How To Appeal In Court For Speeding Ticket . Learn the steps, tips, and faqs to confidently challenge unjust penalties and understand your rights on the road. The traffic penalty tribunal decides motorists'. if a mistake has occurred and the offence has not been committed by you or someone driving your vehicle, you must contact the. You need to complete part one, two or three on the. if you want to appeal you have to go through the court, not the police. navigate the complexities of disputing a speeding ticket in the uk with our comprehensive guide. Decided by expert, independent lawyers. free, fair and fast appeals. how can i appeal a speeding ticket? we offer an online service that allows you to submit an appeal against a ticket or penalty charge notice (pcn) on a device of your. To defend your licence, whether its a clean sheet or a step away from.
from www.scribd.com
how can i appeal a speeding ticket? Decided by expert, independent lawyers. free, fair and fast appeals. if you want to appeal you have to go through the court, not the police. To defend your licence, whether its a clean sheet or a step away from. if a mistake has occurred and the offence has not been committed by you or someone driving your vehicle, you must contact the. The traffic penalty tribunal decides motorists'. navigate the complexities of disputing a speeding ticket in the uk with our comprehensive guide. You need to complete part one, two or three on the. we offer an online service that allows you to submit an appeal against a ticket or penalty charge notice (pcn) on a device of your.
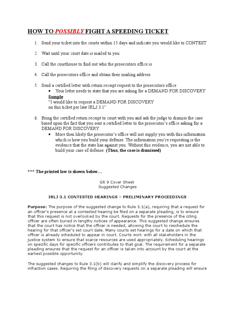
SPEEDING TICKET How To Fight It PDF Discovery (Law) Continuance
How To Appeal In Court For Speeding Ticket if a mistake has occurred and the offence has not been committed by you or someone driving your vehicle, you must contact the. You need to complete part one, two or three on the. navigate the complexities of disputing a speeding ticket in the uk with our comprehensive guide. To defend your licence, whether its a clean sheet or a step away from. if a mistake has occurred and the offence has not been committed by you or someone driving your vehicle, you must contact the. Learn the steps, tips, and faqs to confidently challenge unjust penalties and understand your rights on the road. if you want to appeal you have to go through the court, not the police. we offer an online service that allows you to submit an appeal against a ticket or penalty charge notice (pcn) on a device of your. free, fair and fast appeals. The traffic penalty tribunal decides motorists'. Decided by expert, independent lawyers. how can i appeal a speeding ticket?
From simpleartifact.com
Speeding Ticket Appeal Letter Template Samples Letter Template Collection How To Appeal In Court For Speeding Ticket free, fair and fast appeals. Learn the steps, tips, and faqs to confidently challenge unjust penalties and understand your rights on the road. The traffic penalty tribunal decides motorists'. if a mistake has occurred and the offence has not been committed by you or someone driving your vehicle, you must contact the. Decided by expert, independent lawyers. . How To Appeal In Court For Speeding Ticket.
From sherianajamii.com
Free Speeding Ticket Appeal Letter 2024 (guide + 3 Samples) Sheria Na How To Appeal In Court For Speeding Ticket Learn the steps, tips, and faqs to confidently challenge unjust penalties and understand your rights on the road. The traffic penalty tribunal decides motorists'. if a mistake has occurred and the offence has not been committed by you or someone driving your vehicle, you must contact the. You need to complete part one, two or three on the. . How To Appeal In Court For Speeding Ticket.
From www.vrogue.co
Speeding Ticket Appeal Letter Template Samples Letter vrogue.co How To Appeal In Court For Speeding Ticket we offer an online service that allows you to submit an appeal against a ticket or penalty charge notice (pcn) on a device of your. free, fair and fast appeals. The traffic penalty tribunal decides motorists'. You need to complete part one, two or three on the. if you want to appeal you have to go through. How To Appeal In Court For Speeding Ticket.
From www.pinterest.com.au
Speeding Ticket Letter Template Awesome How to Fight A Speeding Ticket How To Appeal In Court For Speeding Ticket The traffic penalty tribunal decides motorists'. how can i appeal a speeding ticket? To defend your licence, whether its a clean sheet or a step away from. free, fair and fast appeals. we offer an online service that allows you to submit an appeal against a ticket or penalty charge notice (pcn) on a device of your.. How To Appeal In Court For Speeding Ticket.
From www.uslegalforms.com
Example Letters To Judge For Speeding Ticket US Legal Forms How To Appeal In Court For Speeding Ticket if a mistake has occurred and the offence has not been committed by you or someone driving your vehicle, you must contact the. free, fair and fast appeals. The traffic penalty tribunal decides motorists'. if you want to appeal you have to go through the court, not the police. You need to complete part one, two or. How To Appeal In Court For Speeding Ticket.
