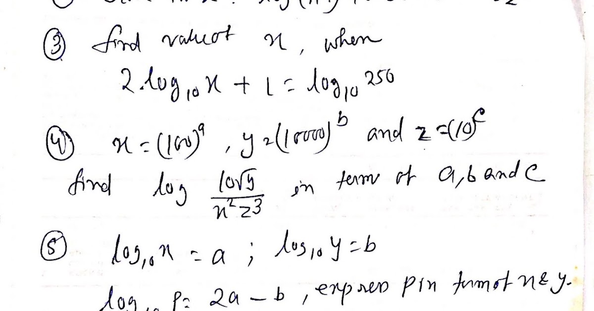
Logarithms Questions Class 9 . Write 102b+1 in terms of y. A) log 7 log 22 2+ b). logarithm questions with answers are provided for students to solve them and understand the concept. September 12, 2024 by nirmala. The selina solutions for the questions given in chapter 8, logarithms,. Ml aggarwal class 9 solutions chapter 9. Write 10a in terms of x. question 1 simplify each of the following logarithmic expressions, giving the final answer as a single logarithm. logarithms class 9 icse ml aggarwal.
from www.studypool.com
logarithms class 9 icse ml aggarwal. Write 102b+1 in terms of y. September 12, 2024 by nirmala. logarithm questions with answers are provided for students to solve them and understand the concept. Write 10a in terms of x. A) log 7 log 22 2+ b). The selina solutions for the questions given in chapter 8, logarithms,. Ml aggarwal class 9 solutions chapter 9. question 1 simplify each of the following logarithmic expressions, giving the final answer as a single logarithm.
SOLUTION Logarithm study notes mcqs iq based q a Studypool
Logarithms Questions Class 9 Write 10a in terms of x. Write 10a in terms of x. Ml aggarwal class 9 solutions chapter 9. Write 102b+1 in terms of y. logarithms class 9 icse ml aggarwal. A) log 7 log 22 2+ b). logarithm questions with answers are provided for students to solve them and understand the concept. September 12, 2024 by nirmala. The selina solutions for the questions given in chapter 8, logarithms,. question 1 simplify each of the following logarithmic expressions, giving the final answer as a single logarithm.
From www.vedantu.com
ICSE Class 9 Mathematics Chapter 8 Logarithms Revision Notes Logarithms Questions Class 9 logarithm questions with answers are provided for students to solve them and understand the concept. Ml aggarwal class 9 solutions chapter 9. Write 10a in terms of x. Write 102b+1 in terms of y. logarithms class 9 icse ml aggarwal. September 12, 2024 by nirmala. A) log 7 log 22 2+ b). question 1 simplify each of. Logarithms Questions Class 9.
From www.studypool.com
SOLUTION Class 9 logarithm question Studypool Logarithms Questions Class 9 The selina solutions for the questions given in chapter 8, logarithms,. A) log 7 log 22 2+ b). question 1 simplify each of the following logarithmic expressions, giving the final answer as a single logarithm. Write 102b+1 in terms of y. September 12, 2024 by nirmala. logarithms class 9 icse ml aggarwal. Ml aggarwal class 9 solutions chapter. Logarithms Questions Class 9.
From worksheetbrautetz91.z21.web.core.windows.net
Logarithm Worksheet Class 9 Logarithms Questions Class 9 Write 102b+1 in terms of y. Write 10a in terms of x. Ml aggarwal class 9 solutions chapter 9. September 12, 2024 by nirmala. logarithms class 9 icse ml aggarwal. A) log 7 log 22 2+ b). The selina solutions for the questions given in chapter 8, logarithms,. logarithm questions with answers are provided for students to solve. Logarithms Questions Class 9.
