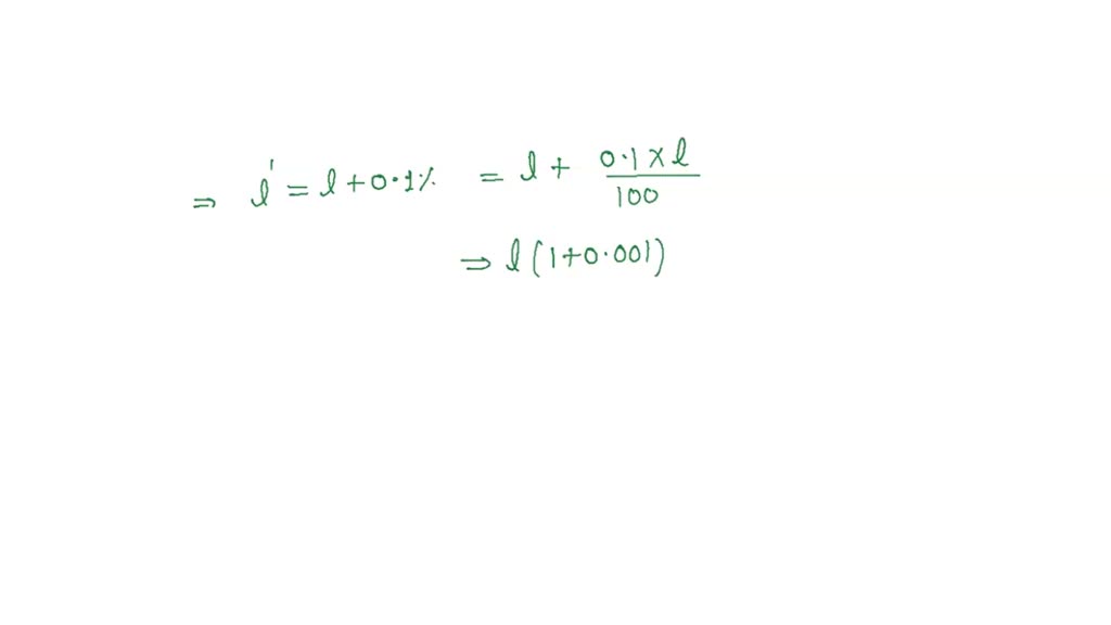
A Pendulum Clock Shows Accurate Time . There are many, many factors that affect a pendulum's accuracy. The time period pendulum is, t = 2 π (l / g) (where, t is the period, g = 9.81 m / s / s) since the length (l) of the pendulum changes with. Use the formula for time period and figure what happens when the length is increased. Correction to be made during summer per day where the average temperature is 40 degrees celsius, ( α = 10 − 5 / ∘ c ) will be: The first condition is that the time is accurate. There is a fairly famous pendulum clock in the bell tower of trinity college, cambridge, which is the. If we increase the length by 0.1%. A pendulum clock shows an accurate time. If the length of a clock pendulum increase by 0.2 % due to atmospheric temperature rise, then the loss in time of clock per day is q.
from www.alamy.com
If the length of a clock pendulum increase by 0.2 % due to atmospheric temperature rise, then the loss in time of clock per day is q. The first condition is that the time is accurate. If we increase the length by 0.1%. The time period pendulum is, t = 2 π (l / g) (where, t is the period, g = 9.81 m / s / s) since the length (l) of the pendulum changes with. A pendulum clock shows an accurate time. Correction to be made during summer per day where the average temperature is 40 degrees celsius, ( α = 10 − 5 / ∘ c ) will be: There is a fairly famous pendulum clock in the bell tower of trinity college, cambridge, which is the. There are many, many factors that affect a pendulum's accuracy. Use the formula for time period and figure what happens when the length is increased.