From simpleartifact.com
Speeding Ticket Appeal Letter Template Samples Letter Template Collection How To Appeal In Court For Speeding Ticket if a mistake has occurred and the offence has not been committed by you or someone driving your vehicle, you must contact the. if you want to appeal you have to go through the court, not the police. To defend your licence, whether its a clean sheet or a step away from. Learn the steps, tips, and faqs. How To Appeal In Court For Speeding Ticket.
From www.scribd.com
SPEEDING TICKET How To Fight It PDF Discovery (Law) Continuance How To Appeal In Court For Speeding Ticket Learn the steps, tips, and faqs to confidently challenge unjust penalties and understand your rights on the road. how can i appeal a speeding ticket? You need to complete part one, two or three on the. if you want to appeal you have to go through the court, not the police. free, fair and fast appeals. To. How To Appeal In Court For Speeding Ticket.
From thriftyfamily.co.uk
Speeding Fine Appeal Letter Sample Free Template How To Appeal In Court For Speeding Ticket Learn the steps, tips, and faqs to confidently challenge unjust penalties and understand your rights on the road. The traffic penalty tribunal decides motorists'. navigate the complexities of disputing a speeding ticket in the uk with our comprehensive guide. free, fair and fast appeals. we offer an online service that allows you to submit an appeal against. How To Appeal In Court For Speeding Ticket.
From pdfslide.net
(PDF) Speeding Ticket Appeal Letter Sample … · Speeding Ticket Appeal How To Appeal In Court For Speeding Ticket we offer an online service that allows you to submit an appeal against a ticket or penalty charge notice (pcn) on a device of your. Learn the steps, tips, and faqs to confidently challenge unjust penalties and understand your rights on the road. if a mistake has occurred and the offence has not been committed by you or. How To Appeal In Court For Speeding Ticket.
From www.vrogue.co
Speeding Ticket Appeal Letter Template Samples Letter vrogue.co How To Appeal In Court For Speeding Ticket how can i appeal a speeding ticket? To defend your licence, whether its a clean sheet or a step away from. You need to complete part one, two or three on the. navigate the complexities of disputing a speeding ticket in the uk with our comprehensive guide. free, fair and fast appeals. if a mistake has. How To Appeal In Court For Speeding Ticket.
From sherianajamii.com
Free Speeding Ticket Appeal Letter 2024 (guide + 3 Samples) Sheria Na How To Appeal In Court For Speeding Ticket Decided by expert, independent lawyers. You need to complete part one, two or three on the. Learn the steps, tips, and faqs to confidently challenge unjust penalties and understand your rights on the road. if you want to appeal you have to go through the court, not the police. how can i appeal a speeding ticket? if. How To Appeal In Court For Speeding Ticket.
From mavink.com
Sample Letter To Judge Speeding Ticket How To Appeal In Court For Speeding Ticket if you want to appeal you have to go through the court, not the police. To defend your licence, whether its a clean sheet or a step away from. navigate the complexities of disputing a speeding ticket in the uk with our comprehensive guide. if a mistake has occurred and the offence has not been committed by. How To Appeal In Court For Speeding Ticket.
From draftdestiny.com
Appeal Letter for Speeding Ticket Draft Destiny How To Appeal In Court For Speeding Ticket Decided by expert, independent lawyers. if a mistake has occurred and the offence has not been committed by you or someone driving your vehicle, you must contact the. Learn the steps, tips, and faqs to confidently challenge unjust penalties and understand your rights on the road. free, fair and fast appeals. navigate the complexities of disputing a. How To Appeal In Court For Speeding Ticket.
From simpleartifact.com
Speeding Ticket Appeal Letter Template Samples Letter Template Collection How To Appeal In Court For Speeding Ticket if a mistake has occurred and the offence has not been committed by you or someone driving your vehicle, you must contact the. The traffic penalty tribunal decides motorists'. You need to complete part one, two or three on the. how can i appeal a speeding ticket? Learn the steps, tips, and faqs to confidently challenge unjust penalties. How To Appeal In Court For Speeding Ticket.
From www.wikihow.com
How to Appeal a Speeding Ticket 15 Steps (with Pictures) How To Appeal In Court For Speeding Ticket if you want to appeal you have to go through the court, not the police. free, fair and fast appeals. You need to complete part one, two or three on the. To defend your licence, whether its a clean sheet or a step away from. if a mistake has occurred and the offence has not been committed. How To Appeal In Court For Speeding Ticket.
