Chlorine + Sulphur Dioxide + Water Balanced Equation . Is there an error in this question or solution? Chlorine + sulphur dioxide + water → sulphuric acid + hydrogen chloride. Two moles of chlorine [cl], one mole of sulfur dioxide [so 2]. To balance a chemical equation,. Sulfuric acid (h 2 so 4). First, let's write out the chemical formula for each of the reactants and products: Use the calculator below to balance chemical equations and determine the type of reaction (instructions). Dichlorine + sulfur dioxide + water = sulfuric acid + hydrogen chloride. Sulfur dioxide ( so 2) reacts with chlorine gas (cl 2) in the presence of moisture to give hcl and h 2 so 4. Chlorine + sulphur dioxide + water sulfuric acid + hydrogen chloride. Chlorine (cl2) is a highly reactive gas that can react with many substances, including sulphur dioxide (so2) and water (h2o). So 2 + cl 2 + h 2 o = h 2 so 4 + hcl balanced equation. The obtained result indicates that the chlorine, hydrogen and. One mole of dichlorine [cl 2], one mole of sulfur dioxide [so. Methyl orange is used as.
from www.numerade.com
Two moles of chlorine [cl], one mole of sulfur dioxide [so 2]. Sulfur dioxide ( so 2) reacts with chlorine gas (cl 2) in the presence of moisture to give hcl and h 2 so 4. Dichlorine + sulfur dioxide + water = sulfuric acid + hydrogen chloride. Is there an error in this question or solution? Methyl orange is used as. So 2 + cl 2 + h 2 o = h 2 so 4 + hcl balanced equation. Use the calculator below to balance chemical equations and determine the type of reaction (instructions). First, let's write out the chemical formula for each of the reactants and products: Chlorine + sulphur dioxide + water sulfuric acid + hydrogen chloride. One mole of dichlorine [cl 2], one mole of sulfur dioxide [so.
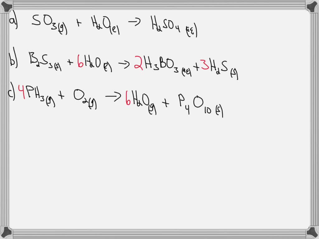
SOLVED Write balanced chemical equations to correspond to each of the
Chlorine + Sulphur Dioxide + Water Balanced Equation Is there an error in this question or solution? Chlorine (cl2) is a highly reactive gas that can react with many substances, including sulphur dioxide (so2) and water (h2o). Methyl orange is used as. Dichlorine + sulfur dioxide + water = sulfuric acid + hydrogen chloride. Chlorine + sulphur dioxide + water sulfuric acid + hydrogen chloride. One mole of dichlorine [cl 2], one mole of sulfur dioxide [so. Sulfur dioxide ( so 2) reacts with chlorine gas (cl 2) in the presence of moisture to give hcl and h 2 so 4. Use the calculator below to balance chemical equations and determine the type of reaction (instructions). Chlorine + sulfur dioxide + water = sulfuric acid + hydrogen chloride. To balance a chemical equation,. So 2 + cl 2 + h 2 o = h 2 so 4 + hcl balanced equation. The obtained result indicates that the chlorine, hydrogen and. Chlorine + sulphur dioxide + water → sulphuric acid + hydrogen chloride. Is there an error in this question or solution? Sulfuric acid (h 2 so 4). First, let's write out the chemical formula for each of the reactants and products:
From www.numerade.com
SOLVED Balance the equations from top to bottom 1. Acid + Hydrogen Chlorine + Sulphur Dioxide + Water Balanced Equation Chlorine + sulphur dioxide + water → sulphuric acid + hydrogen chloride. Sulfur dioxide ( so 2) reacts with chlorine gas (cl 2) in the presence of moisture to give hcl and h 2 so 4. First, let's write out the chemical formula for each of the reactants and products: To balance a chemical equation,. Methyl orange is used as.. Chlorine + Sulphur Dioxide + Water Balanced Equation.