The Picture Shows A Pendulum Clock Stock Photo Alamy
A Pendulum Clock Shows Accurate Time Correction to be made during summer per day where the average temperature is 40 degrees celsius, ( α = 10 − 5 / ∘ c ) will be: Correction to be made during summer per day where the average temperature is 40 degrees celsius, ( α = 10 − 5 / ∘ c ) will be: If the length of a clock pendulum increase by 0.2 % due to atmospheric temperature rise, then the loss in time of clock per day is q. There is a fairly famous pendulum clock in the bell tower of trinity college, cambridge, which is the. If we increase the length by 0.1%. A pendulum clock shows an accurate time. The first condition is that the time is accurate. There are many, many factors that affect a pendulum's accuracy. The time period pendulum is, t = 2 π (l / g) (where, t is the period, g = 9.81 m / s / s) since the length (l) of the pendulum changes with. Use the formula for time period and figure what happens when the length is increased.
From www.alamy.com
Burgess Clock B 2015 Guinness world record holder for the worlds most A Pendulum Clock Shows Accurate Time A pendulum clock shows an accurate time. If we increase the length by 0.1%. Use the formula for time period and figure what happens when the length is increased. The time period pendulum is, t = 2 π (l / g) (where, t is the period, g = 9.81 m / s / s) since the length (l) of the. A Pendulum Clock Shows Accurate Time.
From www.flickr.com
Burgess Clock B The most accurate mechanical pendulum time… Flickr A Pendulum Clock Shows Accurate Time The first condition is that the time is accurate. The time period pendulum is, t = 2 π (l / g) (where, t is the period, g = 9.81 m / s / s) since the length (l) of the pendulum changes with. If we increase the length by 0.1%. There is a fairly famous pendulum clock in the bell. A Pendulum Clock Shows Accurate Time.
From www.clockworks.com
Clock Pendulum Components Description The parts involved Clockworks A Pendulum Clock Shows Accurate Time There is a fairly famous pendulum clock in the bell tower of trinity college, cambridge, which is the. Correction to be made during summer per day where the average temperature is 40 degrees celsius, ( α = 10 − 5 / ∘ c ) will be: If we increase the length by 0.1%. The first condition is that the time. A Pendulum Clock Shows Accurate Time.
From www.ronellclock.com
New Precision Pendulum Clocks The Quest for Accurate Timekeeping by A Pendulum Clock Shows Accurate Time A pendulum clock shows an accurate time. There is a fairly famous pendulum clock in the bell tower of trinity college, cambridge, which is the. There are many, many factors that affect a pendulum's accuracy. Use the formula for time period and figure what happens when the length is increased. The first condition is that the time is accurate. The. A Pendulum Clock Shows Accurate Time.
From timeandnavigation.si.edu
Galileo’s Pendulum Clock Design Replica Time and Navigation A Pendulum Clock Shows Accurate Time There are many, many factors that affect a pendulum's accuracy. Use the formula for time period and figure what happens when the length is increased. The first condition is that the time is accurate. Correction to be made during summer per day where the average temperature is 40 degrees celsius, ( α = 10 − 5 / ∘ c ). A Pendulum Clock Shows Accurate Time.
From www.alamy.com
The Picture Shows A Pendulum Clock Stock Photo Alamy A Pendulum Clock Shows Accurate Time If we increase the length by 0.1%. The time period pendulum is, t = 2 π (l / g) (where, t is the period, g = 9.81 m / s / s) since the length (l) of the pendulum changes with. Correction to be made during summer per day where the average temperature is 40 degrees celsius, ( α =. A Pendulum Clock Shows Accurate Time.
From www.explainthatstuff.com
How do pendulum clocks work? Explain that Stuff A Pendulum Clock Shows Accurate Time Correction to be made during summer per day where the average temperature is 40 degrees celsius, ( α = 10 − 5 / ∘ c ) will be: The time period pendulum is, t = 2 π (l / g) (where, t is the period, g = 9.81 m / s / s) since the length (l) of the pendulum. A Pendulum Clock Shows Accurate Time.
From www.pinterest.fr
1656 / Pendulum clock (The Netherlands) Dutch scientist Christiaan A Pendulum Clock Shows Accurate Time There are many, many factors that affect a pendulum's accuracy. Use the formula for time period and figure what happens when the length is increased. The time period pendulum is, t = 2 π (l / g) (where, t is the period, g = 9.81 m / s / s) since the length (l) of the pendulum changes with. Correction. A Pendulum Clock Shows Accurate Time.
