Business Communication Question Paper Answers . Explain the elements of communication. Briefly explain the various kinds of business letters. Multiple choice questions on business communication. Practice for bba or mba exams using these mcq. On studocu you will find 23 lecture notes, practice materials, mandatory. What are the objectives of a sales letter? The answer to short questions should not exceed 200 words and the answer to long answer type questions should not exceed 500 words. Studying business communication bc107 at amity university? The document provides a sample question paper for an mba. Questions 3 iibm institute of business management examination paper of business communication 1. It includes questions organized into multiple units that. Suppose you are working as an. This document contains a question bank for business communication and professional communication courses.
from sdak24.com
Studying business communication bc107 at amity university? It includes questions organized into multiple units that. Practice for bba or mba exams using these mcq. What are the objectives of a sales letter? Suppose you are working as an. Multiple choice questions on business communication. Questions 3 iibm institute of business management examination paper of business communication 1. Explain the elements of communication. The answer to short questions should not exceed 200 words and the answer to long answer type questions should not exceed 500 words. This document contains a question bank for business communication and professional communication courses.
Business Communication Question Paper 2022 with Answers sdak24
Business Communication Question Paper Answers It includes questions organized into multiple units that. This document contains a question bank for business communication and professional communication courses. Studying business communication bc107 at amity university? Questions 3 iibm institute of business management examination paper of business communication 1. Practice for bba or mba exams using these mcq. Explain the elements of communication. Briefly explain the various kinds of business letters. The answer to short questions should not exceed 200 words and the answer to long answer type questions should not exceed 500 words. What are the objectives of a sales letter? It includes questions organized into multiple units that. The document provides a sample question paper for an mba. Suppose you are working as an. Multiple choice questions on business communication. On studocu you will find 23 lecture notes, practice materials, mandatory.
From www.youtube.com
BUSINESS COMMUNICATION ISBM BMS EXAM QUESTION PAPER FOR ANSWER WHATSAPP Business Communication Question Paper Answers Explain the elements of communication. Multiple choice questions on business communication. Questions 3 iibm institute of business management examination paper of business communication 1. Briefly explain the various kinds of business letters. On studocu you will find 23 lecture notes, practice materials, mandatory. Studying business communication bc107 at amity university? Suppose you are working as an. Practice for bba or. Business Communication Question Paper Answers.
From www.shaalaa.com
Business Communication 20122013 Bachelor of Commerce 2nd Year Business Communication Question Paper Answers On studocu you will find 23 lecture notes, practice materials, mandatory. Studying business communication bc107 at amity university? This document contains a question bank for business communication and professional communication courses. Multiple choice questions on business communication. Explain the elements of communication. What are the objectives of a sales letter? It includes questions organized into multiple units that. The document. Business Communication Question Paper Answers.
From bhmstudynotes.com
Business Communication Question Paper BHM Study Notes Business Communication Question Paper Answers Practice for bba or mba exams using these mcq. Multiple choice questions on business communication. On studocu you will find 23 lecture notes, practice materials, mandatory. The document provides a sample question paper for an mba. What are the objectives of a sales letter? Studying business communication bc107 at amity university? Questions 3 iibm institute of business management examination paper. Business Communication Question Paper Answers.
From sdak24.com
Business Communication Question Paper 2022 with Answers sdak24 Business Communication Question Paper Answers What are the objectives of a sales letter? The document provides a sample question paper for an mba. On studocu you will find 23 lecture notes, practice materials, mandatory. It includes questions organized into multiple units that. Practice for bba or mba exams using these mcq. Questions 3 iibm institute of business management examination paper of business communication 1. The. Business Communication Question Paper Answers.
From entrance-exam.net
Business communication question papers? Business Communication Question Paper Answers The document provides a sample question paper for an mba. Multiple choice questions on business communication. Studying business communication bc107 at amity university? Questions 3 iibm institute of business management examination paper of business communication 1. It includes questions organized into multiple units that. Briefly explain the various kinds of business letters. Explain the elements of communication. Practice for bba. Business Communication Question Paper Answers.
From sdak24.com
Business Communication Question Paper 2022 with Answers sdak24 Business Communication Question Paper Answers What are the objectives of a sales letter? Questions 3 iibm institute of business management examination paper of business communication 1. This document contains a question bank for business communication and professional communication courses. Multiple choice questions on business communication. Explain the elements of communication. Studying business communication bc107 at amity university? The answer to short questions should not exceed. Business Communication Question Paper Answers.