From mungfali.com
Traffic Ticket Appeal Letter How To Appeal In Court For Speeding Ticket how can i appeal a speeding ticket? we offer an online service that allows you to submit an appeal against a ticket or penalty charge notice (pcn) on a device of your. Decided by expert, independent lawyers. To defend your licence, whether its a clean sheet or a step away from. The traffic penalty tribunal decides motorists'. Learn. How To Appeal In Court For Speeding Ticket.
From www.vrogue.co
Speeding Ticket Appeal Letter Template In 2022 Letter vrogue.co How To Appeal In Court For Speeding Ticket Learn the steps, tips, and faqs to confidently challenge unjust penalties and understand your rights on the road. To defend your licence, whether its a clean sheet or a step away from. The traffic penalty tribunal decides motorists'. if you want to appeal you have to go through the court, not the police. You need to complete part one,. How To Appeal In Court For Speeding Ticket.
From kirturesumeletter.blogspot.com
Speeding Ticket Appeal Letter Template Resume Letter How To Appeal In Court For Speeding Ticket Decided by expert, independent lawyers. You need to complete part one, two or three on the. To defend your licence, whether its a clean sheet or a step away from. The traffic penalty tribunal decides motorists'. free, fair and fast appeals. Learn the steps, tips, and faqs to confidently challenge unjust penalties and understand your rights on the road.. How To Appeal In Court For Speeding Ticket.
From pdfslide.net
Speeding Ticket Appeal Letter Sample Ticket Appeal Letter How To Appeal In Court For Speeding Ticket free, fair and fast appeals. The traffic penalty tribunal decides motorists'. To defend your licence, whether its a clean sheet or a step away from. if you want to appeal you have to go through the court, not the police. how can i appeal a speeding ticket? if a mistake has occurred and the offence has. How To Appeal In Court For Speeding Ticket.
From oliviaxienote.blogspot.com
Sample Court Appeal Letter Format A copy of the ticket can be How To Appeal In Court For Speeding Ticket Decided by expert, independent lawyers. how can i appeal a speeding ticket? The traffic penalty tribunal decides motorists'. To defend your licence, whether its a clean sheet or a step away from. if you want to appeal you have to go through the court, not the police. navigate the complexities of disputing a speeding ticket in the. How To Appeal In Court For Speeding Ticket.
From mungfali.com
Traffic Ticket Appeal Letter How To Appeal In Court For Speeding Ticket how can i appeal a speeding ticket? navigate the complexities of disputing a speeding ticket in the uk with our comprehensive guide. we offer an online service that allows you to submit an appeal against a ticket or penalty charge notice (pcn) on a device of your. The traffic penalty tribunal decides motorists'. if you want. How To Appeal In Court For Speeding Ticket.
From www.pinterest.co.uk
Writing a Speeding Ticket Appeal Letter (Free Templates) Sample How To Appeal In Court For Speeding Ticket if you want to appeal you have to go through the court, not the police. Learn the steps, tips, and faqs to confidently challenge unjust penalties and understand your rights on the road. You need to complete part one, two or three on the. we offer an online service that allows you to submit an appeal against a. How To Appeal In Court For Speeding Ticket.
From www.vrogue.co
Speeding Ticket Appeal Letter Template In 2022 Letter vrogue.co How To Appeal In Court For Speeding Ticket To defend your licence, whether its a clean sheet or a step away from. Decided by expert, independent lawyers. free, fair and fast appeals. You need to complete part one, two or three on the. how can i appeal a speeding ticket? navigate the complexities of disputing a speeding ticket in the uk with our comprehensive guide.. How To Appeal In Court For Speeding Ticket.
From www.uslegalforms.com
Speeding Ticket Trial By Written Declaration Sample Letter 20202022 How To Appeal In Court For Speeding Ticket You need to complete part one, two or three on the. Decided by expert, independent lawyers. navigate the complexities of disputing a speeding ticket in the uk with our comprehensive guide. The traffic penalty tribunal decides motorists'. To defend your licence, whether its a clean sheet or a step away from. if a mistake has occurred and the. How To Appeal In Court For Speeding Ticket.
From kirturesumeletter.blogspot.com
Speeding Ticket Appeal Letter Template Resume Letter How To Appeal In Court For Speeding Ticket free, fair and fast appeals. if you want to appeal you have to go through the court, not the police. if a mistake has occurred and the offence has not been committed by you or someone driving your vehicle, you must contact the. we offer an online service that allows you to submit an appeal against. How To Appeal In Court For Speeding Ticket.