From wornandwound.com
The 240 Year Old Pendulum Clock That’s More Accurate Than your Watch A Pendulum Clock Shows Accurate Time There are many, many factors that affect a pendulum's accuracy. If we increase the length by 0.1%. The first condition is that the time is accurate. The time period pendulum is, t = 2 π (l / g) (where, t is the period, g = 9.81 m / s / s) since the length (l) of the pendulum changes with.. A Pendulum Clock Shows Accurate Time.
From www.timeandwatches.com
Rediscovering pendulum clocks Time and Watches The watch blog A Pendulum Clock Shows Accurate Time There are many, many factors that affect a pendulum's accuracy. There is a fairly famous pendulum clock in the bell tower of trinity college, cambridge, which is the. If the length of a clock pendulum increase by 0.2 % due to atmospheric temperature rise, then the loss in time of clock per day is q. Correction to be made during. A Pendulum Clock Shows Accurate Time.
From www.antique-horology.org
The Invention of the Pendulum Clock 1 Clock. A Pendulum Clock Shows Accurate Time The time period pendulum is, t = 2 π (l / g) (where, t is the period, g = 9.81 m / s / s) since the length (l) of the pendulum changes with. Use the formula for time period and figure what happens when the length is increased. There are many, many factors that affect a pendulum's accuracy. Correction. A Pendulum Clock Shows Accurate Time.
From www.timeandwatches.com
Rediscovering pendulum clocks Time and Watches The watch blog A Pendulum Clock Shows Accurate Time There is a fairly famous pendulum clock in the bell tower of trinity college, cambridge, which is the. The time period pendulum is, t = 2 π (l / g) (where, t is the period, g = 9.81 m / s / s) since the length (l) of the pendulum changes with. If we increase the length by 0.1%. If. A Pendulum Clock Shows Accurate Time.
From timeandnavigation.si.edu
Galileo’s Pendulum Clock Design Replica Time and Navigation A Pendulum Clock Shows Accurate Time There is a fairly famous pendulum clock in the bell tower of trinity college, cambridge, which is the. If we increase the length by 0.1%. The first condition is that the time is accurate. The time period pendulum is, t = 2 π (l / g) (where, t is the period, g = 9.81 m / s / s) since. A Pendulum Clock Shows Accurate Time.
From fphoto.photoshelter.com
science physics harmonic motion pendulum clock Fundamental A Pendulum Clock Shows Accurate Time If the length of a clock pendulum increase by 0.2 % due to atmospheric temperature rise, then the loss in time of clock per day is q. A pendulum clock shows an accurate time. The first condition is that the time is accurate. Use the formula for time period and figure what happens when the length is increased. If we. A Pendulum Clock Shows Accurate Time.
From studiousguy.com
10 Oscillatory Motion Examples in Real Life StudiousGuy A Pendulum Clock Shows Accurate Time If we increase the length by 0.1%. The first condition is that the time is accurate. There is a fairly famous pendulum clock in the bell tower of trinity college, cambridge, which is the. The time period pendulum is, t = 2 π (l / g) (where, t is the period, g = 9.81 m / s / s) since. A Pendulum Clock Shows Accurate Time.
From www.tffn.net
How Does a Pendulum Clock Work? A Comprehensive Guide The Enlightened A Pendulum Clock Shows Accurate Time If we increase the length by 0.1%. The time period pendulum is, t = 2 π (l / g) (where, t is the period, g = 9.81 m / s / s) since the length (l) of the pendulum changes with. There are many, many factors that affect a pendulum's accuracy. The first condition is that the time is accurate.. A Pendulum Clock Shows Accurate Time.
From riversdaleclocks.com
A Pendulum clock Accurate Timekeeping for 270 years. A Pendulum Clock Shows Accurate Time The time period pendulum is, t = 2 π (l / g) (where, t is the period, g = 9.81 m / s / s) since the length (l) of the pendulum changes with. If we increase the length by 0.1%. The first condition is that the time is accurate. A pendulum clock shows an accurate time. There are many,. A Pendulum Clock Shows Accurate Time.