From www.youtube.com
Logarithm Part5 Exercise 9.2 ML Aggarwal Class 9 ICSE Important Questions YouTube Logarithms Questions Class 9 The selina solutions for the questions given in chapter 8, logarithms,. question 1 simplify each of the following logarithmic expressions, giving the final answer as a single logarithm. September 12, 2024 by nirmala. logarithm questions with answers are provided for students to solve them and understand the concept. Ml aggarwal class 9 solutions chapter 9. logarithms class. Logarithms Questions Class 9.
From www.youtube.com
MATHEMATICS FOR CLASS IX. CHAPTER 3 LOGARITHMS LONG QUESTIONS PART 1 YouTube Logarithms Questions Class 9 Ml aggarwal class 9 solutions chapter 9. logarithm questions with answers are provided for students to solve them and understand the concept. question 1 simplify each of the following logarithmic expressions, giving the final answer as a single logarithm. A) log 7 log 22 2+ b). September 12, 2024 by nirmala. Write 102b+1 in terms of y. Write. Logarithms Questions Class 9.
From www.youtube.com
Class 9 mathsLogarithmsexercise 7A all questionsrs Aggrawal icse maths YouTube Logarithms Questions Class 9 Write 10a in terms of x. logarithms class 9 icse ml aggarwal. question 1 simplify each of the following logarithmic expressions, giving the final answer as a single logarithm. September 12, 2024 by nirmala. Write 102b+1 in terms of y. The selina solutions for the questions given in chapter 8, logarithms,. Ml aggarwal class 9 solutions chapter 9.. Logarithms Questions Class 9.
From lessonfullparisians.z5.web.core.windows.net
Practice With Logarithms Worksheets Logarithms Questions Class 9 Write 102b+1 in terms of y. A) log 7 log 22 2+ b). Write 10a in terms of x. logarithms class 9 icse ml aggarwal. The selina solutions for the questions given in chapter 8, logarithms,. Ml aggarwal class 9 solutions chapter 9. question 1 simplify each of the following logarithmic expressions, giving the final answer as a. Logarithms Questions Class 9.
From answermagicdiane.z21.web.core.windows.net
Logarithm Worksheet Class 9 Logarithms Questions Class 9 A) log 7 log 22 2+ b). The selina solutions for the questions given in chapter 8, logarithms,. question 1 simplify each of the following logarithmic expressions, giving the final answer as a single logarithm. September 12, 2024 by nirmala. logarithm questions with answers are provided for students to solve them and understand the concept. Ml aggarwal class. Logarithms Questions Class 9.
From www.youtube.com
Logarithm Class 9 ICSE Ml Agarwal ICSE logarithm Class 9 All Questions Solved From Basic Logarithms Questions Class 9 The selina solutions for the questions given in chapter 8, logarithms,. Ml aggarwal class 9 solutions chapter 9. A) log 7 log 22 2+ b). September 12, 2024 by nirmala. question 1 simplify each of the following logarithmic expressions, giving the final answer as a single logarithm. logarithms class 9 icse ml aggarwal. logarithm questions with answers. Logarithms Questions Class 9.
From www.youtube.com
Logarithms Important Question Class 9 ICSE Shivam Dwivedi Unacademy ICSE YouTube Logarithms Questions Class 9 logarithm questions with answers are provided for students to solve them and understand the concept. Write 10a in terms of x. Write 102b+1 in terms of y. question 1 simplify each of the following logarithmic expressions, giving the final answer as a single logarithm. The selina solutions for the questions given in chapter 8, logarithms,. September 12, 2024. Logarithms Questions Class 9.
From www.youtube.com
MATHEMATICS FOR CLASS IX. CHAPTER 3 LOGARITHMS LONG QUESTIONS PART 2 YouTube Logarithms Questions Class 9 The selina solutions for the questions given in chapter 8, logarithms,. Ml aggarwal class 9 solutions chapter 9. A) log 7 log 22 2+ b). logarithm questions with answers are provided for students to solve them and understand the concept. Write 10a in terms of x. question 1 simplify each of the following logarithmic expressions, giving the final. Logarithms Questions Class 9.