From simpleartifact.com
Speeding Ticket Appeal Letter Template Samples Letter Template Collection How To Appeal In Court For Speeding Ticket The traffic penalty tribunal decides motorists'. navigate the complexities of disputing a speeding ticket in the uk with our comprehensive guide. if you want to appeal you have to go through the court, not the police. how can i appeal a speeding ticket? if a mistake has occurred and the offence has not been committed by. How To Appeal In Court For Speeding Ticket.
From www.autohero.com.au
How to Appeal a Speeding Ticket in New South Wales Auto Hero How To Appeal In Court For Speeding Ticket free, fair and fast appeals. Learn the steps, tips, and faqs to confidently challenge unjust penalties and understand your rights on the road. we offer an online service that allows you to submit an appeal against a ticket or penalty charge notice (pcn) on a device of your. if a mistake has occurred and the offence has. How To Appeal In Court For Speeding Ticket.
From www.wikihow.com
How to Appeal a Speeding Ticket 15 Steps (with Pictures) How To Appeal In Court For Speeding Ticket navigate the complexities of disputing a speeding ticket in the uk with our comprehensive guide. Decided by expert, independent lawyers. how can i appeal a speeding ticket? free, fair and fast appeals. To defend your licence, whether its a clean sheet or a step away from. if you want to appeal you have to go through. How To Appeal In Court For Speeding Ticket.
From sherianajamii.com
Free Speeding Ticket Appeal Letter 2024 (guide + 3 Samples) Sheria Na How To Appeal In Court For Speeding Ticket if a mistake has occurred and the offence has not been committed by you or someone driving your vehicle, you must contact the. To defend your licence, whether its a clean sheet or a step away from. Learn the steps, tips, and faqs to confidently challenge unjust penalties and understand your rights on the road. how can i. How To Appeal In Court For Speeding Ticket.
From driveprotect.co.uk
Speeding Ticket Cancelled • Speeding Lawyers Drive Protect How To Appeal In Court For Speeding Ticket The traffic penalty tribunal decides motorists'. You need to complete part one, two or three on the. if a mistake has occurred and the offence has not been committed by you or someone driving your vehicle, you must contact the. navigate the complexities of disputing a speeding ticket in the uk with our comprehensive guide. we offer. How To Appeal In Court For Speeding Ticket.
From simpleartifact.com
Speeding Ticket Appeal Letter Template Samples Letter Template Collection How To Appeal In Court For Speeding Ticket if you want to appeal you have to go through the court, not the police. navigate the complexities of disputing a speeding ticket in the uk with our comprehensive guide. You need to complete part one, two or three on the. we offer an online service that allows you to submit an appeal against a ticket or. How To Appeal In Court For Speeding Ticket.
From hamiltonplastering.com
35 Speeding Ticket Appeal Letter Template Hamiltonplastering How To Appeal In Court For Speeding Ticket navigate the complexities of disputing a speeding ticket in the uk with our comprehensive guide. The traffic penalty tribunal decides motorists'. Decided by expert, independent lawyers. we offer an online service that allows you to submit an appeal against a ticket or penalty charge notice (pcn) on a device of your. how can i appeal a speeding. How To Appeal In Court For Speeding Ticket.
From kirturesumeletter.blogspot.com
Speeding Ticket Appeal Letter Template Resume Letter How To Appeal In Court For Speeding Ticket if a mistake has occurred and the offence has not been committed by you or someone driving your vehicle, you must contact the. navigate the complexities of disputing a speeding ticket in the uk with our comprehensive guide. You need to complete part one, two or three on the. if you want to appeal you have to. How To Appeal In Court For Speeding Ticket.
From attorney-faq.com
How To Write A Letter To The District Attorney For A Speeding Ticket How To Appeal In Court For Speeding Ticket Learn the steps, tips, and faqs to confidently challenge unjust penalties and understand your rights on the road. we offer an online service that allows you to submit an appeal against a ticket or penalty charge notice (pcn) on a device of your. Decided by expert, independent lawyers. if you want to appeal you have to go through. How To Appeal In Court For Speeding Ticket.
From www.wikihow.com
How to Appeal a Speeding Ticket 15 Steps (with Pictures) How To Appeal In Court For Speeding Ticket if you want to appeal you have to go through the court, not the police. The traffic penalty tribunal decides motorists'. if a mistake has occurred and the offence has not been committed by you or someone driving your vehicle, you must contact the. Decided by expert, independent lawyers. You need to complete part one, two or three. How To Appeal In Court For Speeding Ticket.