From www.theatlantic.com
Reviving Science to Build the World's Most Accurate Pendulum A Pendulum Clock Shows Accurate Time Use the formula for time period and figure what happens when the length is increased. There is a fairly famous pendulum clock in the bell tower of trinity college, cambridge, which is the. Correction to be made during summer per day where the average temperature is 40 degrees celsius, ( α = 10 − 5 / ∘ c ) will. A Pendulum Clock Shows Accurate Time.
From www.alamy.com
Burgess clock b hires stock photography and images Alamy A Pendulum Clock Shows Accurate Time Use the formula for time period and figure what happens when the length is increased. There is a fairly famous pendulum clock in the bell tower of trinity college, cambridge, which is the. The time period pendulum is, t = 2 π (l / g) (where, t is the period, g = 9.81 m / s / s) since the. A Pendulum Clock Shows Accurate Time.
From www.alamy.com
Pendulum clock hires stock photography and images Alamy A Pendulum Clock Shows Accurate Time The time period pendulum is, t = 2 π (l / g) (where, t is the period, g = 9.81 m / s / s) since the length (l) of the pendulum changes with. Use the formula for time period and figure what happens when the length is increased. If the length of a clock pendulum increase by 0.2 %. A Pendulum Clock Shows Accurate Time.
From techdiagrammer.com
The Complete Guide to Understanding Pendulum Grandfather Clock Parts A A Pendulum Clock Shows Accurate Time There are many, many factors that affect a pendulum's accuracy. If we increase the length by 0.1%. The first condition is that the time is accurate. A pendulum clock shows an accurate time. Use the formula for time period and figure what happens when the length is increased. The time period pendulum is, t = 2 π (l / g). A Pendulum Clock Shows Accurate Time.
From www.instructables.com
Accurate Pendulum Wall Clock 8 Steps Instructables A Pendulum Clock Shows Accurate Time There is a fairly famous pendulum clock in the bell tower of trinity college, cambridge, which is the. If we increase the length by 0.1%. Correction to be made during summer per day where the average temperature is 40 degrees celsius, ( α = 10 − 5 / ∘ c ) will be: A pendulum clock shows an accurate time.. A Pendulum Clock Shows Accurate Time.
From www.youtube.com
Guinness World Record Burgess clock most accurate mechanical Pendulum A Pendulum Clock Shows Accurate Time Correction to be made during summer per day where the average temperature is 40 degrees celsius, ( α = 10 − 5 / ∘ c ) will be: There is a fairly famous pendulum clock in the bell tower of trinity college, cambridge, which is the. The first condition is that the time is accurate. If we increase the length. A Pendulum Clock Shows Accurate Time.
From bubbleslidess.com
How To Speed Up A Pendulum Clock A Pendulum Clock Shows Accurate Time If we increase the length by 0.1%. Correction to be made during summer per day where the average temperature is 40 degrees celsius, ( α = 10 − 5 / ∘ c ) will be: There is a fairly famous pendulum clock in the bell tower of trinity college, cambridge, which is the. Use the formula for time period and. A Pendulum Clock Shows Accurate Time.
From science.visualstories.com
Adjustment of Pendulum Clock A Pendulum Clock Shows Accurate Time If the length of a clock pendulum increase by 0.2 % due to atmospheric temperature rise, then the loss in time of clock per day is q. Use the formula for time period and figure what happens when the length is increased. There is a fairly famous pendulum clock in the bell tower of trinity college, cambridge, which is the.. A Pendulum Clock Shows Accurate Time.
From stylesatlife.com
Pendulum Clocks Try These 15 New Designs for Your Home Décor A Pendulum Clock Shows Accurate Time A pendulum clock shows an accurate time. There is a fairly famous pendulum clock in the bell tower of trinity college, cambridge, which is the. If we increase the length by 0.1%. Use the formula for time period and figure what happens when the length is increased. If the length of a clock pendulum increase by 0.2 % due to. A Pendulum Clock Shows Accurate Time.