From www.toppr.com
1. Write the formula and then balance the following equation. Copper Chlorine + Sulphur Dioxide + Water Balanced Equation Chlorine + sulphur dioxide + water → sulphuric acid + hydrogen chloride. Is there an error in this question or solution? To balance a chemical equation,. Use the calculator below to balance chemical equations and determine the type of reaction (instructions). Two moles of chlorine [cl], one mole of sulfur dioxide [so 2]. Sulfur dioxide ( so 2) reacts with. Chlorine + Sulphur Dioxide + Water Balanced Equation.
From www.toppr.com
9. Write balanced equations to satisfy each statement (a) Acid + Active Chlorine + Sulphur Dioxide + Water Balanced Equation Chlorine (cl2) is a highly reactive gas that can react with many substances, including sulphur dioxide (so2) and water (h2o). Dichlorine + sulfur dioxide + water = sulfuric acid + hydrogen chloride. First, let's write out the chemical formula for each of the reactants and products: Sulfur dioxide ( so 2) reacts with chlorine gas (cl 2) in the presence. Chlorine + Sulphur Dioxide + Water Balanced Equation.
From www.tessshebaylo.com
Balanced Equation For Water Ammonia And Sulphur Dioxide Tessshebaylo Chlorine + Sulphur Dioxide + Water Balanced Equation Dichlorine + sulfur dioxide + water = sulfuric acid + hydrogen chloride. Chlorine + sulphur dioxide + water sulfuric acid + hydrogen chloride. Chlorine (cl2) is a highly reactive gas that can react with many substances, including sulphur dioxide (so2) and water (h2o). Sulfur dioxide ( so 2) reacts with chlorine gas (cl 2) in the presence of moisture to. Chlorine + Sulphur Dioxide + Water Balanced Equation.
From www.toppr.com
8.23 oxidation state. Chlorine is used to purify drinking water. Excess Chlorine + Sulphur Dioxide + Water Balanced Equation Chlorine (cl2) is a highly reactive gas that can react with many substances, including sulphur dioxide (so2) and water (h2o). One mole of dichlorine [cl 2], one mole of sulfur dioxide [so. The obtained result indicates that the chlorine, hydrogen and. Sulfur dioxide ( so 2) reacts with chlorine gas (cl 2) in the presence of moisture to give hcl. Chlorine + Sulphur Dioxide + Water Balanced Equation.
From www.numerade.com
SOLVED Write the balanced chemical equations for the following Chlorine + Sulphur Dioxide + Water Balanced Equation Chlorine + sulphur dioxide + water sulfuric acid + hydrogen chloride. Sulfuric acid (h 2 so 4). One mole of dichlorine [cl 2], one mole of sulfur dioxide [so. The obtained result indicates that the chlorine, hydrogen and. Dichlorine + sulfur dioxide + water = sulfuric acid + hydrogen chloride. Methyl orange is used as. Two moles of chlorine [cl],. Chlorine + Sulphur Dioxide + Water Balanced Equation.
From www.numerade.com
SOLVED write the Balanced chemical equation for the following when Chlorine + Sulphur Dioxide + Water Balanced Equation Is there an error in this question or solution? Dichlorine + sulfur dioxide + water = sulfuric acid + hydrogen chloride. Chlorine + sulphur dioxide + water → sulphuric acid + hydrogen chloride. Chlorine + sulphur dioxide + water sulfuric acid + hydrogen chloride. To balance a chemical equation,. Two moles of chlorine [cl], one mole of sulfur dioxide [so. Chlorine + Sulphur Dioxide + Water Balanced Equation.
From www.youtube.com
H2S+SO2=H2O+S Balanced EquationHydrogen sulphide+Sulphur dioxide Chlorine + Sulphur Dioxide + Water Balanced Equation Chlorine + sulphur dioxide + water sulfuric acid + hydrogen chloride. One mole of dichlorine [cl 2], one mole of sulfur dioxide [so. Two moles of chlorine [cl], one mole of sulfur dioxide [so 2]. To balance a chemical equation,. So 2 + cl 2 + h 2 o = h 2 so 4 + hcl balanced equation. Chlorine (cl2). Chlorine + Sulphur Dioxide + Water Balanced Equation.