From sdak24.com
Business Communication Question Paper 2022 with Answers sdak24 Business Communication Question Paper Answers Briefly explain the various kinds of business letters. Explain the elements of communication. Questions 3 iibm institute of business management examination paper of business communication 1. It includes questions organized into multiple units that. On studocu you will find 23 lecture notes, practice materials, mandatory. Practice for bba or mba exams using these mcq. The answer to short questions should. Business Communication Question Paper Answers.
From www.studocu.com
Bba business communication question paper 2022 D 2034 Q. Code DBBA Business Communication Question Paper Answers On studocu you will find 23 lecture notes, practice materials, mandatory. Practice for bba or mba exams using these mcq. Multiple choice questions on business communication. This document contains a question bank for business communication and professional communication courses. What are the objectives of a sales letter? Studying business communication bc107 at amity university? Explain the elements of communication. It. Business Communication Question Paper Answers.
From questionpaperscollection.blogspot.com
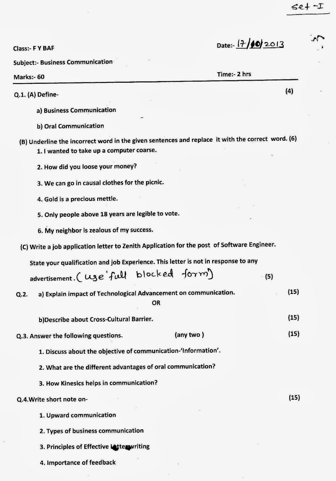
Question Papers Collection FYBAF Sem I Exam Business Communication Business Communication Question Paper Answers Multiple choice questions on business communication. The answer to short questions should not exceed 200 words and the answer to long answer type questions should not exceed 500 words. Studying business communication bc107 at amity university? The document provides a sample question paper for an mba. Briefly explain the various kinds of business letters. Practice for bba or mba exams. Business Communication Question Paper Answers.
From www.studocu.com
Question and answer of business communication Question and Answer of Business Communication Question Paper Answers Explain the elements of communication. Suppose you are working as an. This document contains a question bank for business communication and professional communication courses. Practice for bba or mba exams using these mcq. Questions 3 iibm institute of business management examination paper of business communication 1. Studying business communication bc107 at amity university? The answer to short questions should not. Business Communication Question Paper Answers.
From www.shaalaa.com
Business Communication 20172018 (External) (Correspondence) 2nd Business Communication Question Paper Answers Studying business communication bc107 at amity university? On studocu you will find 23 lecture notes, practice materials, mandatory. Questions 3 iibm institute of business management examination paper of business communication 1. Explain the elements of communication. The answer to short questions should not exceed 200 words and the answer to long answer type questions should not exceed 500 words. This. Business Communication Question Paper Answers.
From sdak24.com
Business Communication Question Paper 2022 with Answers sdak24 Business Communication Question Paper Answers Briefly explain the various kinds of business letters. What are the objectives of a sales letter? The document provides a sample question paper for an mba. Studying business communication bc107 at amity university? This document contains a question bank for business communication and professional communication courses. On studocu you will find 23 lecture notes, practice materials, mandatory. Questions 3 iibm. Business Communication Question Paper Answers.
From www.shaalaa.com
Business Communication 20172018 (General) Semester 2 Business Communication Question Paper Answers This document contains a question bank for business communication and professional communication courses. Studying business communication bc107 at amity university? Multiple choice questions on business communication. On studocu you will find 23 lecture notes, practice materials, mandatory. Briefly explain the various kinds of business letters. What are the objectives of a sales letter? Suppose you are working as an. Practice. Business Communication Question Paper Answers.
From pdfprof.com
business communication previous question papers Business Communication Question Paper Answers Studying business communication bc107 at amity university? This document contains a question bank for business communication and professional communication courses. Explain the elements of communication. Briefly explain the various kinds of business letters. The document provides a sample question paper for an mba. What are the objectives of a sales letter? Multiple choice questions on business communication. It includes questions. Business Communication Question Paper Answers.