From www.alamy.com
His Pendulum Clock High Resolution Stock Photography and Images Alamy A Pendulum Clock Shows Accurate Time A pendulum clock shows an accurate time. The time period pendulum is, t = 2 π (l / g) (where, t is the period, g = 9.81 m / s / s) since the length (l) of the pendulum changes with. Use the formula for time period and figure what happens when the length is increased. If the length of. A Pendulum Clock Shows Accurate Time.
From www.scienceabc.com
How Does A Pendulum Clock Work? » ScienceABC A Pendulum Clock Shows Accurate Time There is a fairly famous pendulum clock in the bell tower of trinity college, cambridge, which is the. There are many, many factors that affect a pendulum's accuracy. If we increase the length by 0.1%. Correction to be made during summer per day where the average temperature is 40 degrees celsius, ( α = 10 − 5 / ∘ c. A Pendulum Clock Shows Accurate Time.
From www.pinterest.it
This clock can be directly linked to the invention of the pendulum A Pendulum Clock Shows Accurate Time If the length of a clock pendulum increase by 0.2 % due to atmospheric temperature rise, then the loss in time of clock per day is q. Use the formula for time period and figure what happens when the length is increased. The time period pendulum is, t = 2 π (l / g) (where, t is the period, g. A Pendulum Clock Shows Accurate Time.
From www.numerade.com
SOLVED A pendulum clock shows accurate time .If the length increases A Pendulum Clock Shows Accurate Time Correction to be made during summer per day where the average temperature is 40 degrees celsius, ( α = 10 − 5 / ∘ c ) will be: A pendulum clock shows an accurate time. There is a fairly famous pendulum clock in the bell tower of trinity college, cambridge, which is the. If the length of a clock pendulum. A Pendulum Clock Shows Accurate Time.
From www.alamy.com
Burgess Clock B 2015 Guinness world record holder for the worlds most A Pendulum Clock Shows Accurate Time The first condition is that the time is accurate. A pendulum clock shows an accurate time. Use the formula for time period and figure what happens when the length is increased. The time period pendulum is, t = 2 π (l / g) (where, t is the period, g = 9.81 m / s / s) since the length (l). A Pendulum Clock Shows Accurate Time.
From www.jewelsbylove.com
The early history of timekeeping Blog A Pendulum Clock Shows Accurate Time If the length of a clock pendulum increase by 0.2 % due to atmospheric temperature rise, then the loss in time of clock per day is q. A pendulum clock shows an accurate time. Correction to be made during summer per day where the average temperature is 40 degrees celsius, ( α = 10 − 5 / ∘ c ). A Pendulum Clock Shows Accurate Time.
From www.cs.rhul.ac.uk
Galileo and the pendulum clock A Pendulum Clock Shows Accurate Time There is a fairly famous pendulum clock in the bell tower of trinity college, cambridge, which is the. There are many, many factors that affect a pendulum's accuracy. The first condition is that the time is accurate. A pendulum clock shows an accurate time. The time period pendulum is, t = 2 π (l / g) (where, t is the. A Pendulum Clock Shows Accurate Time.
From bubbleslidess.com
How To Adjust Clock Pendulum A Pendulum Clock Shows Accurate Time If we increase the length by 0.1%. If the length of a clock pendulum increase by 0.2 % due to atmospheric temperature rise, then the loss in time of clock per day is q. Correction to be made during summer per day where the average temperature is 40 degrees celsius, ( α = 10 − 5 / ∘ c ). A Pendulum Clock Shows Accurate Time.
From wornandwound.com
The 240 Year Old Pendulum Clock That’s More Accurate Than your Watch A Pendulum Clock Shows Accurate Time There is a fairly famous pendulum clock in the bell tower of trinity college, cambridge, which is the. There are many, many factors that affect a pendulum's accuracy. Use the formula for time period and figure what happens when the length is increased. If the length of a clock pendulum increase by 0.2 % due to atmospheric temperature rise, then. A Pendulum Clock Shows Accurate Time.