From www.toppr.com
Write balanced chemical equations the following word equationZinc Chlorine + Sulphur Dioxide + Water Balanced Equation Sulfur dioxide ( so 2) reacts with chlorine gas (cl 2) in the presence of moisture to give hcl and h 2 so 4. Chlorine (cl2) is a highly reactive gas that can react with many substances, including sulphur dioxide (so2) and water (h2o). Use the calculator below to balance chemical equations and determine the type of reaction (instructions). To. Chlorine + Sulphur Dioxide + Water Balanced Equation.
From www.numerade.com
SOLVEDWrite a balanced chemical equation for each chemical reaction Chlorine + Sulphur Dioxide + Water Balanced Equation Sulfur dioxide ( so 2) reacts with chlorine gas (cl 2) in the presence of moisture to give hcl and h 2 so 4. Methyl orange is used as. To balance a chemical equation,. The obtained result indicates that the chlorine, hydrogen and. Chlorine + sulphur dioxide + water sulfuric acid + hydrogen chloride. Is there an error in this. Chlorine + Sulphur Dioxide + Water Balanced Equation.
From www.tessshebaylo.com
Balanced Equation For Water Ammonia And Sulphur Dioxide Tessshebaylo Chlorine + Sulphur Dioxide + Water Balanced Equation So 2 + cl 2 + h 2 o = h 2 so 4 + hcl balanced equation. Chlorine + sulphur dioxide + water → sulphuric acid + hydrogen chloride. Methyl orange is used as. First, let's write out the chemical formula for each of the reactants and products: The obtained result indicates that the chlorine, hydrogen and. Chlorine +. Chlorine + Sulphur Dioxide + Water Balanced Equation.
From www.numerade.com
SOLVED Paragraph Styles Editing Voic Write balanced equations for the Chlorine + Sulphur Dioxide + Water Balanced Equation One mole of dichlorine [cl 2], one mole of sulfur dioxide [so. So 2 + cl 2 + h 2 o = h 2 so 4 + hcl balanced equation. Sulfuric acid (h 2 so 4). Chlorine + sulphur dioxide + water sulfuric acid + hydrogen chloride. Use the calculator below to balance chemical equations and determine the type of. Chlorine + Sulphur Dioxide + Water Balanced Equation.
From www.numerade.com
SOLVEDWrite balanced chemical equations for each of the following Chlorine + Sulphur Dioxide + Water Balanced Equation Chlorine + sulphur dioxide + water → sulphuric acid + hydrogen chloride. Is there an error in this question or solution? Chlorine (cl2) is a highly reactive gas that can react with many substances, including sulphur dioxide (so2) and water (h2o). Two moles of chlorine [cl], one mole of sulfur dioxide [so 2]. Methyl orange is used as. To balance. Chlorine + Sulphur Dioxide + Water Balanced Equation.
From www.bartleby.com
Answered Write a balanced chemical equation… bartleby Chlorine + Sulphur Dioxide + Water Balanced Equation So 2 + cl 2 + h 2 o = h 2 so 4 + hcl balanced equation. First, let's write out the chemical formula for each of the reactants and products: Chlorine + sulfur dioxide + water = sulfuric acid + hydrogen chloride. Chlorine + sulphur dioxide + water → sulphuric acid + hydrogen chloride. Dichlorine + sulfur dioxide. Chlorine + Sulphur Dioxide + Water Balanced Equation.
From www.numerade.com
SOLVED Write balanced chemical equations to correspond to each of the Chlorine + Sulphur Dioxide + Water Balanced Equation Dichlorine + sulfur dioxide + water = sulfuric acid + hydrogen chloride. Two moles of chlorine [cl], one mole of sulfur dioxide [so 2]. One mole of dichlorine [cl 2], one mole of sulfur dioxide [so. Is there an error in this question or solution? Chlorine + sulfur dioxide + water = sulfuric acid + hydrogen chloride. Chlorine (cl2) is. Chlorine + Sulphur Dioxide + Water Balanced Equation.