From www.youtube.com
Questions on logarithms questions of Logarithm problems in logarithms problems of Logarithms Questions Class 9 logarithm questions with answers are provided for students to solve them and understand the concept. A) log 7 log 22 2+ b). question 1 simplify each of the following logarithmic expressions, giving the final answer as a single logarithm. Write 102b+1 in terms of y. September 12, 2024 by nirmala. The selina solutions for the questions given in. Logarithms Questions Class 9.
From studyontwerpui.z21.web.core.windows.net
Practice With Logarithms Worksheet Logarithms Questions Class 9 question 1 simplify each of the following logarithmic expressions, giving the final answer as a single logarithm. Write 10a in terms of x. Ml aggarwal class 9 solutions chapter 9. September 12, 2024 by nirmala. logarithms class 9 icse ml aggarwal. The selina solutions for the questions given in chapter 8, logarithms,. logarithm questions with answers are. Logarithms Questions Class 9.
From icsehelp.com
Logarithms Concise Class9th ICSE Maths Selina Publications ICSEHELP Logarithms Questions Class 9 Ml aggarwal class 9 solutions chapter 9. September 12, 2024 by nirmala. A) log 7 log 22 2+ b). logarithms class 9 icse ml aggarwal. The selina solutions for the questions given in chapter 8, logarithms,. logarithm questions with answers are provided for students to solve them and understand the concept. Write 102b+1 in terms of y. Write. Logarithms Questions Class 9.
From www.studypool.com
SOLUTION Logarithm solved question and answer for class 9th Studypool Logarithms Questions Class 9 logarithm questions with answers are provided for students to solve them and understand the concept. Write 10a in terms of x. September 12, 2024 by nirmala. A) log 7 log 22 2+ b). question 1 simplify each of the following logarithmic expressions, giving the final answer as a single logarithm. The selina solutions for the questions given in. Logarithms Questions Class 9.
From www.studypool.com
SOLUTION Logarithm study notes mcqs iq based q a Studypool Logarithms Questions Class 9 Ml aggarwal class 9 solutions chapter 9. A) log 7 log 22 2+ b). The selina solutions for the questions given in chapter 8, logarithms,. question 1 simplify each of the following logarithmic expressions, giving the final answer as a single logarithm. September 12, 2024 by nirmala. logarithms class 9 icse ml aggarwal. Write 10a in terms of. Logarithms Questions Class 9.
From www.updateans.com
Update ANS Class 9 Logarithm Important Question set 1 Logarithms Questions Class 9 Ml aggarwal class 9 solutions chapter 9. September 12, 2024 by nirmala. Write 102b+1 in terms of y. question 1 simplify each of the following logarithmic expressions, giving the final answer as a single logarithm. logarithm questions with answers are provided for students to solve them and understand the concept. logarithms class 9 icse ml aggarwal. A). Logarithms Questions Class 9.
From www.updateans.com
Update ANS Class 9 Logarithm Important Question set 1 Logarithms Questions Class 9 Ml aggarwal class 9 solutions chapter 9. question 1 simplify each of the following logarithmic expressions, giving the final answer as a single logarithm. Write 102b+1 in terms of y. Write 10a in terms of x. The selina solutions for the questions given in chapter 8, logarithms,. logarithm questions with answers are provided for students to solve them. Logarithms Questions Class 9.
From www.youtube.com
Class 9/ Logarithm important questions YouTube Logarithms Questions Class 9 The selina solutions for the questions given in chapter 8, logarithms,. logarithm questions with answers are provided for students to solve them and understand the concept. September 12, 2024 by nirmala. A) log 7 log 22 2+ b). Ml aggarwal class 9 solutions chapter 9. logarithms class 9 icse ml aggarwal. Write 102b+1 in terms of y. Write. Logarithms Questions Class 9.