From sdak24.com
Business Communication Question Paper 2022 with Answers sdak24 Business Communication Question Paper Answers Multiple choice questions on business communication. Suppose you are working as an. It includes questions organized into multiple units that. Studying business communication bc107 at amity university? The document provides a sample question paper for an mba. The answer to short questions should not exceed 200 words and the answer to long answer type questions should not exceed 500 words.. Business Communication Question Paper Answers.
From www.studocu.com
BUSINESS COMMUNICATION SHORT ANSWERS BUSINESS COMMUNICATION SHORT Business Communication Question Paper Answers The answer to short questions should not exceed 200 words and the answer to long answer type questions should not exceed 500 words. This document contains a question bank for business communication and professional communication courses. What are the objectives of a sales letter? The document provides a sample question paper for an mba. Multiple choice questions on business communication.. Business Communication Question Paper Answers.
From www.indianuniversityquestionpapers.com
Alagappa University Business Communication December 2021 Question Business Communication Question Paper Answers Practice for bba or mba exams using these mcq. It includes questions organized into multiple units that. Studying business communication bc107 at amity university? Briefly explain the various kinds of business letters. What are the objectives of a sales letter? On studocu you will find 23 lecture notes, practice materials, mandatory. Questions 3 iibm institute of business management examination paper. Business Communication Question Paper Answers.
From entrance-exam.net
Business communication question papers? Business Communication Question Paper Answers Multiple choice questions on business communication. Studying business communication bc107 at amity university? Briefly explain the various kinds of business letters. The answer to short questions should not exceed 200 words and the answer to long answer type questions should not exceed 500 words. On studocu you will find 23 lecture notes, practice materials, mandatory. Suppose you are working as. Business Communication Question Paper Answers.
From sdak24.com
Business Communication Question Paper 2022 with Answers sdak24 Business Communication Question Paper Answers Questions 3 iibm institute of business management examination paper of business communication 1. Studying business communication bc107 at amity university? Multiple choice questions on business communication. Briefly explain the various kinds of business letters. Explain the elements of communication. It includes questions organized into multiple units that. This document contains a question bank for business communication and professional communication courses.. Business Communication Question Paper Answers.
From sdak24.com
Business Communication Question Paper 2022 with Answers sdak24 Business Communication Question Paper Answers This document contains a question bank for business communication and professional communication courses. Explain the elements of communication. Practice for bba or mba exams using these mcq. The answer to short questions should not exceed 200 words and the answer to long answer type questions should not exceed 500 words. Briefly explain the various kinds of business letters. Suppose you. Business Communication Question Paper Answers.
From sdak24.com
Business Communication Question Paper 2022 with Answers sdak24 Business Communication Question Paper Answers Explain the elements of communication. Multiple choice questions on business communication. What are the objectives of a sales letter? Practice for bba or mba exams using these mcq. Suppose you are working as an. This document contains a question bank for business communication and professional communication courses. The document provides a sample question paper for an mba. Studying business communication. Business Communication Question Paper Answers.
From sdak24.com
Business Communication Question Paper 2022 with Answers sdak24 Business Communication Question Paper Answers It includes questions organized into multiple units that. The document provides a sample question paper for an mba. On studocu you will find 23 lecture notes, practice materials, mandatory. This document contains a question bank for business communication and professional communication courses. Studying business communication bc107 at amity university? What are the objectives of a sales letter? Explain the elements. Business Communication Question Paper Answers.
From sdak24.com
Business Communication Question Paper 2022 with Answers sdak24 Business Communication Question Paper Answers It includes questions organized into multiple units that. This document contains a question bank for business communication and professional communication courses. The document provides a sample question paper for an mba. Suppose you are working as an. On studocu you will find 23 lecture notes, practice materials, mandatory. The answer to short questions should not exceed 200 words and the. Business Communication Question Paper Answers.
From traceyouthshort.blogspot.com
Business Communication Skills Exam Questions Business Communication Question Paper Answers It includes questions organized into multiple units that. Questions 3 iibm institute of business management examination paper of business communication 1. Suppose you are working as an. The document provides a sample question paper for an mba. Explain the elements of communication. Studying business communication bc107 at amity university? This document contains a question bank for business communication and professional. Business Communication Question Paper Answers.
From www.youtube.com
1st year business communication question paper 2021 Business Communication Question Paper Answers Explain the elements of communication. On studocu you will find 23 lecture notes, practice materials, mandatory. Briefly explain the various kinds of business letters. What are the objectives of a sales letter? The answer to short questions should not exceed 200 words and the answer to long answer type questions should not exceed 500 words. Multiple choice questions on business. Business Communication Question Paper Answers.