From www.numerade.com
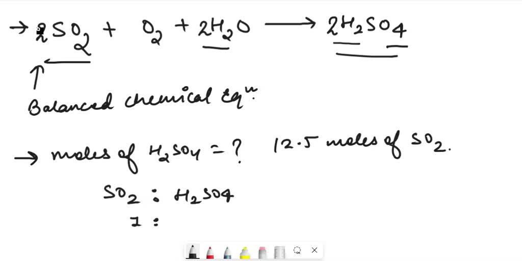
SOLVED When the gases dihydrogen sulfide and oxygen react, they form Chlorine + Sulphur Dioxide + Water Balanced Equation Dichlorine + sulfur dioxide + water = sulfuric acid + hydrogen chloride. To balance a chemical equation,. Methyl orange is used as. Sulfur dioxide ( so 2) reacts with chlorine gas (cl 2) in the presence of moisture to give hcl and h 2 so 4. The obtained result indicates that the chlorine, hydrogen and. Sulfuric acid (h 2 so. Chlorine + Sulphur Dioxide + Water Balanced Equation.
From www.toppr.com
Write the balanced chemical equation the following reactions 1 Chlorine + Sulphur Dioxide + Water Balanced Equation Chlorine + sulphur dioxide + water sulfuric acid + hydrogen chloride. So 2 + cl 2 + h 2 o = h 2 so 4 + hcl balanced equation. Chlorine + sulphur dioxide + water → sulphuric acid + hydrogen chloride. Sulfuric acid (h 2 so 4). To balance a chemical equation,. Chlorine + sulfur dioxide + water = sulfuric. Chlorine + Sulphur Dioxide + Water Balanced Equation.
From study.com
Sulfur Dioxide Definition, Formula & Impact Lesson Chlorine + Sulphur Dioxide + Water Balanced Equation Methyl orange is used as. Chlorine + sulphur dioxide + water sulfuric acid + hydrogen chloride. Sulfur dioxide ( so 2) reacts with chlorine gas (cl 2) in the presence of moisture to give hcl and h 2 so 4. Chlorine (cl2) is a highly reactive gas that can react with many substances, including sulphur dioxide (so2) and water (h2o).. Chlorine + Sulphur Dioxide + Water Balanced Equation.
From www.numerade.com
SOLVEDWrite a balanced equation for each of the following reactions Chlorine + Sulphur Dioxide + Water Balanced Equation Dichlorine + sulfur dioxide + water = sulfuric acid + hydrogen chloride. Chlorine + sulfur dioxide + water = sulfuric acid + hydrogen chloride. Sulfur dioxide ( so 2) reacts with chlorine gas (cl 2) in the presence of moisture to give hcl and h 2 so 4. Chlorine + sulphur dioxide + water sulfuric acid + hydrogen chloride. Chlorine. Chlorine + Sulphur Dioxide + Water Balanced Equation.
From www.numerade.com
SOLVED a. Convert the following word equations to molecular equations Chlorine + Sulphur Dioxide + Water Balanced Equation Use the calculator below to balance chemical equations and determine the type of reaction (instructions). Two moles of chlorine [cl], one mole of sulfur dioxide [so 2]. Chlorine + sulphur dioxide + water → sulphuric acid + hydrogen chloride. Sulfuric acid (h 2 so 4). Chlorine + sulphur dioxide + water sulfuric acid + hydrogen chloride. Dichlorine + sulfur dioxide. Chlorine + Sulphur Dioxide + Water Balanced Equation.
From socratic.org
How do you write the equation for this reaction Aluminum bromide and Chlorine + Sulphur Dioxide + Water Balanced Equation Sulfur dioxide ( so 2) reacts with chlorine gas (cl 2) in the presence of moisture to give hcl and h 2 so 4. So 2 + cl 2 + h 2 o = h 2 so 4 + hcl balanced equation. Use the calculator below to balance chemical equations and determine the type of reaction (instructions). Methyl orange is. Chlorine + Sulphur Dioxide + Water Balanced Equation.