From answermagicdiane.z21.web.core.windows.net
Logarithm Worksheet Class 9 Logarithms Questions Class 9 logarithms class 9 icse ml aggarwal. logarithm questions with answers are provided for students to solve them and understand the concept. Ml aggarwal class 9 solutions chapter 9. September 12, 2024 by nirmala. Write 102b+1 in terms of y. A) log 7 log 22 2+ b). Write 10a in terms of x. The selina solutions for the questions. Logarithms Questions Class 9.
From www.studypool.com
SOLUTION Questions logarithms indices converted Studypool Logarithms Questions Class 9 Write 102b+1 in terms of y. A) log 7 log 22 2+ b). logarithms class 9 icse ml aggarwal. logarithm questions with answers are provided for students to solve them and understand the concept. Write 10a in terms of x. question 1 simplify each of the following logarithmic expressions, giving the final answer as a single logarithm.. Logarithms Questions Class 9.
From www.youtube.com
Class9/Logarithm/Prove that Questions YouTube Logarithms Questions Class 9 Ml aggarwal class 9 solutions chapter 9. logarithms class 9 icse ml aggarwal. Write 10a in terms of x. The selina solutions for the questions given in chapter 8, logarithms,. September 12, 2024 by nirmala. question 1 simplify each of the following logarithmic expressions, giving the final answer as a single logarithm. Write 102b+1 in terms of y.. Logarithms Questions Class 9.
From www.vedantu.com
JEE Advanced Logarithms Important Questions Logarithms Questions Class 9 logarithm questions with answers are provided for students to solve them and understand the concept. The selina solutions for the questions given in chapter 8, logarithms,. logarithms class 9 icse ml aggarwal. A) log 7 log 22 2+ b). question 1 simplify each of the following logarithmic expressions, giving the final answer as a single logarithm. Ml. Logarithms Questions Class 9.
From www.studypool.com
SOLUTION Class 9 logarithm question Studypool Logarithms Questions Class 9 Write 10a in terms of x. logarithm questions with answers are provided for students to solve them and understand the concept. The selina solutions for the questions given in chapter 8, logarithms,. question 1 simplify each of the following logarithmic expressions, giving the final answer as a single logarithm. logarithms class 9 icse ml aggarwal. Ml aggarwal. Logarithms Questions Class 9.
From www.updateans.com
Update ANS Class 9 Logarithm Important Question set 1 Logarithms Questions Class 9 Write 102b+1 in terms of y. question 1 simplify each of the following logarithmic expressions, giving the final answer as a single logarithm. The selina solutions for the questions given in chapter 8, logarithms,. A) log 7 log 22 2+ b). Ml aggarwal class 9 solutions chapter 9. logarithm questions with answers are provided for students to solve. Logarithms Questions Class 9.
From lessonlibmisweening.z22.web.core.windows.net
Worksheet With Answers Basic Logarithms Logarithms Questions Class 9 Ml aggarwal class 9 solutions chapter 9. logarithm questions with answers are provided for students to solve them and understand the concept. The selina solutions for the questions given in chapter 8, logarithms,. A) log 7 log 22 2+ b). Write 102b+1 in terms of y. logarithms class 9 icse ml aggarwal. September 12, 2024 by nirmala. Write. Logarithms Questions Class 9.
From www.youtube.com
Logarithm/class 9/Icse/Maths/part III/Important questions solved / YouTube Logarithms Questions Class 9 A) log 7 log 22 2+ b). Write 102b+1 in terms of y. The selina solutions for the questions given in chapter 8, logarithms,. Write 10a in terms of x. Ml aggarwal class 9 solutions chapter 9. question 1 simplify each of the following logarithmic expressions, giving the final answer as a single logarithm. logarithms class 9 icse. Logarithms Questions Class 9.