From sdak24.com
Business Communication Question Paper 2022 with Answers sdak24 Business Communication Question Paper Answers Practice for bba or mba exams using these mcq. Explain the elements of communication. This document contains a question bank for business communication and professional communication courses. The answer to short questions should not exceed 200 words and the answer to long answer type questions should not exceed 500 words. What are the objectives of a sales letter? On studocu. Business Communication Question Paper Answers.
From sdak24.com
Business Communication Question Paper 2022 with Answers sdak24 Business Communication Question Paper Answers The document provides a sample question paper for an mba. This document contains a question bank for business communication and professional communication courses. Suppose you are working as an. The answer to short questions should not exceed 200 words and the answer to long answer type questions should not exceed 500 words. It includes questions organized into multiple units that.. Business Communication Question Paper Answers.
From sdak24.com
Business Communication Question Paper 2022 with Answers sdak24 Business Communication Question Paper Answers The answer to short questions should not exceed 200 words and the answer to long answer type questions should not exceed 500 words. Briefly explain the various kinds of business letters. Multiple choice questions on business communication. On studocu you will find 23 lecture notes, practice materials, mandatory. This document contains a question bank for business communication and professional communication. Business Communication Question Paper Answers.
From sdak24.com
Business Communication Question Paper 2022 with Answers sdak24 Business Communication Question Paper Answers Practice for bba or mba exams using these mcq. Multiple choice questions on business communication. Questions 3 iibm institute of business management examination paper of business communication 1. What are the objectives of a sales letter? Briefly explain the various kinds of business letters. The answer to short questions should not exceed 200 words and the answer to long answer. Business Communication Question Paper Answers.
From sdak24.com
Business Communication Question Paper 2022 with Answers sdak24 Business Communication Question Paper Answers On studocu you will find 23 lecture notes, practice materials, mandatory. The document provides a sample question paper for an mba. What are the objectives of a sales letter? Suppose you are working as an. Briefly explain the various kinds of business letters. Practice for bba or mba exams using these mcq. Questions 3 iibm institute of business management examination. Business Communication Question Paper Answers.
From sdak24.com
Business Communication Question Paper 2022 with Answers sdak24 Business Communication Question Paper Answers The document provides a sample question paper for an mba. Practice for bba or mba exams using these mcq. Studying business communication bc107 at amity university? It includes questions organized into multiple units that. Suppose you are working as an. What are the objectives of a sales letter? Explain the elements of communication. Multiple choice questions on business communication. The. Business Communication Question Paper Answers.
From sdak24.com
Business Communication Question Paper 2022 with Answers sdak24 Business Communication Question Paper Answers It includes questions organized into multiple units that. Briefly explain the various kinds of business letters. What are the objectives of a sales letter? The document provides a sample question paper for an mba. Studying business communication bc107 at amity university? Questions 3 iibm institute of business management examination paper of business communication 1. Practice for bba or mba exams. Business Communication Question Paper Answers.
From sdak24.com
Business Communication Question Paper 2022 with Answers sdak24 Business Communication Question Paper Answers Briefly explain the various kinds of business letters. It includes questions organized into multiple units that. Suppose you are working as an. Practice for bba or mba exams using these mcq. The answer to short questions should not exceed 200 words and the answer to long answer type questions should not exceed 500 words. The document provides a sample question. Business Communication Question Paper Answers.
From www.studocu.com
Business Communication UNIVERSITY QUESTION PAPER BBA BUSINESS Business Communication Question Paper Answers Studying business communication bc107 at amity university? The document provides a sample question paper for an mba. It includes questions organized into multiple units that. On studocu you will find 23 lecture notes, practice materials, mandatory. The answer to short questions should not exceed 200 words and the answer to long answer type questions should not exceed 500 words. Explain. Business Communication Question Paper Answers.
From sdak24.com
Business Communication Question Paper 2022 with Answers sdak24 Business Communication Question Paper Answers It includes questions organized into multiple units that. What are the objectives of a sales letter? Suppose you are working as an. Practice for bba or mba exams using these mcq. On studocu you will find 23 lecture notes, practice materials, mandatory. The document provides a sample question paper for an mba. This document contains a question bank for business. Business Communication Question Paper Answers.