From www.doubtnut.com
Write the balanced chemical equation of the following word equation. Chlorine + Sulphur Dioxide + Water Balanced Equation To balance a chemical equation,. Chlorine (cl2) is a highly reactive gas that can react with many substances, including sulphur dioxide (so2) and water (h2o). Is there an error in this question or solution? Sulfur dioxide ( so 2) reacts with chlorine gas (cl 2) in the presence of moisture to give hcl and h 2 so 4. One mole. Chlorine + Sulphur Dioxide + Water Balanced Equation.
From www.numerade.com
SOLVED Write a balanced chemical equation for each chemical reaction Chlorine + Sulphur Dioxide + Water Balanced Equation The obtained result indicates that the chlorine, hydrogen and. Sulfuric acid (h 2 so 4). Is there an error in this question or solution? To balance a chemical equation,. Use the calculator below to balance chemical equations and determine the type of reaction (instructions). Chlorine + sulphur dioxide + water → sulphuric acid + hydrogen chloride. First, let's write out. Chlorine + Sulphur Dioxide + Water Balanced Equation.
From www.toppr.com
9. Write balanced equations to satisfy each statement (a) Acid + Active Chlorine + Sulphur Dioxide + Water Balanced Equation Chlorine + sulphur dioxide + water sulfuric acid + hydrogen chloride. Use the calculator below to balance chemical equations and determine the type of reaction (instructions). Chlorine (cl2) is a highly reactive gas that can react with many substances, including sulphur dioxide (so2) and water (h2o). Chlorine + sulphur dioxide + water → sulphuric acid + hydrogen chloride. One mole. Chlorine + Sulphur Dioxide + Water Balanced Equation.
From www.tessshebaylo.com
Balanced Equation For Water Ammonia And Sulphur Dioxide Tessshebaylo Chlorine + Sulphur Dioxide + Water Balanced Equation Use the calculator below to balance chemical equations and determine the type of reaction (instructions). Methyl orange is used as. Chlorine + sulphur dioxide + water sulfuric acid + hydrogen chloride. Two moles of chlorine [cl], one mole of sulfur dioxide [so 2]. So 2 + cl 2 + h 2 o = h 2 so 4 + hcl balanced. Chlorine + Sulphur Dioxide + Water Balanced Equation.
From www.numerade.com
SOLVED Enter the balanced chemical equation for each reaction. a Chlorine + Sulphur Dioxide + Water Balanced Equation Chlorine + sulphur dioxide + water sulfuric acid + hydrogen chloride. Dichlorine + sulfur dioxide + water = sulfuric acid + hydrogen chloride. Chlorine (cl2) is a highly reactive gas that can react with many substances, including sulphur dioxide (so2) and water (h2o). Chlorine + sulfur dioxide + water = sulfuric acid + hydrogen chloride. Two moles of chlorine [cl],. Chlorine + Sulphur Dioxide + Water Balanced Equation.
From www.numerade.com
SOLVED can you help me balance these equations? sodium carbonate Chlorine + Sulphur Dioxide + Water Balanced Equation Chlorine + sulphur dioxide + water → sulphuric acid + hydrogen chloride. Use the calculator below to balance chemical equations and determine the type of reaction (instructions). Chlorine + sulphur dioxide + water sulfuric acid + hydrogen chloride. Chlorine + sulfur dioxide + water = sulfuric acid + hydrogen chloride. Is there an error in this question or solution? To. Chlorine + Sulphur Dioxide + Water Balanced Equation.
From www.numerade.com
SOLVED Study Exercise 5 Nue Write balanced chemical equation for cuch Chlorine + Sulphur Dioxide + Water Balanced Equation Chlorine (cl2) is a highly reactive gas that can react with many substances, including sulphur dioxide (so2) and water (h2o). The obtained result indicates that the chlorine, hydrogen and. Chlorine + sulfur dioxide + water = sulfuric acid + hydrogen chloride. So 2 + cl 2 + h 2 o = h 2 so 4 + hcl balanced equation. Two. Chlorine + Sulphur Dioxide + Water Balanced Equation.