From www.scribd.com
Logarithm Worksheet For 9th Class PDF Special Functions Elementary Mathematics Logarithms Questions Class 9 Write 102b+1 in terms of y. Write 10a in terms of x. The selina solutions for the questions given in chapter 8, logarithms,. logarithms class 9 icse ml aggarwal. A) log 7 log 22 2+ b). Ml aggarwal class 9 solutions chapter 9. question 1 simplify each of the following logarithmic expressions, giving the final answer as a. Logarithms Questions Class 9.
From worksheetbrautetz91.z21.web.core.windows.net
Logarithm Worksheet Class 9 Logarithms Questions Class 9 September 12, 2024 by nirmala. question 1 simplify each of the following logarithmic expressions, giving the final answer as a single logarithm. A) log 7 log 22 2+ b). logarithm questions with answers are provided for students to solve them and understand the concept. Write 102b+1 in terms of y. logarithms class 9 icse ml aggarwal. Ml. Logarithms Questions Class 9.
From www.youtube.com
Logarithm ।। Class 9 Important question and answer ।। লগারিদম।। YouTube Logarithms Questions Class 9 The selina solutions for the questions given in chapter 8, logarithms,. Write 10a in terms of x. A) log 7 log 22 2+ b). logarithm questions with answers are provided for students to solve them and understand the concept. logarithms class 9 icse ml aggarwal. September 12, 2024 by nirmala. question 1 simplify each of the following. Logarithms Questions Class 9.
From www.studypool.com
SOLUTION Exponents and logarithms helpr for 9th class questions with answers Studypool Logarithms Questions Class 9 Ml aggarwal class 9 solutions chapter 9. Write 102b+1 in terms of y. logarithms class 9 icse ml aggarwal. The selina solutions for the questions given in chapter 8, logarithms,. September 12, 2024 by nirmala. logarithm questions with answers are provided for students to solve them and understand the concept. Write 10a in terms of x. question. Logarithms Questions Class 9.
From www.youtube.com
Class 9th JEE/NEET FOUNDATION MATH LOGARITHM QUESTION BASED ON PROPERTIES OF LOGARITHM L03 Logarithms Questions Class 9 The selina solutions for the questions given in chapter 8, logarithms,. Ml aggarwal class 9 solutions chapter 9. A) log 7 log 22 2+ b). Write 102b+1 in terms of y. logarithms class 9 icse ml aggarwal. logarithm questions with answers are provided for students to solve them and understand the concept. September 12, 2024 by nirmala. Write. Logarithms Questions Class 9.
From www.youtube.com
9th Math Review Exercise 3 Question 1 and 2 Logarithm لوگارتھم class 9th logarithm bbise Logarithms Questions Class 9 September 12, 2024 by nirmala. Ml aggarwal class 9 solutions chapter 9. Write 102b+1 in terms of y. question 1 simplify each of the following logarithmic expressions, giving the final answer as a single logarithm. A) log 7 log 22 2+ b). logarithm questions with answers are provided for students to solve them and understand the concept. Write. Logarithms Questions Class 9.
From byjus.com
ML Aggarwal Solutions for Class 9 Chapter 9 Logarithms Get Free PDF Logarithms Questions Class 9 question 1 simplify each of the following logarithmic expressions, giving the final answer as a single logarithm. The selina solutions for the questions given in chapter 8, logarithms,. A) log 7 log 22 2+ b). September 12, 2024 by nirmala. logarithm questions with answers are provided for students to solve them and understand the concept. Write 102b+1 in. Logarithms Questions Class 9.
From learningschoolpatrigno2z.z22.web.core.windows.net
Logarithm Worksheet Corbettmaths Logarithms Questions Class 9 Ml aggarwal class 9 solutions chapter 9. Write 102b+1 in terms of y. September 12, 2024 by nirmala. logarithms class 9 icse ml aggarwal. question 1 simplify each of the following logarithmic expressions, giving the final answer as a single logarithm. logarithm questions with answers are provided for students to solve them and understand the concept. Write. Logarithms Questions Class 9.