for external cylindrical gears. It does not contain any information related to. What are the primary gear hobbing cutting parameters? Gear hobbing is the most productive generating process for external cylindrical gears. Primary gear hobbing cutting parameters include the radial feed rate, the axial feed rate,. Hobbing Machine Gear Cutting Formula.
From learnmech.com
Gear Hobbing Parts, Working, Diagram, Advantages, Disadvantages Hobbing Machine Gear Cutting Formula It does not contain any information related to. This is achieved by a hobbing. In the process chain for gear manufacturing, gear hobbing is one of the most productive processes for soft machining of gears. Learn about the basics of gear hobbing, a generating process that uses a cutting tool with gashes to form gear teeth. What are the primary. Hobbing Machine Gear Cutting Formula.
From www.wto-tools.com
Gear Hobbing Hobbing Machine Gear Cutting Formula Gear hobbing is the most productive generating process for external cylindrical gears. Primary gear hobbing cutting parameters include the radial feed rate, the axial feed rate, the work spindle speed, or work spindle revolutions per minute (rpm), and the hob spindle speed, or hob spindle rpm. What are the primary gear hobbing cutting parameters? This web page is about estimating. Hobbing Machine Gear Cutting Formula.
From gearcutting.blogspot.com
Gear Manufacturing (By Cutting) Hobbing Process Diagram Hobbing Machine Gear Cutting Formula It does not contain any information related to. This is achieved by a hobbing. What are the primary gear hobbing cutting parameters? This web page is about estimating hobbing times for external cylindrical gears. Learn about the basics of gear hobbing, a generating process that uses a cutting tool with gashes to form gear teeth. Primary gear hobbing cutting parameters. Hobbing Machine Gear Cutting Formula.
From www.lampin.com
Hobbing and Gear Cutting Services by Lampin Co. Hobbing Machine Gear Cutting Formula Learn about the basics of gear hobbing, a generating process that uses a cutting tool with gashes to form gear teeth. What are the primary gear hobbing cutting parameters? This is achieved by a hobbing. It does not contain any information related to. This web page is about estimating hobbing times for external cylindrical gears. In the process chain for. Hobbing Machine Gear Cutting Formula.
From true-gear.com
Explaining Gear Shaping & Gear Hobbing Hobbing Machine Gear Cutting Formula In the process chain for gear manufacturing, gear hobbing is one of the most productive processes for soft machining of gears. This is achieved by a hobbing. Gear hobbing is the most productive generating process for external cylindrical gears. Learn about the basics of gear hobbing, a generating process that uses a cutting tool with gashes to form gear teeth.. Hobbing Machine Gear Cutting Formula.
From www.zhygear.com
Machining method of helical gear hobbing and shaping ZHY Gear Hobbing Machine Gear Cutting Formula What are the primary gear hobbing cutting parameters? Learn about the basics of gear hobbing, a generating process that uses a cutting tool with gashes to form gear teeth. This web page is about estimating hobbing times for external cylindrical gears. Gear hobbing is the most productive generating process for external cylindrical gears. It does not contain any information related. Hobbing Machine Gear Cutting Formula.
From www.youtube.com
Free Hobbing Method .Gear cutting YouTube Hobbing Machine Gear Cutting Formula What are the primary gear hobbing cutting parameters? Primary gear hobbing cutting parameters include the radial feed rate, the axial feed rate, the work spindle speed, or work spindle revolutions per minute (rpm), and the hob spindle speed, or hob spindle rpm. In the process chain for gear manufacturing, gear hobbing is one of the most productive processes for soft. Hobbing Machine Gear Cutting Formula.
From www.youtube.com
Gear cutting Helical gear repair (free hobbing technique) YouTube Hobbing Machine Gear Cutting Formula This is achieved by a hobbing. This web page is about estimating hobbing times for external cylindrical gears. What are the primary gear hobbing cutting parameters? Learn about the basics of gear hobbing, a generating process that uses a cutting tool with gashes to form gear teeth. Gear hobbing is the most productive generating process for external cylindrical gears. Primary. Hobbing Machine Gear Cutting Formula.