From www.toppr.com
Given below are word equations. Convert them into chemical equations Chlorine + Sulphur Dioxide + Water Balanced Equation Dichlorine + sulfur dioxide + water = sulfuric acid + hydrogen chloride. To balance a chemical equation,. Chlorine + sulphur dioxide + water sulfuric acid + hydrogen chloride. Two moles of chlorine [cl], one mole of sulfur dioxide [so 2]. So 2 + cl 2 + h 2 o = h 2 so 4 + hcl balanced equation. Chlorine (cl2). Chlorine + Sulphur Dioxide + Water Balanced Equation.
From www.tessshebaylo.com
Balanced Chemical Equation For Calcium Oxide And Water Tessshebaylo Chlorine + Sulphur Dioxide + Water Balanced Equation Use the calculator below to balance chemical equations and determine the type of reaction (instructions). One mole of dichlorine [cl 2], one mole of sulfur dioxide [so. Dichlorine + sulfur dioxide + water = sulfuric acid + hydrogen chloride. Two moles of chlorine [cl], one mole of sulfur dioxide [so 2]. The obtained result indicates that the chlorine, hydrogen and.. Chlorine + Sulphur Dioxide + Water Balanced Equation.
From www.numerade.com
SOLVED Sulfuric acid ( H 2 S O 4 ) is formed when sulfur dioxide (S O Chlorine + Sulphur Dioxide + Water Balanced Equation Sulfur dioxide ( so 2) reacts with chlorine gas (cl 2) in the presence of moisture to give hcl and h 2 so 4. Chlorine (cl2) is a highly reactive gas that can react with many substances, including sulphur dioxide (so2) and water (h2o). Is there an error in this question or solution? Dichlorine + sulfur dioxide + water =. Chlorine + Sulphur Dioxide + Water Balanced Equation.
From allsafal.com
Hydrogen Sulphide Gas Burns In Air To Give Water and Sulphur Dioxide Chlorine + Sulphur Dioxide + Water Balanced Equation Use the calculator below to balance chemical equations and determine the type of reaction (instructions). Chlorine + sulphur dioxide + water → sulphuric acid + hydrogen chloride. Sulfuric acid (h 2 so 4). Chlorine + sulfur dioxide + water = sulfuric acid + hydrogen chloride. Dichlorine + sulfur dioxide + water = sulfuric acid + hydrogen chloride. First, let's write. Chlorine + Sulphur Dioxide + Water Balanced Equation.
From www.numerade.com
SOLVED Write a balanced chemical equation based on the following Chlorine + Sulphur Dioxide + Water Balanced Equation Sulfuric acid (h 2 so 4). Chlorine (cl2) is a highly reactive gas that can react with many substances, including sulphur dioxide (so2) and water (h2o). Methyl orange is used as. So 2 + cl 2 + h 2 o = h 2 so 4 + hcl balanced equation. Dichlorine + sulfur dioxide + water = sulfuric acid + hydrogen. Chlorine + Sulphur Dioxide + Water Balanced Equation.
From www.numerade.com
SOLVED consider the reaction of aluminum sulfite and nitric acid to Chlorine + Sulphur Dioxide + Water Balanced Equation Chlorine (cl2) is a highly reactive gas that can react with many substances, including sulphur dioxide (so2) and water (h2o). Is there an error in this question or solution? The obtained result indicates that the chlorine, hydrogen and. Methyl orange is used as. Dichlorine + sulfur dioxide + water = sulfuric acid + hydrogen chloride. One mole of dichlorine [cl. Chlorine + Sulphur Dioxide + Water Balanced Equation.
From www.chegg.com
Sulfur Dioxide Will React With Water To Form Sulfu... Chlorine + Sulphur Dioxide + Water Balanced Equation First, let's write out the chemical formula for each of the reactants and products: Dichlorine + sulfur dioxide + water = sulfuric acid + hydrogen chloride. Sulfur dioxide ( so 2) reacts with chlorine gas (cl 2) in the presence of moisture to give hcl and h 2 so 4. Is there an error in this question or solution? Methyl. Chlorine + Sulphur Dioxide + Water Balanced Equation.